Electrical Engineering (EE) Exam  >  Electrical Engineering (EE) Notes  >  Signals and Systems  >  Properties of Fourier Transform

Properties of Fourier Transform

Properties of Fourier Transform

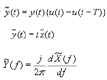
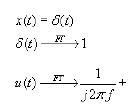
Differentiation and Integration (Time-domain)

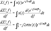
The Fourier transform (FT) of a signal x(t) is defined as X(f) = ∫-∞ x(t) e-j2πft dt and the inverse is x(t) = ∫-∞ X(f) ej2πft df, where f denotes frequency in Hz. Several useful operations in time correspond to simple algebraic operations in frequency. Below we develop the differentiation and integration properties and explain important caveats (especially at f = 0).

Differentiation in time

If x(t) is differentiable and its derivative is absolutely integrable (so FT exists), the FT of the derivative x'(t) = d/dt x(t) is obtained by differentiating the complex exponential inside the transform integral.

Differentiation and Integration (Time-domain)

Hence, if X(f) is the Fourier transform of x(t), then

Differentiation and Integration (Time-domain)

then

Differentiation and Integration (Time-domain)

Equivalently, using angular frequency ω = 2πf,

Differentiation and Integration (Time-domain)

Hence if x'(t) exists and FT conditions hold,

Differentiation and Integration (Time-domain)

then

Differentiation and Integration (Time-domain)

In words: differentiation in time corresponds to multiplication by j2πf (or jω) in frequency:

d/dt x(t) ↔ j2πf X(f) = jω X(ω)

This property is widely used to convert differential equations in time into algebraic equations in frequency.

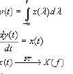
Integration in time

The inverse operation of time-differentiation is time-integration. Formally, if y(t) = ∫-∞t x(τ) dτ (causal integral) or if Y(f) denotes the FT of an antiderivative of x(t), then the frequency-domain relation involves division by j2πf. Care must be taken about any constant (DC) term introduced by indefinite integration.

Differentiation and Integration (Time-domain)

Thus, formally,

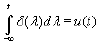
∫ x(t) dt ↔ X(f) / (j2πf) + C δ(f)

The extra term C δ(f) arises because 1/(j2πf) is singular at f = 0. If x(t) has zero mean (no DC component), the C δ(f) term vanishes and the simple division by j2πf is valid. If x(t) contains a nonzero DC component, the integral grows without bound as t → ∞ and the FT includes an impulse at f = 0 to represent the unbounded or constant component.

Example: consider x(t) = rect(t) (a rectangular pulse). Differentiating x(t) gives impulses at the pulse edges, and the FT of the derivative is j2πf times the FT of rect(t). The integration of the derivative recovers the original pulse up to a constant, and the division by j2πf must account for any DC term.

Differentiation and Integration (Time-domain)

To illustrate the DC/impulse issue, let

Differentiation and Integration (Time-domain)

This causes a problem when the spectrum contains a 1/f singularity which produces an impulse in frequency.

Differentiation and Integration (Time-domain)

The impulse at f = 0 represents the constant (DC) part introduced by indefinite integration.

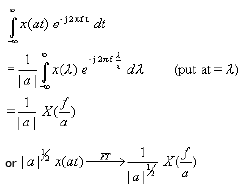
Scaling of the independent variable

Time-scaling property

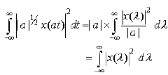
If x(t) has Fourier transform X(f), then for a real nonzero constant a the scaled signal x(at) has transform given by a change of variables in the transform integral. The usual form (using frequency f) is:

Scaling of the independent variable

When a > 0 or a < 0, the transform pair is

Scaling of the independent variable

Concretely,

x(at) ↔ (1/|a|) X(f / a)

Thus compression in time (|a| > 1) stretches the spectrum and scales its amplitude by 1/|a|; expansion in time (|a| < 1) compresses the spectrum and increases amplitude by 1/|a|. The amplitude factor ensures preservation of the integral relation between time and frequency representations.

There is also an energy-normalised scaling commonly used in signal processing and physics, where the scaled signal is multiplied by |a|1/2 to preserve total energy:

Scaling of the independent variable

Hence, x(t) and |a|<sup>1/2</sup>x(at) have the same energy. Therefore this scaling is called energy-normalised scaling of the independent variable.

Properties of Fourier Series (periodic signals)

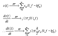
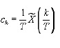
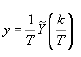
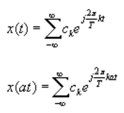
For periodic signals, the Fourier transform becomes a train of impulses at harmonic frequencies and is often expressed via Fourier series (FS) coefficients. Many FT properties have direct analogues in the FS domain. Let x(t) be periodic with period T and fundamental angular frequency ω0 = 2π/T. Its FS expansion is x(t) = Σk=-∞ ck ej k ω0 t, where

ck = (1/T) ∫0T x(t) e-j k ω0 t dt

Time-shift

Time shifting a periodic signal multiplies each Fourier series coefficient by a complex exponential. If x(t) has FS coefficients ck, then x(t - t0) has coefficients ck e-j k ω0 t0. This corresponds to the FT property of phase rotation for frequency-domain samples.

Time-shift

We know:

Time-shift

Thus if x(t) is periodic with period T, x(t - t0) has Fourier series coefficients

Time-shift

Differentiation (periodic signals)

If x(t) is differentiable term-by-term (suitable smoothness/decay of coefficients), differentiating x(t) multiplies each FS basis exponential by j k ω0. Hence the FS coefficients of x'(t) are j k ω0 times those of x(t).

If the periodic signal is differentiable then

Differentiation (periodic signals)

Thus if x(t) is periodic with period T, x'(t) has Fourier series coefficients

Differentiation (periodic signals)

In compact form:

d/dt x(t) = Σ j k ω0 ck ej k ω0 t and therefore the kth coefficient of x'(t) is j k ω0 ck.

Scaling of the independent variable (periodic signals)

Scaling a periodic signal in time changes its period. If x(t) has period T, then x(at) has period T/a when a > 0 and period T/(-a) when a < 0. The FS coefficients remain the same numerical sequence ck but now correspond to a different fundamental frequency; the harmonic spacing is multiplied by a.

Scaling of the independent variable (periodic signals)

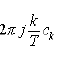
If a > 0, x(at) is periodic with period T/a and the original coefficient ck becomes the Fourier coefficient corresponding to the frequency k(a ω0) = k(2π/(T/a)).

Scaling of the independent variable (periodic signals)

If a < 0, x(at) is periodic with period T/(-a) and the coefficient ck becomes associated with frequency k(a ω0) with sign change as appropriate.

Scaling of the independent variable (periodic signals)

Multiplication by t (time-domain) for a periodic signal

Multiplying a periodic signal by t does not, in general, produce a periodic signal. To analyse this within Fourier series theory, one considers the function defined on one period and then takes its periodic extension. Let x(t) be periodic with period T; define y(t) as t·x(t) on 0 ≤ t < T and extend periodically. The FS coefficients of y(t) relate to the derivative of the coefficients of x(t) with respect to the harmonic index.

Starting from the coefficient definition:

ck = (1/T) ∫0T x(t) e-j k ω0 t dt

and for y(t) = t x(t) (periodically extended), its kth coefficient is

Multiplication by t (time-domain) for a periodic signal

Note the kth Fourier series coefficient of x(t) is

Multiplication by t (time-domain) for a periodic signal

Similarly, let

Multiplication by t (time-domain) for a periodic signal

Therefore, the kth Fourier series coefficient of y(t) = t x(t) is

Multiplication by t (time-domain) for a periodic signal

Explicit relationship (obtained by differentiating ck with respect to k and using d/dk e-j k ω0 t = -j ω0 t e-j k ω0 t) is

ck(t x) = j / ω0 · d/dk [ ck ]

This requires that the sequence ck is sufficiently smooth in k so that the derivative with respect to k (treating k as a continuous variable) is meaningful. Without such smoothness (the usual case for arbitrary FS coefficients defined only on integers), this formal relationship needs interpolation or analytic continuation of ck as a function of a continuous index. The idea is not of much practical use without such additional regularity information.

Multiplication by t (time-domain) for a periodic signal

Worked Example

Example:

Worked Example

Consider a simple example where x(t) is a band-limited pulse or a cosine; differentiation and scaling illustrate the above properties.

We show stepwise the effect of differentiation on the FT for an example signal x(t) = cos(2πf0 t):

Take x(t) = cos(2πf0 t).

The Fourier transform of cos(2πf0 t) is X(f) = 0.5 δ(f - f0) + 0.5 δ(f + f0).

Differentiating in time: d/dt x(t) = -2πf0 sin(2πf0 t).

Use the FT differentiation property: FT{d/dt x(t)} = j2πf X(f).

Multiply X(f) by j2πf and evaluate at the impulses: result is j2πf · 0.5 δ(f - f0) + j2πf · 0.5 δ(f + f0).

Using δ(f - f0) picks f = f0 and δ(f + f0) picks f = -f0; the combined spectrum corresponds to the known transform of -2πf0 sin(2πf0 t).

Conclusion

In this chapter you have learned:

  • Properties of the Fourier Transform with respect to differentiation and integration, including the important DC/impulse correction for integration.
  • Properties of the Fourier Transform with respect to scaling of the independent variable by a real constant a, and the energy-normalised scaling.
  • Properties of the Fourier Series with respect to time shifting, and how shifts produce phase rotations of coefficients.
  • Properties of the Fourier Series with respect to differentiation, where differentiation in time multiplies each coefficient by j k ω0.
  • Properties of the Fourier Series with respect to scaling of the independent variable and the change in fundamental frequency and period.
  • Properties of the Fourier Series with respect to multiplication by t, including the relation ck(t x) = j/ω0 · d/dk ck, and the caveat that this requires smoothness (continuous dependence) of the coefficient sequence.
The document Properties of Fourier Transform is a part of the Electrical Engineering (EE) Course Signals and Systems.
All you need of Electrical Engineering (EE) at this link: Electrical Engineering (EE)

FAQs on Properties of Fourier Transform

1. What is the Fourier Transform?
Ans. The Fourier Transform is a mathematical technique that decomposes a complex waveform into a sum of simpler sine and cosine waves. It allows us to analyze the frequency components present in a signal or function.
2. What are the properties of Fourier Transform?
Ans. The properties of Fourier Transform include linearity, time shifting, frequency shifting, scaling, convolution, modulation, and duality. These properties enable us to manipulate and analyze signals effectively.
3. How does the Fourier Transform help in signal processing?
Ans. The Fourier Transform plays a crucial role in signal processing as it allows us to convert a signal from the time domain to the frequency domain. This conversion helps in analyzing the frequency content of the signal, filtering unwanted noise, compressing audio/video data, and performing operations like convolution and correlation.
4. Can the Fourier Transform be applied to both continuous and discrete signals?
Ans. Yes, the Fourier Transform can be applied to both continuous and discrete signals. For continuous signals, we use the Continuous Fourier Transform (CFT), and for discrete signals, we use the Discrete Fourier Transform (DFT) or its faster variant, the Fast Fourier Transform (FFT).
5. What is the relationship between the Fourier Transform and the Fourier Series?
Ans. The Fourier Transform and the Fourier Series are closely related. The Fourier Series represents a periodic function as a sum of sinusoidal components, whereas the Fourier Transform extends this concept to non-periodic functions by considering them as a sum of sinusoids with varying frequencies and amplitudes. The Fourier Transform can be seen as the continuous version of the Fourier Series.
Explore Courses for Electrical Engineering (EE) exam
Get EduRev Notes directly in your Google search
Related Searches
Free, past year papers, Properties of Fourier Transform, Summary, Extra Questions, Viva Questions, study material, Sample Paper, shortcuts and tricks, ppt, Semester Notes, Previous Year Questions with Solutions, Properties of Fourier Transform, practice quizzes, Exam, video lectures, Important questions, MCQs, Properties of Fourier Transform, mock tests for examination, Objective type Questions, pdf ;