Practical Transformer | Basic Electrical Technology - Electrical Engineering (EE) PDF Download

Goals of the lesson

In practice no transformer is ideal. In this lesson we shall add realities into an ideal transformer for correct representation of a practical transformer. In a practical transformer, core material will have (i) finite value of μr , (ii) winding resistances, (iii) leakage fluxes and (iv) core loss. One of the major goals of this lesson is to explain how the effects of these can be taken into account to represent a practical transformer. It will be shown that a practical transformer can be considered to be an ideal transformer plus some appropriate resistances and reactances connected to it to take into account the effects of items (i) to (iv) listed above.    

Next goal of course will be to obtain exact and approximate equivalent circuit along with phasor diagram.

Key words : leakage reactances, magnetizing reactance, no load current.

After going through this section students will be able to answer the following questions.

  • How does the effect of magnetizing current is taken into account?
  • How does the effect of core loss is taken into account?
  • How does the effect of leakage fluxes are taken into account?
  • How does the effect of winding resistances are taken into account?
  • Comment the variation of core loss from no load to full load condition.
  • Draw the exact and approximate equivalent circuits referred to primary side.
  • Draw the exact and approximate equivalent circuits referred to secondary side.
  • Draw the complete phasor diagram of the transformer showing flux, primary & secondary induced voltages, primary & secondary terminal voltages and primary & secondary currents.

Practical transformer

A practical transformer will differ from an ideal transformer in many ways. For example the core material will have finite permeability, there will be eddy current and hysteresis losses taking place in the core, there will be leakage fluxes, and finite winding resistances. We shall gradually bring the realities one by one and modify the ideal transformer to represent those factors.

Consider a transformer which requires a finite magnetizing current for establishing flux in the core. In that case, the transformer will draw this current Ieven under no load condition. The level of flux in the core is decided by the voltage, frequency and number of turns of the primary and does not depend upon the nature of the core material used which is apparent from the following equatio n:

Practical Transformer | Basic Electrical Technology - Electrical Engineering (EE)

Hence maximum value of flux density Bmax is known from  Practical Transformer | Basic Electrical Technology - Electrical Engineering (EE) where Ai is the net cross sectional area of the core. Now Hmax is obtained from the B – H curve of the material. But we know   Practical Transformer | Basic Electrical Technology - Electrical Engineering (EE) where Immax is the maximum value of the magnetizing current. So rms value of the magnetizing current will be  Practical Transformer | Basic Electrical Technology - Electrical Engineering (EE) Thus we find that the amount of magnetizing current drawn will be different for different core material although applied voltage, frequency and number of turns are same. Under no load condition the required amount of flux will be produced by the mmf N1Im. In fact this amount of mmf must exist in the core of the transformer all the time, independent of the degree of loading.  

Whenever secondary delivers a current I2, The primary has to reacts by drawing extra current I’2 (called reflected current) such that I’2N1 = I2N2 and is to be satisfied at every instant.  Which means that if at any instant i2 is leaving the dot terminal of secondary, i2′ will be drawn from the dot terminal of the primary.  It can be easily shown that under this condition, these two mmfs (i.e, N2i2 and i2′N1 ) will act in opposition as shown in figure 24.1.  If these two mmfs also happen to be numerically equal, there can not be any flux produced in the core, due to the effect of actual secondary current I2 and the corresponding reflected current I2

Practical Transformer | Basic Electrical Technology - Electrical Engineering (EE)

Figure 24.1: MMf directions by I2 and I2

The net mmf therefore, acting in the magnetic circuit is once again ImN1 as mmfs I 2′N1 and I2N2 cancel each other.  All these happens, because KVL is to be satisfied in the primary demanding φmax to remain same, no matter what is the status (i., open circuited or loaded) of the secondary.  To create φmax, mmf necessary is N1Im.  Thus, net mmf provided by the two coils together must always be N1Im – under no load as under load condition.  Better core material is used to make Im smaller in a well designed transformer.

Keeping the above facts in mind, we are now in a position to draw phasor diagram of the transformer and also to suggest modification necessary to an ideal transformer to take magnetizing current Practical Transformer | Basic Electrical Technology - Electrical Engineering (EE) into account.  Consider first, the no load operation.  We first draw the φmax  phasor.  Since the core is not ideal, a finite magnetizing current Practical Transformer | Basic Electrical Technology - Electrical Engineering (EE) will be drawn from supply and it will be in phase with the flux phasor as shown in figure 24.2(a).  The induced voltages in primary Practical Transformer | Basic Electrical Technology - Electrical Engineering (EE) and secondary Practical Transformer | Basic Electrical Technology - Electrical Engineering (EE) are drawn 90º ahead (as explained earlier following convention 2).  Since winding resistances and the leakage flux are still neglected, terminal voltages Practical Transformer | Basic Electrical Technology - Electrical Engineering (EE) and Practical Transformer | Basic Electrical Technology - Electrical Engineering (EE) will be same asPractical Transformer | Basic Electrical Technology - Electrical Engineering (EE) and Practical Transformer | Basic Electrical Technology - Electrical Engineering (EE)respectively. 

Practical Transformer | Basic Electrical Technology - Electrical Engineering (EE)Practical Transformer | Basic Electrical Technology - Electrical Engineering (EE)

Figure 24.2:  Phasor Diagram with magnetising current taken into account. 

If you compare this no load phasor diagram with the no load phasor diagram of the ideal transformer, the only difference is the absence of Practical Transformer | Basic Electrical Technology - Electrical Engineering (EE)in the ideal transformer.  Noting that Practical Transformer | Basic Electrical Technology - Electrical Engineering (EE) lags Practical Transformer | Basic Electrical Technology - Electrical Engineering (EE) by 90º and the magnetizing current has to supplied for all loading conditions, common sense prompts us to connect a reactance Xm, called the magnetizing reactance across the primary of an ideal transformer as shown in figure 24.3(a).  Thus the transformer having a finite magnetizing current can be modeled or represented by an ideal transformer with a fixed magnetizing reactance Xm connected across the primary.  With S opened in figure 24.3(a), the current drawn from the supply is Practical Transformer | Basic Electrical Technology - Electrical Engineering (EE) = Practical Transformer | Basic Electrical Technology - Electrical Engineering (EE) since there is no reflected current in the primary of the ideal transformer.  However, with S closed there will be Practical Transformer | Basic Electrical Technology - Electrical Engineering (EE) , hence reflected currentPractical Transformer | Basic Electrical Technology - Electrical Engineering (EE)′ =Practical Transformer | Basic Electrical Technology - Electrical Engineering (EE) / a will appear in the primary of the ideal transformer.  So current drawn from the supply will be Practical Transformer | Basic Electrical Technology - Electrical Engineering (EE) =Practical Transformer | Basic Electrical Technology - Electrical Engineering (EE)+Practical Transformer | Basic Electrical Technology - Electrical Engineering (EE) ′ . 

Practical Transformer | Basic Electrical Technology - Electrical Engineering (EE)Practical Transformer | Basic Electrical Technology - Electrical Engineering (EE)

Figure 24.3:  Magnetising reactance to take Im into account. 

This model figure 24.3 correctly represents the phasor diagram of figure 24.2.  As can be seen from the phasor diagram, the input power factor angle θ1 will differ from the load power factor θ2 in fact power factor will be slightly poorer (since θ2 > θ1).

Since we already know how to draw the equivalent circuit of an ideal transformer, so same rules of transferring impedances, voltages and currents from one side to the other side can be revoked here because a portion of the model has an ideal transformer.  The equivalent circuits of the transformer having finite magnetizing current referring to primary and secondary side are shown respectively in figures 24.4(a) and (b). 

Practical Transformer | Basic Electrical Technology - Electrical Engineering (EE)

Figure 24.4:  Equivalent circuits with X

Core loss

A transformer core is subjected to an alternating time varying field causing eddy current and hysteresis losses to occur inside the core of the transformer. The sum of these two losses is known as core loss of the transformer. A detail discussion on these two losses has been given in Lesson 22.

Eddy current loss is essentially I R loss occurring inside the core. The current is caused by the induced voltage in any conceivable closed path due to time varying field. Obviously to reduce eddy current loss in a material we have to use very thin plates instead of using solid block of material which will ensure very less number of available eddy paths. Eddy current loss per unit volume of the material directly depends upon the square of the frequency, flux density and thickness of the plate. Also it is inversely proportional to the resistivity of the material. The core of the material is constructed using thin plates called lamination. Each plate is given a varnish coating for providing necessary insulation between the plates. Cold Rolled Grain Oriented, in short CRGO sheets are used to make transformer core.

After experimenting with several magnetic materials, Steinmetz proposed the following empirical formula for quick and reasonable estimation of the hysteresis loss of a given material. 

Practical Transformer | Basic Electrical Technology - Electrical Engineering (EE)

The value of n will generally lie between 1.5 to 2.5.  Also we know the area enclosed by the hysteresis loop involving B-H characteristic of the core material is a measure of hysteresis loss per cycle. 

Taking core loss into account 

The transformer core being subjected to an alternating field at supply frequency will have hysteresis and eddy losses and should be appropriately taken into account in the equivalent circuit.  The effect of core loss is manifested by heating of the core and is a real power (or energy) loss.  Naturally in the model an external resistance should be shown to take the core loss into account. We recall that in a well designed transformer, the flux density level Bmax practically remains same from no load to full load condition. Hence magnitude of the core loss will be practically independent of the degree of loading and this loss must be drawn from the supply. To take this into account, a fixed resistance Rcl is shown connected in parallel with the magnetizing reactance as shown in the figure 24.5. 

Practical Transformer | Basic Electrical Technology - Electrical Engineering (EE)Practical Transformer | Basic Electrical Technology - Electrical Engineering (EE)

Figure 24.5: Equivalent circuit showing core loss and magnetizing current. 

It is to be noted that Rcl represents the core loss (i.e., sum of hysteresis and eddy losses) and is in parallel with the magnetizing reactance Xm.  Thus the no load current drawn from the supply Io, is not magnetizing current Im alone, but the sum of Icl and Im with Practical Transformer | Basic Electrical Technology - Electrical Engineering (EE) in phase with supply voltage Practical Transformer | Basic Electrical Technology - Electrical Engineering (EE)andPractical Transformer | Basic Electrical Technology - Electrical Engineering (EE) lagging by 90º from Practical Transformer | Basic Electrical Technology - Electrical Engineering (EE) .  The phasor diagrams for no load and load operations are shown in figures 24.6 (a) and (b).

It may be noted, that no load current Io is about 2 to 5% of the rated current of a well designed transformer.  The reflected current Practical Transformer | Basic Electrical Technology - Electrical Engineering (EE)′ is obviously now to be added vectorially with Practical Transformer | Basic Electrical Technology - Electrical Engineering (EE) to get the total primary current Practical Transformer | Basic Electrical Technology - Electrical Engineering (EE) as shown in figure 24.6 (b).

Practical Transformer | Basic Electrical Technology - Electrical Engineering (EE)Practical Transformer | Basic Electrical Technology - Electrical Engineering (EE)

Figure 24.6: Phasor Diagram of a transformer having core loss and magnetising current. 

Taking winding resistances and leakage flux into account 

The assumption that all the flux produced by the primary links the secondary is far from true. In fact a small portion of the flux only links primary and completes its path mostly through air as shown in the figure 24.7. The total flux produced by the primary is the sum of the mutual and the leakage fluxes. While the mutual flux alone takes part in the energy transfer from the primary to the secondary, the effect of the leakage flux causes additional voltage drop. This drop can be represented by a small reactance drop called the leakage reactance drop. The effect of winding resistances are taken into account by way of small lumped resistances as shown in the figure 24.8.

Practical Transformer | Basic Electrical Technology - Electrical Engineering (EE)Practical Transformer | Basic Electrical Technology - Electrical Engineering (EE)

The exact equivalent circuit can now be drawn with respective to various sides taking all the realities into account. Resistance and leakage reactance drops will be present on both the sides and represented as shown in the figures 24.8 and 24.9. The drops in the leakage impedances will make the terminal voltages different from the induced voltages. 

Practical Transformer | Basic Electrical Technology - Electrical Engineering (EE)Practical Transformer | Basic Electrical Technology - Electrical Engineering (EE)

Figure 24.9:  Exact Equivalent circuit referred to primary and secondary sides.

It should be noted that the parallel impedance representing core loss and the magnetizing current is much higher than the series leakage impedance of both the sides. Also the no load current I0 is only about 3 to 5% of the rated current. While the use of exact equivalent circuit will give us exact modeling of the practical transformer, but it suffers from computational burden. The basic voltage equations in the primary and in the secondary based on the exact equivalent circuit looks like: 

Practical Transformer | Basic Electrical Technology - Electrical Engineering (EE)

It is seen that if the parallel  branch of Rcl and Xm are brought forward just right across the supply, computationally it becomes much more easier to predict the performance of the transformer sacrificing of course a little bit of accuracy which hardly matters to an engineer. It is this approximate equivalent circuit which is widely used to analyse a practical power/distribution transformer and such an equivalent circuit is shown in the figure 24.11. 

Practical Transformer | Basic Electrical Technology - Electrical Engineering (EE)

Figure 24.10:  Phasor diagram of the  transformer supplying lagging power factor load.   

Practical Transformer | Basic Electrical Technology - Electrical Engineering (EE)

Practical Transformer | Basic Electrical Technology - Electrical Engineering (EE)

   Practical Transformer | Basic Electrical Technology - Electrical Engineering (EE)

Figure 24.11:  Approximate equivalent circuit.

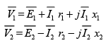
The exact phasor diagram of the transformer can now be drawn by drawing the flux phasor first and then applying the KVL equations in the primary and in the secondary. The phasor diagram of the transformer when it supplies a lagging power factor load is shown in the figure 24.10. It is clearly seen that the difference in the terminal and the induced voltage of both the sides are nothing but the leakage impedance drops of the respective sides. Also note that in the approximate equivalent circuit, the leakage impedance of a particular side is in series with the reflected leakage impedance of the other side. The sum of these leakage impedances are called equivalent leakage impedance referred to a particular side. 

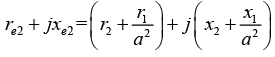
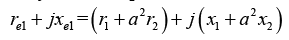
Equivalent leakage impedance referred to primary     Practical Transformer | Basic Electrical Technology - Electrical Engineering (EE)

Equivalent leakage impedance referred to secondary      Practical Transformer | Basic Electrical Technology - Electrical Engineering (EE)

                                                                      Where, a = N1/N2

A few words about equivalent circuit

Approximate equivalent circuit is widely used to predict the performance of a transformer such as estimating regulation and efficiency. Instead of using the equivalent circuit showing both the sides, it is always advantageous to use the equivalent circuit referred to a particular side and analyse it. Actual quantities of current and voltage of the other side then can be calculated by multiplying or dividing as the case may be with appropriate factors involving turns ratio a.  Transfer of parameters (impedances) and quantities (voltages and currents) from one side to the other should be done carefully.  Suppose a transformer has turns ratio a, a = N1/N2 = V1/V2 where, N1 and N2 are respectively the primary and secondary turns and V1 and V2 are respectively the primary and secondary rated voltages.  The rules for transferring parameters and quantities are summarized below.

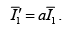
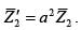
  1. Transferring impedances from secondary to the primary:  If actual impedance on the secondary side be  Practical Transformer | Basic Electrical Technology - Electrical Engineering (EE)  referred to primary side it will become  Practical Transformer | Basic Electrical Technology - Electrical Engineering (EE)
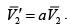
  2. Transferring impedances from primary to the secondary: If actual impedance on the primary side be Practical Transformer | Basic Electrical Technology - Electrical Engineering (EE) referred to secondary side it will become  Practical Transformer | Basic Electrical Technology - Electrical Engineering (EE)
  3. Transferring voltage from secondary to the primary: If actual voltage on the secondary side be  Practical Transformer | Basic Electrical Technology - Electrical Engineering (EE)  referred to primary side it will become  Practical Transformer | Basic Electrical Technology - Electrical Engineering (EE)
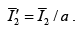
  4. Transferring current from secondary to the primary: If actual current on the secondary side be  Practical Transformer | Basic Electrical Technology - Electrical Engineering (EE)  referred to secondary side it will become  Practical Transformer | Basic Electrical Technology - Electrical Engineering (EE)
  5. Transferring current from secondary to the primary: If actual current on the secondary side be  Practical Transformer | Basic Electrical Technology - Electrical Engineering (EE) referred to primary side it will become  Practical Transformer | Basic Electrical Technology - Electrical Engineering (EE)
  6.  Transferring current from primary to the secondary: If actual current on the primary side be  Practical Transformer | Basic Electrical Technology - Electrical Engineering (EE) referred to secondary side it will become   Practical Transformer | Basic Electrical Technology - Electrical Engineering (EE)

In spite of all these, gross mistakes in calculating the transferred values can be identified by remembering the following facts. 

  1. A current referred to LV side, will be higher compared to its value referred to HV side.
  2. A voltage referred to LV side, will be lower compared to its value referred to HV side.
  3. An impedance referred to LV side, will be lower compared to its value referred to HV side. 

 

The document Practical Transformer | Basic Electrical Technology - Electrical Engineering (EE) is a part of the Electrical Engineering (EE) Course Basic Electrical Technology.
All you need of Electrical Engineering (EE) at this link: Electrical Engineering (EE)
74 docs|62 tests

FAQs on Practical Transformer - Basic Electrical Technology - Electrical Engineering (EE)

1. What is a practical transformer?
Ans. A practical transformer is an electrical device that is used to transfer electrical energy between two or more circuits through electromagnetic induction. It consists of two or more coils of wire wound around a core, which is typically made of iron or steel. The primary coil receives electrical energy and creates a magnetic field, which then induces a voltage in the secondary coil, allowing the transfer of energy.
2. How does a practical transformer work?
Ans. A practical transformer works on the principle of electromagnetic induction. When an alternating current (AC) flows through the primary coil of the transformer, it creates a changing magnetic field. This magnetic field then induces a voltage in the secondary coil, according to Faraday's law of electromagnetic induction. The induced voltage in the secondary coil can be either higher or lower than the input voltage, depending on the number of turns in each coil.
3. What are the main applications of practical transformers?
Ans. Practical transformers have numerous applications in various industries and everyday life. Some of the main applications include: - Power distribution: Transformers are used to step up or step down the voltage levels in power transmission and distribution systems. - Electrical appliances: Transformers are present in many household appliances, such as televisions, refrigerators, and computers, to provide the necessary voltage for their operation. - Industrial machinery: Transformers are used in various industrial applications, such as motor control, lighting systems, and welding equipment. - Renewable energy systems: Transformers play a crucial role in connecting renewable energy sources, like solar panels and wind turbines, to the electrical grid.
4. What are the advantages of using practical transformers?
Ans. Practical transformers offer several advantages, including: - Voltage conversion: Transformers allow for the efficient conversion of voltage levels, enabling the transmission of electricity over long distances with minimal loss. - Energy efficiency: Transformers have high efficiency, meaning they can transfer electrical energy with minimal wastage. - Isolation: Transformers provide electrical isolation between the input and output circuits, enhancing safety by preventing direct contact with high voltage. - Size and weight reduction: Transformers can be designed to have compact sizes and lightweight, making them suitable for various applications with space constraints. - Long lifespan: Well-designed transformers have a long lifespan and require minimal maintenance, ensuring reliable and continuous operation.
5. How can practical transformers be tested and maintained?
Ans. Practical transformers can be tested and maintained through various methods, including: - Routine inspections: Regular visual inspections can detect any signs of damage or overheating, ensuring early identification of potential issues. - Electrical testing: Insulation resistance tests, turns ratio tests, and winding resistance tests can be performed to assess the condition and performance of the transformer. - Oil analysis: For oil-filled transformers, regular oil analysis can help identify any contamination or degradation, allowing timely maintenance or replacement. - Thermographic imaging: Thermal imaging cameras can be used to detect any abnormal heat patterns in the transformer, indicating potential faults. - Cleaning and lubrication: Keeping the transformer clean and well-lubricated can prevent the accumulation of dust and ensure smooth operation. Note: The given article title "Practical Transformer" is insufficient to provide a specific context or content. The provided FAQs are based on general knowledge about transformers.
Related Searches

mock tests for examination

,

pdf

,

Previous Year Questions with Solutions

,

ppt

,

Practical Transformer | Basic Electrical Technology - Electrical Engineering (EE)

,

Practical Transformer | Basic Electrical Technology - Electrical Engineering (EE)

,

Free

,

Practical Transformer | Basic Electrical Technology - Electrical Engineering (EE)

,

past year papers

,

Objective type Questions

,

video lectures

,

Sample Paper

,

Important questions

,

study material

,

Exam

,

Summary

,

Semester Notes

,

MCQs

,

Extra Questions

,

Viva Questions

,

practice quizzes

,

shortcuts and tricks

;