CAT Exam  >  CAT Notes  >  Practice Questions Level 1: Functions - 2

Functions Questions for CAT with Answers PDF

This EduRev document offers 20 Multiple Choice Questions (MCQs) from the topic Functions (Level - 1). These questions are of Level - 1 difficulty and will assist you in the preparation of CAT & other MBA exams. You can practice/attempt these CAT Multiple Choice Questions (MCQs) and check the explanations for a better understanding of the topic.

Question for Practice Questions Level 1: Functions - 2
Try yourself:Directions: Answer the question based on the following information.
A function has been defined for a variable x, where domain of F(x) and F1(x) ∈ [-2, 2].
Functions Questions for CAT with Answers PDF
Choose the correct option.
View Solution

Question for Practice Questions Level 1: Functions - 2
Try yourself:If f(x) = x3 + y3, g(x) = xy and h(x) = (x + y), then which of the following is the value of f(x)?
View Solution

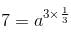
Question for Practice Questions Level 1: Functions - 2
Try yourself:An exponential function is given by f(x) = a3x. If the point Functions Questions for CAT with Answers PDF lies on the graph of this function, then the value of 'a' is
View Solution

Question for Practice Questions Level 1: Functions - 2
Try yourself:If f : R - {3} → R - {1} is defined by f(x) = Functions Questions for CAT with Answers PDF, then f is
View Solution

Question for Practice Questions Level 1: Functions - 2
Try yourself:Which of the following options is necessarily true if f(x) = x3 - 4x + p and f(0) and f(1) have opposite signs?
View Solution

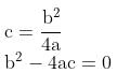
Question for Practice Questions Level 1: Functions - 2
Try yourself:If f(x) = ax2 + bx + c and c = Functions Questions for CAT with Answers PDFthen the graph of y = f(x) will certainly
View Solution

Question for Practice Questions Level 1: Functions - 2
Try yourself:If f(x) = 3x - 5 and f(g(x)) = 2x, then g(x) equals
View Solution

Question for Practice Questions Level 1: Functions - 2
Try yourself:If f(a, b) = a2 + b3, g(a, b) = a + b, then what is the value of f(3, g(3, 4))?
View Solution

Question for Practice Questions Level 1: Functions - 2
Try yourself:When the curves y = log10 x and y = x-1 are drawn in the x - y plane, how many times do they intersect for the values x ≥ 1?
View Solution

Question for Practice Questions Level 1: Functions - 2
Try yourself:Find the minimum value of x2 - 12x + 27.
View Solution

Question for Practice Questions Level 1: Functions - 2
Try yourself:A balloon, which always remains spherical, has a variable radius. Find the rate at which its volume is increasing with respect to its radius, when the radius is 7 cm.
View Solution

Question for Practice Questions Level 1: Functions - 2
Try yourself:Find the two numbers such that their sum is 12 and the sum of their squares is minimum.
View Solution

Question for Practice Questions Level 1: Functions - 2
Try yourself:The sum of two numbers is 2k. The numbers such that the sum of their squares is minimum, will be
View Solution

Question for Practice Questions Level 1: Functions - 2
Try yourself:Refer to the following data to answer the question given below:
R(x, y) =Functions Questions for CAT with Answers PDF and sq(x, y) = Functions Questions for CAT with Answers PDF
rem (x, y) = remainder when x is divided by y
q(x, y) = quotient when x is divided by y
sq(5, 10) is equal to
View Solution

Question for Practice Questions Level 1: Functions - 2
Try yourself:If f(x) = Functions Questions for CAT with Answers PDFthen f[f[f(x)]] equals
View Solution

Question for Practice Questions Level 1: Functions - 2
Try yourself:Radius of a circle is increasing uniformly at the rate of 3 cm/sec. The rate of increase in area, when radius is 10 cm will be
View Solution

Question for Practice Questions Level 1: Functions - 2
Try yourself:Differentiate 3y3 + 4y2 - 6y + 7 w.r.t. y.
 
View Solution

Question for Practice Questions Level 1: Functions - 2
Try yourself:If f(x) is an even function, then the graph y = f(x) will be symmetrical about
View Solution

Question for Practice Questions Level 1: Functions - 2
Try yourself:If f (x) is an odd function, then the graph y = f(x) will be symmetrical about
View Solution

Question for Practice Questions Level 1: Functions - 2
Try yourself:Find the minimum value of the function f (x) = log2 (x2 – 2x + 5).
View Solution

The document Functions Questions for CAT with Answers PDF is a part of CAT category.
All you need of CAT at this link: CAT
Download as PDF

Top Courses for CAT

Related Searches

study material

,

Objective type Questions

,

Viva Questions

,

MCQs

,

Extra Questions

,

shortcuts and tricks

,

pdf

,

Functions Questions for CAT with Answers PDF

,

Important questions

,

Summary

,

past year papers

,

Functions Questions for CAT with Answers PDF

,

practice quizzes

,

Functions Questions for CAT with Answers PDF

,

Free

,

Exam

,

ppt

,

Semester Notes

,

video lectures

,

Previous Year Questions with Solutions

,

mock tests for examination

,

Sample Paper

;