Chemical Engineering Exam  >  Chemical Engineering Notes  >  Mass Transfer  >  Diffusion Through Variable Cross Sectional Area

Diffusion Through Variable Cross Sectional Area | Mass Transfer - Chemical Engineering PDF Download

2.3 Diffusion through variable cross-sectional area
2.3.1 Diffusion through a conduit of non-uniform cross-sectional area
Consider a component A is diffusing at steady state through a circular conduit which is tapered uniformly as shown in Figure 2.3. At point 1 the radius is r1 and at point 2 it is r2. At position Z in the conduit, A is diffusing through stagnant, nondiffusing B.
Diffusion Through Variable Cross Sectional Area | Mass Transfer - Chemical Engineering
Figure 2.3: Schematic of diffusion of A through a uniformly tapered tube
At position Z the flux can be written as
Diffusion Through Variable Cross Sectional Area | Mass Transfer - Chemical Engineering                              (2.23)
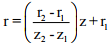
Using the geometry as shown, the variable radius r can be related to position z in the path as follows: 
Diffusion Through Variable Cross Sectional Area | Mass Transfer - Chemical Engineering                                                  (2.24)
The Equation (2.24) is then substituted in the flux Equation to eliminate r and then the Equation is integrated and obtained as:
Diffusion Through Variable Cross Sectional Area | Mass Transfer - Chemical Engineering
Or

Diffusion Through Variable Cross Sectional Area | Mass Transfer - Chemical Engineering                          (2.25)

2.3.2 Evaporation of water from metal tube
Suppose water in the bottom of a narrow metal tube is held at constant temperature T. The total pressure of air (assumed dry) is P and the temperature is T. Water evaporates and diffuses through the air. At a given time t, the level is Z meter from the top as shown in Figure 2.4. As diffusion proceeds, the level drops slowly. At any time t, the steady state Equation holds, but the path length is Z.
Diffusion Through Variable Cross Sectional Area | Mass Transfer - Chemical Engineering
Figure 2.4: Schematic of evaporation in metal tube
 

Thus the steady state Equation becomes as follows where NA and Z are variables:
Diffusion Through Variable Cross Sectional Area | Mass Transfer - Chemical Engineering                                   (2.26)
Where
Diffusion Through Variable Cross Sectional Area | Mass Transfer - Chemical Engineering           (2.27)
Assuming a cross sectional area of 1 m2 , the level drops dZ meter in dt sec, and ρA(dZ.1)/MA is the kmol of A that has been left and diffused. Then
Diffusion Through Variable Cross Sectional Area | Mass Transfer - Chemical Engineering                                                (2.28)
Substituting the Equation (2.28) in Equation (2.26) and integrating, one gets
Diffusion Through Variable Cross Sectional Area | Mass Transfer - Chemical Engineering                      (2.29)
Diffusion Through Variable Cross Sectional Area | Mass Transfer - Chemical Engineering                                (2.30)
The Equation (2.30) represents the time tF for the level to drop from a starting point of Zo meter at t = 0 to ZF at t = tF.

2.3.3 Diffusion from a sphere 
There are lots of examples where diffusion can take place through the spherical shape bodies. Some examples are:
1. Evaporation of a drop of liquid 
2. The evaporation of a ball of naphthalene
3. The diffusion of nutrients to a sphere-like microorganism in a liquid

Assume a constant number of moles ÑA of A from a sphere (area = 4πr2 ) through stagnant B as shown in Figure 2.5.
Diffusion Through Variable Cross Sectional Area | Mass Transfer - Chemical Engineering
Figure 2.5: Schematic of diffusion from a sphere
 

From the Fick’s law of diffusion, the rate of diffusion can be expressed as:
Diffusion Through Variable Cross Sectional Area | Mass Transfer - Chemical Engineering                                 (2.31)
where
Diffusion Through Variable Cross Sectional Area | Mass Transfer - Chemical Engineering                                                      (2.32)
Diffusion Through Variable Cross Sectional Area | Mass Transfer - Chemical Engineering                       (2.33)
Integrating with limits of PA2 at r2 and PA1 at r1 gives:
Diffusion Through Variable Cross Sectional Area | Mass Transfer - Chemical Engineering             (2.34)

As r1 << r2, then 1/r2 ≈ 0:
Diffusion Through Variable Cross Sectional Area | Mass Transfer - Chemical Engineering  the flux at the surface                  (2.35)
This Equation can be simplified if PA1 is small compared to P (a dilute gas phase), PBM ≈ P. Also setting 2r1 = D1, diameter, CA1 = PA1/RT
Diffusion Through Variable Cross Sectional Area | Mass Transfer - Chemical Engineering                                  (2.36)

The document Diffusion Through Variable Cross Sectional Area | Mass Transfer - Chemical Engineering is a part of the Chemical Engineering Course Mass Transfer.
All you need of Chemical Engineering at this link: Chemical Engineering
29 videos|46 docs|44 tests

FAQs on Diffusion Through Variable Cross Sectional Area - Mass Transfer - Chemical Engineering

1. What is diffusion?
Ans. Diffusion is the process by which molecules or particles move from an area of higher concentration to an area of lower concentration. It is driven by the random motion of particles and does not require any external energy input.
2. How does the cross-sectional area affect diffusion?
Ans. The cross-sectional area plays a significant role in diffusion. A larger cross-sectional area allows for more space for the molecules to move, increasing the rate of diffusion. Conversely, a smaller cross-sectional area restricts the movement of molecules, leading to a slower diffusion rate.
3. How is diffusion through variable cross-sectional area relevant in chemical engineering?
Ans. Diffusion through variable cross-sectional area is relevant in chemical engineering as it is encountered in various processes such as gas absorption, distillation, and membrane separation. Understanding how diffusion is affected by changes in cross-sectional area helps in designing efficient separation processes and optimizing their performance.
4. What factors can influence the diffusion rate through variable cross-sectional area?
Ans. Several factors can influence the diffusion rate through variable cross-sectional area. These include the concentration gradient, temperature, molecular size, and the properties of the medium through which diffusion occurs (e.g., viscosity). Additionally, any obstacles or barriers in the system, such as membranes or porous materials, can also affect the diffusion rate.
5. Can diffusion through variable cross-sectional area be modeled mathematically?
Ans. Yes, diffusion through variable cross-sectional area can be mathematically modeled using Fick's laws of diffusion. These laws describe the relationship between the diffusion flux, concentration gradient, and the properties of the system. By applying these mathematical models, chemical engineers can predict and analyze diffusion behavior in various industrial processes.
Related Searches

Exam

,

Extra Questions

,

shortcuts and tricks

,

MCQs

,

Diffusion Through Variable Cross Sectional Area | Mass Transfer - Chemical Engineering

,

video lectures

,

Previous Year Questions with Solutions

,

Sample Paper

,

practice quizzes

,

mock tests for examination

,

Summary

,

ppt

,

Viva Questions

,

Objective type Questions

,

Important questions

,

study material

,

pdf

,

past year papers

,

Diffusion Through Variable Cross Sectional Area | Mass Transfer - Chemical Engineering

,

Free

,

Diffusion Through Variable Cross Sectional Area | Mass Transfer - Chemical Engineering

,

Semester Notes

;