This EduRev document offers 10 Multiple Choice Questions (MCQs) from the topic Profit, Loss & Discount (Level - 1). These questions are of Level - 1 difficulty and will assist you in the preparation of CAT & other MBA exams. You can practice/attempt these CAT Multiple Choice Questions (MCQs) and check the explanations for a better understanding of the topic.
Question for Practice Questions Level 1: Profit, Loss & Discount - 1
Try yourself:Harish bought a horse for $20,000 and sold it to Monika at a gain of 20%. Monika sold it to Sonu at a loss of 5%. Find the cost price for Sonu.
Explanation
CP = $20,000
SP for Harish = CP for Monika = 1.2 × 20,000 = $24,000
SP for Monika = CP for Sonu = 0.95 × 24,000 = $22,800
Report a problem
Question for Practice Questions Level 1: Profit, Loss & Discount - 1
Try yourself:If the selling price (SP) of an article is 4/3 of its cost price (CP), the percentage profit in the transaction is
Explanation
Report a problem
Question for Practice Questions Level 1: Profit, Loss & Discount - 1
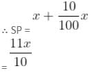
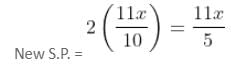
Try yourself:A man gains 10% by selling a certain article for a certain price. If he sells it at double the price, then the profit made is
Explanation
Gain = 10%
Let the C.P. be x.



Report a problem
Question for Practice Questions Level 1: Profit, Loss & Discount - 1
Try yourself:An item for sale is marked down 20%. By what percent must it be marked up in order to return to the original selling price?
Explanation
Let the original price be Rs. 100.
Marked down price = Rs. 80
Now, we want to raise 80 to 100.

Report a problem
Question for Practice Questions Level 1: Profit, Loss & Discount - 1
Try yourself:Of all the articles manufactured by a company, 5% are defective. If the manufacturing cost of 100 articles is Rs. 1900, what should be the market price of the article so that the company gets 40% profit, even if it gives the articles to the distributor for 30% less price than the market price?
Explanation
Cost price for 100 articles = Rs. 1900
Let the market price per article be Rs. M.
So, sales revenue = 95 × M × 0.7 ... (i)
As profit = 40%, sales revenue = Rs. 1.40 × 1900 = Rs. 2660
So, 95M × 0.7 = 2660
Or M = 40
Thus, market price = Rs. 40
Hence, answer option (1) is correct.
Report a problem
Question for Practice Questions Level 1: Profit, Loss & Discount - 1
Try yourself:By selling a cap for ₹ 29.75, a man gains 6.25%. What will be the CP of the cap?
Explanation
The SP = 106.25% of the CP. Thus, CP = 29.75/1.0625
= ₹ 28.
Report a problem
Question for Practice Questions Level 1: Profit, Loss & Discount - 1
Try yourself:A machine costs ₹ 1025. If it is sold at a loss of 25%, what will be its cost price as a percentage of its selling price?
Explanation
A loss of 25% means a cost price of 100 corresponding to a selling price of 75. CP as a percentage of the SP would then be 133.33%
Report a problem
Question for Practice Questions Level 1: Profit, Loss & Discount - 1
Try yourself:A tablet is sold for ₹ 6612.5 at a profit of 15%. What would have been the actual profit or loss on it, if it had been sold for ₹ 5380?
Explanation
CP = 6612.5/1.15 = 5750. Selling this at 5380 would mean a loss of ₹370 on a CP of ₹ 5750.
Report a problem
Question for Practice Questions Level 1: Profit, Loss & Discount - 1
Try yourself:By selling bouquets for ₹ 69, a florist gains 15%. At what price should he sell the bouquets to gain 20%on the cost price?
Explanation
CP = 69/1.15 = 60. Thus, the required SP for 20%
profit = 1.2 x 60 = 72.
Report a problem
Question for Practice Questions Level 1: Profit, Loss & Discount - 1
Try yourself:A feeding bottle is sold for ₹ 150. Sales tax accountsfor one-fifth of this and profit one-third of the remainder.Find the cost price of the feeding bottle.
Explanation
Sales tax = 150/5 = 30. Thus, the SP contains ₹ 30
component of sales tax. Of the remainder (150 – 30
= 120) 1/3rd is the profit. Thus, the profit = 120/3 =
40. Cost price = 120 – 40 = 80.
Report a problem