Mechanical Engineering Exam  >  Mechanical Engineering Notes  >  Thermodynamics  >  Types of Thermodynamic Equilibrium

Types of Thermodynamic Equilibrium | Thermodynamics - Mechanical Engineering PDF Download

Thermodynamic Equilibrium

  •  In general, the change of state of a thermodynamic system results from the existence of gradients of various types within or across its boundary. 
  •  Thus, a gradient of pressure results in momentum or convective transport of mass
  • Temperature gradients result in heat transfer, while a gradient of concentration (more exactly, of chemical potential, as we shall see later) promotes diffusive mass transfer. 
  •  Thus, as long as internal or cross-boundary gradients of any form as above exist with respect to a thermodynamic system, it will undergo change of state in time. 
  •  The result of all such changes is to annul the gradient that in the first place causes the changes. 
  •  This process will continue till all types of gradients are nullified
  •  In the ultimate limit, one may then conceive of a state where all gradients (external or internal) are non-existent and the system exhibits no further changes. 
  •  Under such a limiting condition, the system is said to be in a state of thermodynamic equilibrium
  •  For a system to be in thermodynamic equilibrium, it thus needs to also satisfy the criteria for mechanical, thermal, and chemical equilibrium. 

Types of Thermodynamic Equilibrium

A thermodynamic system may exist in various forms of equilibrium: stable, unstable and metastable. These diverse types of equilibrium states may be understood through analogy with a simple mechanical system as depicted in fig. 1.3 – a spherical body in a variety of gradients on a surface. 

Types of Thermodynamic Equilibrium | Thermodynamics - Mechanical EngineeringFig. 1.3 Types of Mechanical Equilibrium

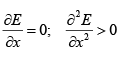
 Consider the body to be initially in state ‘II’. If disturbed by a mechanical force of a very small magnitude the body will return to its initial state. However, if the disturbance is of a large magnitude, the body is unlikely to return to its initial state. In this type of situation the body is said to be in unstable equilibrium. Consider the state ‘I’; even a very small disturbance will move the body to either positions ‘II’ or ‘III’. This type of original equilibrium state is termed metastable. Lastly, if the body is initially in state ‘III’, it will tend to return to this state even under the influence of relatively larger disturbances. The body is then said to be in a stable equilibrium state. If ‘E’ is the potential energy of the body and ‘x’ is the effective displacement provided to the body in the vertical direction, the three equilibrium states may be described by the following equations: 

 Stable Equilibrium:   Types of Thermodynamic Equilibrium | Thermodynamics - Mechanical Engineering          ....(1.7)

 Unstable Equilibrium :Types of Thermodynamic Equilibrium | Thermodynamics - Mechanical Engineering           ....(1.8)

 Metastable Equilibrium:   Types of Thermodynamic Equilibrium | Thermodynamics - Mechanical Engineering           ....(1.9)

 The above arguments may well be extended to understand equilibrium states of thermodynamic systems, which are relatively more complex in configuration. The disturbances in such cases could be mechanical, thermal or chemical in nature. 

The document Types of Thermodynamic Equilibrium | Thermodynamics - Mechanical Engineering is a part of the Mechanical Engineering Course Thermodynamics.
All you need of Mechanical Engineering at this link: Mechanical Engineering
29 videos|152 docs|36 tests

FAQs on Types of Thermodynamic Equilibrium - Thermodynamics - Mechanical Engineering

1. What are the different types of thermodynamic equilibrium?
Ans. The three main types of thermodynamic equilibrium are: 1) Thermal equilibrium, where two systems in contact at a boundary do not exchange heat; 2) Mechanical equilibrium, where there are no net forces acting within a system, meaning no pressure differences; and 3) Chemical equilibrium, where the chemical composition of a system remains constant over time, indicating that the rates of the forward and reverse reactions are equal.
2. How does thermal equilibrium differ from mechanical equilibrium?
Ans. Thermal equilibrium refers to a state where two bodies in contact with each other have no temperature difference, resulting in no heat transfer. In contrast, mechanical equilibrium pertains to a state where a system experiences no net force or motion, meaning that there are no unbalanced forces or pressure differences acting on it.
3. What is the significance of chemical equilibrium in thermodynamics?
Ans. Chemical equilibrium is significant because it indicates that the concentrations of reactants and products remain constant over time, allowing for predictable behavior in chemical reactions. This concept is essential in understanding reaction dynamics and is crucial for designing chemical processes, predicting product yields, and optimizing reaction conditions.
4. Can a system be in all three types of equilibrium simultaneously?
Ans. Yes, a system can be in all three types of thermodynamic equilibrium at once. For instance, in a closed container with a chemical reaction at equilibrium, the temperature can be constant (thermal equilibrium), there can be no pressure differences (mechanical equilibrium), and the concentrations of reactants and products can remain unchanged (chemical equilibrium).
5. How can one determine if a system is in thermodynamic equilibrium?
Ans. To determine if a system is in thermodynamic equilibrium, one can check for uniform temperature (thermal equilibrium), look for the absence of net forces (mechanical equilibrium), and observe if the concentrations of reactants and products are stable over time (chemical equilibrium). If all these conditions are satisfied, the system is considered to be in thermodynamic equilibrium.
Related Searches

Viva Questions

,

practice quizzes

,

shortcuts and tricks

,

video lectures

,

Previous Year Questions with Solutions

,

Sample Paper

,

Important questions

,

Objective type Questions

,

ppt

,

past year papers

,

Summary

,

Extra Questions

,

Semester Notes

,

Types of Thermodynamic Equilibrium | Thermodynamics - Mechanical Engineering

,

study material

,

Types of Thermodynamic Equilibrium | Thermodynamics - Mechanical Engineering

,

MCQs

,

mock tests for examination

,

pdf

,

Free

,

Types of Thermodynamic Equilibrium | Thermodynamics - Mechanical Engineering

,

Exam

;