Mechanical Engineering Exam  >  Mechanical Engineering Notes  >  Thermodynamics  >  Application of the First Law to Closed Systems

Application of the First Law to Closed Systems | Thermodynamics - Mechanical Engineering PDF Download

Application of the First Law to Closed Systems

In general, a thermodynamic system in its most complex form may be multi-component as well as multiphase in nature, and may contain species which react chemically with each other. Thermodynamic analysis tends to focus dominantly on the energy changes occurring within such a thermodynamic system due to change of state (or vice versa), and therefore it is often convenient to formulate the first law specifically for the system in question. Here we focus on closed systems, i.e., one that does not allow transfer of mass across its boundary. As already 

pointed out work and heat may enter or leave such a system across its boundary (to and fro with respect to the surrounding) and also be stored in the common form of internal energy. Since in a system may also possess potential and kinetic energies, one may reframe the first law as follows.
Using the notations , , for specific internal, kinetic and potential energies, respectively:

Application of the First Law to Closed Systems | Thermodynamics - Mechanical Engineering
If the energy transfer across the system boundary takes place only the form of work and heat:

 

Application of the First Law to Closed Systems | Thermodynamics - Mechanical Engineering
The above relation may be written per unit mass / mole of closed system, i.e.,:

 

Application of the First Law to Closed Systems | Thermodynamics - Mechanical Engineering


The above equation may also be written in a differential form:

dU + dE + dE= δ Q +δ W

 

If there is no change in potential and kinetic energies for the system or it is negligible – as is usually true for most thermodynamic systems of practical interest – the above equation reduces to: 

dU = δ Q +δ W

One of the great strengths of the mathematical statement of the first law as codified by eqn. 3.2 is that it equates a state variable (U) with two path variables (Q, W). As a differentiator we use the symbol δ to indicate infinitesimal work and heat transfer (as opposed to d used state variables).  The last equation potentially allows the calculation of work and heat energies required for a process, by simply computing the change in internal energy. As we shall see later (chapters. 4 & 5) changes in internal energy can be conveniently expressed as functions of changes in state properties such as T, P and V.


In the above equation the term δW represents any form of work transfer to or from the system. In many situations of practical interest the thermodynamic work for closed systems is typically the PdV work (eqn. 1.6). Hence in such cases one may reframe eqn. 3.2 as follows: 

Application of the First Law to Closed Systems | Thermodynamics - Mechanical Engineering

In keeping with the definition of work above, we adopt the following convention:

W > 0, If work is done on system

W < 0, If work is done by system

Q > 0,  If work is done to system

Q < 0,If work is done from system

The process of change in a thermodynamic system may occur under various types of constraints, which are enlisted below:

• Constant pressure (isobaric)

• Constant volume (isochoric)

• Constant temperature (isothermal)

• Without heat transfer (adiabatic)

The mathematical treatment of each of these processes is presented below.
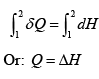
For a constant pressure process (fig. 3.2), we may write:

 

Application of the First Law to Closed Systems | Thermodynamics - Mechanical Engineering

The term H is termed enthalpy. It follows that like U, H is also a state variable.
On integrating the differential form of the equation above one obtains for the process:

Application of the First Law to Closed Systems | Thermodynamics - Mechanical Engineering

Application of the First Law to Closed Systems | Thermodynamics - Mechanical Engineering

On the other hand if the process occurs under isochoric (const. V) conditions (shown in fig. 3.3) the first law leads to: 

Application of the First Law to Closed Systems | Thermodynamics - Mechanical Engineering

 

Application of the First Law to Closed Systems | Thermodynamics - Mechanical Engineering

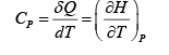
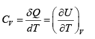
We have already seen that a body can retain heat in the form of internal energy. This gives rise
to the concept of heat capacity C and is mathematically defined as:

Application of the First Law to Closed Systems | Thermodynamics - Mechanical Engineering

It follows that using eqns. 3.4 and 3.5 two types of heat capacity may be defined:

  • Constant pressure heat capacity  Csuch that:

Application of the First Law to Closed Systems | Thermodynamics - Mechanical Engineering               .....(3.6)

  • Constant pressure heat capacity  Cv such that:

Application of the First Law to Closed Systems | Thermodynamics - Mechanical Engineering               .....(3.7)

Thus, using eqns. (3.6) and (3.7) one may rewrite eqns. (3.4) and (3.5) as follows:

Application of the First Law to Closed Systems | Thermodynamics - Mechanical Engineering               .....(3.8)

Application of the First Law to Closed Systems | Thermodynamics - Mechanical Engineering               .....(3.9)

With the addition of heat to a system, the translation, vibrational and rotational (as well as subatomic) energies of the molecules are enhanced and so it may be expected that the specific heats would be dependent on temperature. On the other hand when substances are compressed intermolecular interactions begin to contribute to internal energy (as hence to enthalpy) and therefore specific heats are rendered pressure dependent. For the case of ideal gases, however, the specific heats are independent of pressure as there are no intermolecular interactions; they are only temperature dependent. Values of specific heats of ideal gases (ig), say at constant pressure, are available from experimental measurements and are typically expressed in the form of polynomials such as:

Application of the First Law to Closed Systems | Thermodynamics - Mechanical Engineering

Where, A, B, C and D are characteristic constants for a substance, and R is the universal gas constant. Values of the constants in eqn. (3.10) are readily available for a large number of pure substances (see Appendix III for values of select gases). Fig. 3.4 shows typical dependence of const, pressure specific heat for select substances with temperature.

Application of the First Law to Closed Systems | Thermodynamics - Mechanical Engineering

Fig. 3.4 Variation of C P ig/R vs. Temperature (Source: J. M Smith, H.C. Van Ness, M.M. Abbott, Introduction to Chemical Engineering Thermodynamics, 6th ed., McGraw-Hill, 2001) Values of the coefficients of similar specific heat capacity polynomials for liquids and solids are available elsewhere (see for example, J.M. Smith, H.C. Van Ness and M.M. Abbott, Introduction to Chemical Engineering Thermodynamics, 6th ed., McGraw-Hill, 2001).

Applications to Ideal Gases 

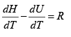
The other two types of thermodynamic processes – isothermal and adiabatic – in closed systems are conveniently understood by applying the first law to a system comprised of an ideal gas. For such a case the relationship between U and H may be rewritten using the EOS:
H = U + PV = U + RT
Or: H − U= RT

Since both H and U are only temperature dependent for ideal gases we write:

Application of the First Law to Closed Systems | Thermodynamics - Mechanical Engineering

Now using eqns. 3.6 and 3.7 it follows that: PV
Cp−Cv= R                .....(3.11)

(It may be noted that since the molar volume V is relatively small for both liquids and solids, one may write: H ≈U ; hence: CP=CV ).

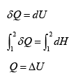
Let us now consider the relationships that obtain for an isothermal process for an ideal gas. Using eqn. 3.2, sincedU= 0:

δ Q = −δW
Or, Q = – W

If we consider only P-V work, the work term is calculable if the process is carried out reversibly, as the ideal gas EOS relate the P and V at all points of change, hence:

Application of the First Law to Closed Systems | Thermodynamics - Mechanical Engineering                .....(3.12)

Thus

Application of the First Law to Closed Systems | Thermodynamics - Mechanical Engineering                .....(3.13)

For isobaric process: Application of the First Law to Closed Systems | Thermodynamics - Mechanical Engineering           ...(3.14)

For adiabatic process dQ= 0

Application of the First Law to Closed Systems | Thermodynamics - Mechanical Engineering

Application of the First Law to Closed Systems | Thermodynamics - Mechanical Engineering                 ...(3.15)

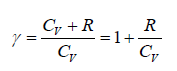
The ratio of heat capacities is defined as:

γ= Cp/Cv

or:

Application of the First Law to Closed Systems | Thermodynamics - Mechanical Engineering        ...(3.16)

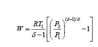
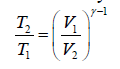
On integrating eqn. 3.15 and using the relationship provided by eqn. 3.16, the following set of results may be derived easily:

Application of the First Law to Closed Systems | Thermodynamics - Mechanical Engineering  ............(3.17)

Application of the First Law to Closed Systems | Thermodynamics - Mechanical Engineering            ......(3.18)

and Application of the First Law to Closed Systems | Thermodynamics - Mechanical Engineering                     .............. (3.19) 

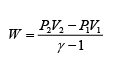
Further: dW=dU=CvdT

or W=dU=CvdT

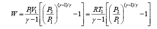
Since, Application of the First Law to Closed Systems | Thermodynamics - Mechanical Engineering

Using eqn. 3.19 in the expression for work in the last equation:

Application of the First Law to Closed Systems | Thermodynamics - Mechanical Engineering                .....(3.20)

or

Application of the First Law to Closed Systems | Thermodynamics - Mechanical Engineering                .....(3.21)

All the above processes discussed can be captured in the form of a single P-V relation, which is termed a polytropic equation as it can be reduced to yield all forms of processes. The polytropic relations are written by generalizing eqns. 3.17 – 3.19, as follows: 

PV δ = constant                .....(3.22)

TV δ −1 = constant                .....(3.23)

TP (1−δ ) /δ = constant ..                .....(3.24)

The schematic of polytropic process is shown in fig. 3.5.

 

Application of the First Law to Closed Systems | Thermodynamics - Mechanical Engineering

 

As may be seen the various values of δ reproduce the isothermal, isochoric, isobaric and adiabatic processes. In line with eqn. 3.21, for such the generalized expressions for work and heat transfer may be shown to be:

Application of the First Law to Closed Systems | Thermodynamics - Mechanical Engineering               ....(3.25)

Further:

 

Application of the First Law to Closed Systems | Thermodynamics - Mechanical Engineering                    ....(3.26)

The document Application of the First Law to Closed Systems | Thermodynamics - Mechanical Engineering is a part of the Mechanical Engineering Course Thermodynamics.
All you need of Mechanical Engineering at this link: Mechanical Engineering
29 videos|152 docs|36 tests

FAQs on Application of the First Law to Closed Systems - Thermodynamics - Mechanical Engineering

1. What is the First Law of Thermodynamics and how is it applied to closed systems?
Ans. The First Law of Thermodynamics states that energy cannot be created or destroyed, only transferred or converted from one form to another. When applied to closed systems, it means that the total energy within the system remains constant, but it can be transferred between different forms such as heat and work.
2. How is the First Law of Thermodynamics related to the conservation of energy?
Ans. The First Law of Thermodynamics is closely related to the principle of conservation of energy. It states that the total energy of a closed system remains constant, meaning that energy is conserved within the system. This principle ensures that energy cannot be created or destroyed, but can only be converted from one form to another.
3. Can you provide an example of the application of the First Law of Thermodynamics to a closed system?
Ans. Certainly! Let's consider a closed system consisting of a gas confined within a piston cylinder. If heat is added to the system, the gas molecules will gain energy, resulting in an increase in temperature. This increase in temperature can then be converted into work as the gas expands and pushes against the piston. The First Law of Thermodynamics ensures that the energy added to the system through heat transfer is conserved and can be accounted for as both an increase in internal energy and work done by the system.
4. How does the First Law of Thermodynamics impact the efficiency of a heat engine?
Ans. The First Law of Thermodynamics plays a crucial role in determining the efficiency of a heat engine. According to the law, the net work output of a heat engine is equal to the difference between the heat added to the system and the heat rejected from the system. Therefore, the efficiency of a heat engine can be calculated by dividing the net work output by the heat input. This relationship allows engineers to optimize the design and operation of heat engines to maximize their efficiency.
5. Is the application of the First Law of Thermodynamics limited to closed systems only?
Ans. No, the First Law of Thermodynamics can be applied to various types of systems, including closed, open, and isolated systems. While the law specifically focuses on closed systems, it can also be extended to open systems where mass can enter or leave the system, as well as to isolated systems where neither mass nor energy can be exchanged with the surroundings. The principles of energy conservation and energy transfer remain applicable across different system types.
Related Searches

Important questions

,

Objective type Questions

,

Summary

,

ppt

,

past year papers

,

Semester Notes

,

Application of the First Law to Closed Systems | Thermodynamics - Mechanical Engineering

,

video lectures

,

Previous Year Questions with Solutions

,

Extra Questions

,

practice quizzes

,

MCQs

,

shortcuts and tricks

,

Viva Questions

,

Application of the First Law to Closed Systems | Thermodynamics - Mechanical Engineering

,

pdf

,

mock tests for examination

,

Exam

,

Free

,

study material

,

Application of the First Law to Closed Systems | Thermodynamics - Mechanical Engineering

,

Sample Paper

;