This EduRev document offers 20 Multiple Choice Questions (MCQs) from the topic Simple & Compound Interest (Level - 2). These questions are of Level - 2 difficulty and will assist you in the preparation of CAT & other MBA exams. You can practice/attempt these CAT Multiple Choice Questions (MCQs) and check the explanations for a better understanding of the topic.
Question for Practice Questions Level 2: Simple & Compound Interest - 2
Try yourself:Mr. Magnet got a loan of Rs. 21,000 at 10% simple interest. He repaid that loan in 24 equal monthly installments, each being paid at the end of every month starting from the next year; that means for the first year, he did not pay anything and for the next 2 years he paid the installments and cleared the loan exactly by the end of the third year. What was approximate each installment he paid?
Explanation
Let equal installment = Rs. x

21,000 × 1.3 = 26.3x
⇒ x ≈ 1,038
Report a problem
Question for Practice Questions Level 2: Simple & Compound Interest - 2
Try yourself:Find the simple interest on Rs. 2000 at 6% per annum for a period of 1 year and 7 months.
Explanation
Report a problem
Question for Practice Questions Level 2: Simple & Compound Interest - 2
Try yourself:A sum of money at compound interest doubles in 1 year. In how many years will it amount to 8 times of itself?
Explanation
Report a problem
Question for Practice Questions Level 2: Simple & Compound Interest - 2
Try yourself:Sachin borrowed Rs. 28,000 from Yuvraj at 12% simple interest. After 1 year, he paid the interest and Rs. 10,000 extra. After 6 months more, if Sachin wants to clear the debt, then how much money does he have to pay Yuvraj?
Explanation
Report a problem
Question for Practice Questions Level 2: Simple & Compound Interest - 2
Try yourself:Ritesh deposited Rs. 8000 in State Bank of India. He had to pay 10% of the interest of the first year as his college fees, after which Rs. 900 of the interest amount was left. Find the rate percentage at which the interest was paid.
Explanation
Let the rate % be x.

10% of interest paid
⇒ 90% of interest left = Rs. 900
So, complete interest (100%) = Rs. 1000

= 12.5%
Report a problem
Question for Practice Questions Level 2: Simple & Compound Interest - 2
Try yourself:X invested a sum at compound interest payable half-yearly. If the compound interest in November 2003 was Rs. 225 and in May 2004, it was Rs. 236.25, find the annual rate of interest.
Explanation
Difference in C.I. of two successive periods = S.I. on C.I. of the earlier period
11.25 is S.I. on Rs. 225 at the same rate for six months.

⇒ r = 5%
Annual rate of interest = 10%
Report a problem
Question for Practice Questions Level 2: Simple & Compound Interest - 2
Try yourself:Divide Rs. 6000 into two parts so that the simple interest on the first part for 2 years at 6% p.a. may be equal to the simple interest on the second part for 3 years at 8% p.a. (in Rs.).
Explanation
Let the two parts be P1 and P2.
According to the question,

⇒ P1 : P2 = 2 : 1
∴ P1 = 6000 × 2/3 = 4000 and P2 = 2000
Report a problem
Question for Practice Questions Level 2: Simple & Compound Interest - 2
Try yourself:Amit invested two equal sums of Rs. 5,000 for 2 years at 10% C.I, one at C.I. payable yearly and the other at C.I. payable half yearly. Find the approximate difference in amounts that he will get at the end of 2 years.
Explanation
Principal = Rs 5000
Rates = 10% for yearly and 5% for half yearly
Times = 4 periods for compounded half yearly and 2 periods for compounded yearly
Difference = 5,000
= 5,000 (1.215 – 1.210) = Rs. 28
Report a problem
Question for Practice Questions Level 2: Simple & Compound Interest - 2
Try yourself:Dhiraj invests a part of Rs. 8000 at 4% p.a. and the remainder at 5% per year. His annual income from the investments is Rs. 350. What amounts of money (in rupees) has he invested at each rate, respectively?
Explanation
Let the amount invested at 4% be x and that at 5% be (8000 - x).

⇒ 4x + 40,000 - 5x = 35,000
Therefore, x = 5,000
Hence, amounts invested by Dhiraj at 4% and 5% are Rs. 5,000 and Rs. 3,000 respectively.
Report a problem
Question for Practice Questions Level 2: Simple & Compound Interest - 2
Try yourself:A sum was put on simple interest at a certain rate for 4 years. Had it been put at a 5% higher rate, it would have fetched Rs. 200 more. Find the sum.
Explanation
Let the sum be P, Rate of interest be r.
So, according to the question:
P × r × 4 + 200 = P × (r + 0.05) × 4
4Pr + 200 = 4Pr + 0.2P
200 = 0.2P
P = Rs. 1000
Report a problem
Question for Practice Questions Level 2: Simple & Compound Interest - 2
Try yourself:At a certain rate of simple interest, Rs. 700 in 2 years amounts to Rs. 840. If the rate of interest is increased by 2%, what will be the amount after 3 years?
Explanation
SI = 
840 - 700 = 700 × 2 × 
140 = 14R
R = 10% per year
Then, total amount after 3 years = 700 + 700 × (10 + 2) × 3/10
Total amount after 3 year at a rate of (10 + 2)% per year = 700 + 252 = Rs. 952
Report a problem
Question for Practice Questions Level 2: Simple & Compound Interest - 2
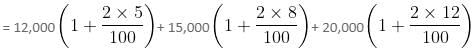
Try yourself:A man borrowed Rs. 12,000 at 5% simple interest, Rs. 15,000 at 8% simple interest and Rs. 20,000 at 12% simple interest. He lent all this money to another person at the rate of 10% compounded annually. How much money will the man gain after 2 years?
Explanation
Amount he has to pay after 2 years

= 13,200 + 17,400 + 24,800 = Rs. 55,400
He lent Rs. 12,000 + Rs. 15,000 + Rs. 20,000 at 10% compound interest.
So, after 2 years, he will get back 47,000
=Rs. 56,870
So, money gained = Rs. 1470
Report a problem
Question for Practice Questions Level 2: Simple & Compound Interest - 2
Try yourself:A money lender took a loan from bank at 22% simple interest and he lent all this money to another person at a rate of 5k% simple interest, where k depends on the principal P such that (k - 1) × 104 ≤ P < k × 104. What is the minimum amount of loan that he must take so that he does not incur any loss?
Explanation
There should be no loss if
22% ≤ 5k%
k ≥ 22/5
k ≥ 4.4
For minimum amount, k = 4.4
So,
(k - 1) × 104 ≤ P
(4.4 - 1) × 104 ≤ P
34000 ≤ P
Therefore, minimum amount of loan is Rs. 34,000
Report a problem
Question for Practice Questions Level 2: Simple & Compound Interest - 2
Try yourself:Shweta borrowed some money under simple interest. If she pays Rs. 10,000 at the end of 1 year and Rs. 18,200 at the end of second year, the debt will be cleared. Even if she pays Rs. 15,000 at the end of 1 year and Rs. 12,800 at the end of second year, then also the debt will be cleared. What is the rate of interest?
Explanation
As in the first case, she is paying Rs. 10,000 + Rs. 18,200 = Rs. 28,200
As in the second case, she is paying Rs. 15,000 + Rs. 12,800 = Rs. 27,800
So, the difference of Rs. 400 (Rs. 28,200 - Rs. 27,800) is nothing but the interest of Rs. 5,000 (Rs. 15,000 - Rs. 10,000) for 1 year.

⇒ r = 8%
Report a problem
Question for Practice Questions Level 2: Simple & Compound Interest - 2
Try yourself:A man borrows a sum of money at simple interest at the rate of 5% per annum and lends it out at 4% per annum compound interest, payable yearly. Find his net gain or loss at the end of 2 years as a percentage of sum borrowed by him.
Explanation
Report a problem
Question for Practice Questions Level 2: Simple & Compound Interest - 2
Try yourself:A lent B Rs. 900 for a certain time at a certain rate per annum which was equal to the square root of the number of months of time. After the time, B wanted to return the money, but A instead of taking the interest, which amounted to Rs. 48, asked for a certain sum of money at the same rate for a certain number of years which was equal to the square root of the rate. Find the sum of money so that neither of them ends up as a loser. (Take simple interest)
Explanation
A → B = Rs. 900
Let time = T years
Rate of interest = r%

⇒ r = 4%
B → A = Rs. P
Rate of interest = r = 4%
Time = T = 2 years

P = Rs. 600
Report a problem
Question for Practice Questions Level 2: Simple & Compound Interest - 2
Try yourself:The simple interest on a certain sum at a certain rate is 9/16 of the sum. Find the rate of interest if its percentage value is equal to time in years.
Explanation
Let the principal be P.
Suppose R = T = x

Report a problem
Question for Practice Questions Level 2: Simple & Compound Interest - 2
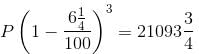
Try yourself:A property decreased in value every year at the rate of
on its value at the beginning of that year. If its value at the end of 3 years was Rs. 21,093.75, what was its worth at the beginning of these years?
Explanation
Let the original value of the property be 'P'.
Using the formula: 

Hence, required answer = Rs. 25,600
Report a problem
Question for Practice Questions Level 2: Simple & Compound Interest - 2
Try yourself:A sum of money is invested at compound interest at a certain rate. If the simple interest at the same rate is calculated, then the simple interest for the first two years comes out to be Rs. 20 less than the compound interest for the same number of years, and that for the first three years, comes out be Rs. 61 less than the compound interest for the same number of years. Find the rate.
Explanation
Report a problem
Question for Practice Questions Level 2: Simple & Compound Interest - 2
Try yourself:If the difference between the compound interest and simple interest on a certain sum of money is Rs. 72 at 12% annum for 2 years, find the amount.
Explanation
Report a problem