This EduRev document offers 10 Multiple Choice Questions (MCQs) from the topic Averages (Level - 1). These questions are of Level - 1 difficulty and will assist you in the preparation of CAT & other MBA exams. You can practice/attempt these CAT Multiple Choice Questions (MCQs) and check the explanations for a better understanding of the topic.
Question for Practice Questions Level 1: Averages - 1
Try yourself:Find the average of five consecutive even numbers a, b, c, d and e.
Explanation
The consecutive even numbers are a, b, c, d, e.
Clearly, b = a + 2, c = a + 4, d = a + 6, e = a + 8

Note: Whenever difference between any two consecutive terms is constant (means the series is an arithmetic series), the average of all the numbers is
(i) the middle number if the number of terms is odd.
(ii) the average of the middle two numbers if the number of terms is even.
Report a problem
Question for Practice Questions Level 1: Averages - 1
Try yourself:At present, the average age of a father and his son is 29 years. The average age of father, mother and son five years from now will be 37 years. Find the mother's present age.
Explanation
Let present age of father = F years
Let present age of son = S years
Let present age of mother = M years
Now, F + S = 29 × 2 = 58 years
Also, F + M + S + 15 = 3 × 37 = 111 years
On solving, we get
M = 38 years
Thus, present age of mother = 38 years
Report a problem
Question for Practice Questions Level 1: Averages - 1
Try yourself:A student scores an average of 80 marks in six subjects. If the subjects with the highest and the lowest scores are excluded, the average decreases by 1. If his highest score in a subject is 86, what is his lowest score?
Explanation
According to the question,
480 - 86 - x = 79 4 = 316
Or, lowest score = x = 480 - 86 - 316 = 78
Report a problem
Question for Practice Questions Level 1: Averages - 1
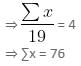
Try yourself:The mean of 19 observations is 4. If one more observation of 24 is added to the data, the new mean will be
Explanation
The mean of 19 observations is 4.

New data when 24 is added:
76 + 24 = 100
New number of observations = 19 + 1 = 20

Report a problem
Question for Practice Questions Level 1: Averages - 1
Try yourself:The average monthly salary of employees, consisting of officers and workers, of an organisation is Rs. 3000. The average salary of an officer is Rs. 10,000, while that of a worker is Rs. 2000 per month. If there are total 400 employees in the organisation, find the number of officers.
Explanation
Let the number of officers be x.
Number of workers = 400 - x
10,000x + 2000(400 - x) = 3000(400)
10x + 800 - 2x = 1200
8x = 400
x = 50
Hence, the number of officers is 50.
Report a problem
Question for Practice Questions Level 1: Averages - 1
Try yourself:The average of ten numbers is 27. If the smallest number is deleted from the list, the average of the remaining 9 numbers will be x and if the largest number is deleted, the average will be y. What is the average of the smallest and the largest numbers, if x + y = 10?
Explanation
Let the sum of all 10 numbers be S.
S = 10 × 27 = 270
Let the smallest number be s and the largest number be L.
So, S - s = 9x ... (i)
Also, S - L = 9y ... (ii)
Adding (i) and (ii), we get
2S - (s + L) = 9(x + y) = 9(x + y) = 9(10) = 90
Or 2S - 90 = (s + L)

Or 270 - 45 = 225
= 
Thus, answer option (1) is correct.
Report a problem
Question for Practice Questions Level 1: Averages - 1
Try yourself:How many pairs of positive integers, not more than 100, will have an average greater than 50?
Explanation
Average of 2 numbers is greater than 50 means that the sum should be greater than 100.
Different pairs are as follows:
(1, 100) … (1 pair)
(2, 99), (2, 100) … (2 pairs)
(3, 98), (3, 99), (3, 100) … (3 pairs)
... so on
(49, 52), (49, 53) ... (49, 100) ... (49 pairs)
(50, 51), (50, 52) … (50, 100) ... (50 pairs)
So, 1 + 2 + 3 + 4 + ... + 50 = 1275
Again
(51, 51), (51, 52), (51, 53), ... (51, 100) ... (50 pairs)
(52, 52), (52, 53), (52, 54), ... (52, 100) ... (49 pairs)
(53, 53), (53, 54), (53, 55), ... (53, 100) ... (48 pairs)
... so on
(99, 99), (99, 100) ... (2 pairs)
(100, 100) ... (1 pair)
So, 1 + 2 + 3 + 4 + ... + 50 = 1275
Hence, total = 1275 + 1275 = 2550 pairs
Report a problem
Question for Practice Questions Level 1: Averages - 1
Try yourself:The average of the first fifteen natural numbers is
Explanation
Required average = (1 + 2 + 3 + … + 15)/15 = 120/15 = 8. Alternately you could use the formula for sum of the first n natural numbers as n (n + 1)/2 with n as 15. Then average = Sum/15 = (15 x 16/2)/ 15 = 8
Report a problem
Question for Practice Questions Level 1: Averages - 1
Try yourself:The average of the first ten even numbers is
Explanation
Required average = (2 + 4 + 6 + 8 + 10 + 12 + 14
+ 16 + 18 + 20)/10 = 110/10 = 11. Alternately you
could use the formula for sum of the first n even
natural numbers as n (n + 1) with n as 10. Then
average = Sum/10 = 10 ¥ 11/10 = 11.
Report a problem
Question for Practice Questions Level 1: Averages - 1
Try yourself:The average of the first ten prime numbers is
Explanation
Required average = (2 + 3 + 5 + 7 + 11 + 13 + 17
+ 19 + 23 + 29)/10 = 129/10 = 12.9.
Report a problem