Mechanical Engineering Exam  >  Mechanical Engineering Notes  >  Heat Transfer  >  Forced Convective Heat Transfer - 5

Forced Convective Heat Transfer - 5

4.4 Momentum and heat transfer analogies

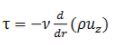
Consider a fluid flows in a circular pipe in a laminar low (fig.6.6). The wall of the pipe is maintained at Tw temperature, which is higher than the flowing fluid temperature. The fluid being in relatively lower temperature than the wall temperature will get heated as it flows through the pipe. Moreover, the radial transport of the momentum in the pipe occurs as per the Newton's law of viscosity.  For a circular pipe momentum transport and heat transport may be written in a similar way as shown in the eq. 4.28,

Momentum flux = momentum diffusivity × gradient of concentration of momentum

 

Forced Convective Heat Transfer - 5 (4.28 (a))

It may be noted that the fluid velocity Forced Convective Heat Transfer - 5 is a function of radius of the pipe.

Heat flux= thermal diffusivity × gradient of concentration of heat energy

Forced Convective Heat Transfer - 5(4.28 (b))

Forced Convective Heat Transfer - 5

Now, the question comes, why are we discussion about the similarities? The answer is straight forward that it is comparatively easy to experimentally/theoretically evaluate the momentum transport under various conditions. However, the heat transport is not so easy to find out. Therefore, we will learn different analogies to find the heat transport relations.

Equation 4.28 is for the laminar flow but if the flow is turbulent, eddies are generated. Eddy is a lump/chunk of fluid elements that move together. Thus it may be assumed that the eddies are the molecules of the fluid and are responsible for the transport of momentum and heat energy in the turbulent flow. Therefore, in turbulent situation the momentum and heat transport is not only by the molecular diffusion but also by the eddy diffusivities.  

Thus, turbulent transport of momentum and turbulent transport of heat may be represented by eq. 4.29a and 4.29b, respectively.

Forced Convective Heat Transfer - 5

The terms Forced Convective Heat Transfer - 5 represent the eddy diffusivities for momentum and heat, respectively.
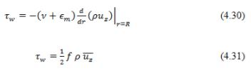
At the wall of the pipe, the momentum equation (eq. 4.29a) becomes,

Forced Convective Heat Transfer - 5

Where f is the fanning friction factor (ratio of shear force to inertial force) and Forced Convective Heat Transfer - 5 is the average fluid velocity.

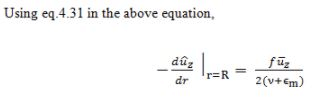
Equation eq.4.30 can be rearranged as,

Forced Convective Heat Transfer - 5

Forced Convective Heat Transfer - 5(4.32)

 The eq. 4.32 is the dimensionless velocity gradient at the wall using momentum transport. We may get the similar relation using heat transport as shown below.
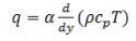
Wall heat flux can be written as,

Forced Convective Heat Transfer - 5

Where Tav is the wall temperature and the Tav is the average temperature of the fluid. Thus, the dimensionless temperature gradient at the wall using heat transfer will be,

Forced Convective Heat Transfer - 5

Where the heat transfer coefficient is represented by h and dimensionless temperature is represented by Forced Convective Heat Transfer - 5 .

Based on the above discussion many researchers have given their analogies. These analogies are represented in the subsequent section

The document Forced Convective Heat Transfer - 5 is a part of the Mechanical Engineering Course Heat Transfer.
All you need of Mechanical Engineering at this link: Mechanical Engineering

FAQs on Forced Convective Heat Transfer - 5

1. What is forced convective heat transfer?
Ans. Forced convective heat transfer refers to the transfer of heat between a solid surface and a moving fluid (liquid or gas) when the fluid is forced to flow over the surface. This heat transfer mechanism occurs due to the combined effects of conduction, convection, and fluid flow.
2. How does forced convective heat transfer differ from natural convective heat transfer?
Ans. Forced convective heat transfer differs from natural convective heat transfer in that it involves the use of external means, such as pumps or fans, to induce fluid flow and enhance heat transfer. In natural convection, the fluid flow is solely driven by buoyancy forces caused by temperature differences.
3. What are some common examples of forced convective heat transfer?
Ans. Some common examples of forced convective heat transfer include the cooling of electronic components using fans, the heating or cooling of buildings using forced air systems, and the cooling of engines in automobiles using radiator systems.
4. How is forced convective heat transfer characterized?
Ans. Forced convective heat transfer is characterized by parameters such as the heat transfer coefficient, which represents the effectiveness of the heat transfer process, and the Reynolds number, which indicates the flow regime (laminar or turbulent). Additionally, the fluid properties, surface roughness, and geometry of the system also play a role in characterizing forced convective heat transfer.
5. How can forced convective heat transfer be enhanced?
Ans. Forced convective heat transfer can be enhanced by increasing the fluid velocity, using fins or extended surfaces to increase the surface area available for heat transfer, employing heat exchangers with high thermal conductivity materials, and manipulating flow patterns to promote turbulence. These techniques help improve the overall heat transfer efficiency in various industrial applications.
Explore Courses for Mechanical Engineering exam
Get EduRev Notes directly in your Google search
Related Searches
Forced Convective Heat Transfer - 5, practice quizzes, Summary, pdf , Objective type Questions, Exam, Extra Questions, Important questions, shortcuts and tricks, Semester Notes, Viva Questions, Sample Paper, ppt, Forced Convective Heat Transfer - 5, Previous Year Questions with Solutions, video lectures, Free, mock tests for examination, study material, past year papers, MCQs, Forced Convective Heat Transfer - 5;