Electrical Engineering (EE) Exam  >  Electrical Engineering (EE) Notes  >  Basic Electrical Technology  >  Solution of Current in R-L-C Series Circuits

Solution of Current in R-L-C Series Circuits | Basic Electrical Technology - Electrical Engineering (EE) PDF Download

In the last lesson, two points were described:

1. How to represent a sinusoidal (ac) quantity, i.e. voltage/current by a phasor?
2. How to perform elementary mathematical operations, like addition/ subtraction and multiplication/division, of two or more phasors, represented as complex quantity?

Some examples are also described there. In this lesson, the solution of the steady state currents in simple circuits, consisting of resistance R, inductance L and/or capacitance C connected in series, fed from single phase ac supply, is presented. Initially, only one of the elements R / L / C, is connected, and the current, both in magnitude and phase, is computed. Then, the computation of total reactance and impedance, and the current, in the circuit consisting of two components, R & L / C only in series, is discussed. The process of drawing complete phasor diagram with current(s) and voltage drops in the different components is described. Lastly, the computation of total power and also power consumed in the components, along with the concept of power factor, is explained.

Keywords: Series circuits, reactance, impedance, phase angle, power, power factor. After going through this lesson, the students will be able to answer the following questions;

1. How to compute the total reactance and impedance of the R-L-C series circuit, fed from single phase ac supply of known frequency?
2. How to compute the current and also voltage drops in the components, both in magnitude and phase, of the circuit?
3. How to draw the complete phasor diagram, showing the current and voltage drops?
4. How to compute the total power and also power consumed in the components, along with power factor?

Solution of Steady State Current in Circuits Fed from Singlephase AC Supply

Elementary Circuits

1. Purely resistive circuit (R only)

The instantaneous value of the current though the circuit (Fig. 14.1a) is given by,

Solution of Current in R-L-C Series Circuits | Basic Electrical Technology - Electrical Engineering (EE)

where, Im and Vm are the maximum values of current and voltage respectively.

Solution of Current in R-L-C Series Circuits | Basic Electrical Technology - Electrical Engineering (EE)
Solution of Current in R-L-C Series Circuits | Basic Electrical Technology - Electrical Engineering (EE)

The rms value of current is given by

Solution of Current in R-L-C Series Circuits | Basic Electrical Technology - Electrical Engineering (EE)

In phasor notation,

Solution of Current in R-L-C Series Circuits | Basic Electrical Technology - Electrical Engineering (EE)

The impedance or resistance of the circuit is obtained as,

Solution of Current in R-L-C Series Circuits | Basic Electrical Technology - Electrical Engineering (EE)

Please note that the voltage and the current are in phase Solution of Current in R-L-C Series Circuits | Basic Electrical Technology - Electrical Engineering (EE) which can be observed from phasor diagram (Fig. 14.1b) with two (voltage and current) phasors, and also from the two waveforms (Fig. 14.1c).

In ac circuit, the term, Impedance is defined as voltage/current, as is the resistance in dc circuit, following Ohm’s law. The impedance, Z is a complex quantity. It consists of real part as resistance R, and imaginary part as reactance X, which is zero, as there is no inductance/capacitance. All the components are taken as constant, having linear V-I characteristics. In the three cases being considered, including this one, the power consumed and also power factor in the circuits, are not taken up now, but will be described later in this lesson.

2. Purely inductive circuit (L only)

For the circuit (Fig. 14.2a), the current i, is obtained by the procedure described here.

Solution of Current in R-L-C Series Circuits | Basic Electrical Technology - Electrical Engineering (EE)
Solution of Current in R-L-C Series Circuits | Basic Electrical Technology - Electrical Engineering (EE)Solution of Current in R-L-C Series Circuits | Basic Electrical Technology - Electrical Engineering (EE)

Solution of Current in R-L-C Series Circuits | Basic Electrical Technology - Electrical Engineering (EE)
Solution of Current in R-L-C Series Circuits | Basic Electrical Technology - Electrical Engineering (EE)

It may be mentioned here that the current i, is the steady state solution, neglecting the constant of integration. The rms value, I is

Solution of Current in R-L-C Series Circuits | Basic Electrical Technology - Electrical Engineering (EE)

The impedance of the circuit is

Solution of Current in R-L-C Series Circuits | Basic Electrical Technology - Electrical Engineering (EE)Solution of Current in R-L-C Series Circuits | Basic Electrical Technology - Electrical Engineering (EE)
where, the inductive reactance is  Solution of Current in R-L-C Series Circuits | Basic Electrical Technology - Electrical Engineering (EE)

Note that the current lags the voltage by Solution of Current in R-L-C Series Circuits | Basic Electrical Technology - Electrical Engineering (EE) This can be observed both from phasor diagram (Fig. 14.2b), and waveforms (Fig. 14.2c). As the circuit has no resistance, but only inductive reactance  Solution of Current in R-L-C Series Circuits | Basic Electrical Technology - Electrical Engineering (EE) (positive, as per convention), the impedance Z is only in the y-axis (imaginary).

3. Purely capacitive circuit (C only)

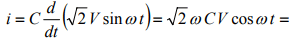
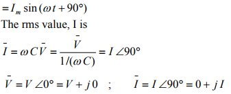
The current i, in the circuit (Fig. 14.3a), is,  Solution of Current in R-L-C Series Circuits | Basic Electrical Technology - Electrical Engineering (EE)

Solution of Current in R-L-C Series Circuits | Basic Electrical Technology - Electrical Engineering (EE)
Solution of Current in R-L-C Series Circuits | Basic Electrical Technology - Electrical Engineering (EE)Solution of Current in R-L-C Series Circuits | Basic Electrical Technology - Electrical Engineering (EE)
Solution of Current in R-L-C Series Circuits | Basic Electrical Technology - Electrical Engineering (EE)

The impedance of the circuit is

Solution of Current in R-L-C Series Circuits | Basic Electrical Technology - Electrical Engineering (EE)Solution of Current in R-L-C Series Circuits | Basic Electrical Technology - Electrical Engineering (EE)

where, the capacitive reactance is Solution of Current in R-L-C Series Circuits | Basic Electrical Technology - Electrical Engineering (EE)

Note that the current leads the voltage by φ = 90° (this value is negative, i.e. φ = -90°), as per convention being followed here. This can be observed both from phasor diagram (Fig. 14.3b), and waveforms (Fig. 14.3c). As the circuit has no resistance, but only capacitive reactance, Xc =1/ (ωC ) (negative, as per convention), the impedance Z is only in the y-axis (imaginary)

Solution of Current in R-L-C Series Circuits | Basic Electrical Technology - Electrical Engineering (EE)
 Solution of Current in R-L-C Series Circuits | Basic Electrical Technology - Electrical Engineering (EE)

Series Circuits 

1. Inductive circuit (R and L in series)

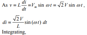
The voltage balance equation for the R-L series circuit (Fig. 14.4a) is,

Solution of Current in R-L-C Series Circuits | Basic Electrical Technology - Electrical Engineering (EE)
Solution of Current in R-L-C Series Circuits | Basic Electrical Technology - Electrical Engineering (EE)
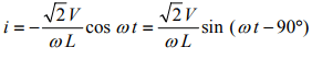
The current, i (in steady state) can be found as
Solution of Current in R-L-C Series Circuits | Basic Electrical Technology - Electrical Engineering (EE)

The current, i(t) in steady state is sinusoidal in nature (neglecting transients of the form shown in the earlier module on dc transients). This can also be observed, if one sees the expression of the current, Solution of Current in R-L-C Series Circuits | Basic Electrical Technology - Electrical Engineering (EE) for purely resistive case (with R only), and Solution of Current in R-L-C Series Circuits | Basic Electrical Technology - Electrical Engineering (EE) for purely inductive case (with L only).
Alternatively, if the expression for is substituted in the voltage equation, the equation as given here is obtained.
Solution of Current in R-L-C Series Circuits | Basic Electrical Technology - Electrical Engineering (EE)
If, first, the trigonometric forms in the RHS side is expanded in terms of sin ωt and cos ωt , and then equating the terms of sin ωt and cos ωt from two (LHS & RHS) sides, the two equations as given here are obtained.

Solution of Current in R-L-C Series Circuits | Basic Electrical Technology - Electrical Engineering (EE)Solution of Current in R-L-C Series Circuits | Basic Electrical Technology - Electrical Engineering (EE)
From these equations, the magnitude and phase angle of the current, I are derived.
From the second one, Solution of Current in R-L-C Series Circuits | Basic Electrical Technology - Electrical Engineering (EE)
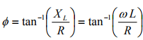
So, phase angle, Solution of Current in R-L-C Series Circuits | Basic Electrical Technology - Electrical Engineering (EE)
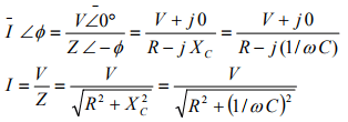
Two relations, Solution of Current in R-L-C Series Circuits | Basic Electrical Technology - Electrical Engineering (EE) are derived, with the term (impedance),  Solution of Current in R-L-C Series Circuits | Basic Electrical Technology - Electrical Engineering (EE)

If these two expressions are substituted in the first one, it can be shown that the magnitude of the current is I =  V/Z , with both V and Z in magnitude only. The steps required to find the rms value of the current I, using complex form of impedance, are given here.

Solution of Current in R-L-C Series Circuits | Basic Electrical Technology - Electrical Engineering (EE)
Solution of Current in R-L-C Series Circuits | Basic Electrical Technology - Electrical Engineering (EE)

Solution of Current in R-L-C Series Circuits | Basic Electrical Technology - Electrical Engineering (EE)

The impedance (Fig. 14.5) of the inductive (R-L) circuit is, Solution of Current in R-L-C Series Circuits | Basic Electrical Technology - Electrical Engineering (EE)

where,

Solution of Current in R-L-C Series Circuits | Basic Electrical Technology - Electrical Engineering (EE)Solution of Current in R-L-C Series Circuits | Basic Electrical Technology - Electrical Engineering (EE)

Solution of Current in R-L-C Series Circuits | Basic Electrical Technology - Electrical Engineering (EE)

Note that the current lags the voltage by the angle φ , value as given above. In this case, the voltage phasor has been taken as reference phase, with the current phasor lagging the voltage phasor by the angle, φ . But normally, in the case of the series circuit, the current phasor is taken as reference phase, with the voltage phasor leading the current phasor by φ . This can be observed both from phasor diagram (Fig. 14.4b), and waveforms (Fig. 14.4c). The inductive reactance is positive. In the phasor diagram, as one move from voltage phasor to current phasor, one has to go in the XL clockwise direction, which means that phase angle, φ is taken as positive, though both phasors are assumed to move in anticlockwise direction as shown in the previous lesson.

The complete phasor diagram is shown in Fig. 14.4b, with the voltage drops across the two components and input (supply) voltage (OA), and also current (OB ). The voltage phasor is taken as reference. It may be observed that 

Solution of Current in R-L-C Series Circuits | Basic Electrical Technology - Electrical Engineering (EE)

using the Kirchoff’s second law relating to the voltage in a closed loop. The phasor diagram can also be drawn with the current phasor as reference, as will be shown in the next lesson.

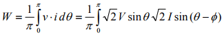
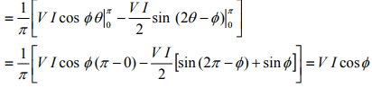
Power consumed and Power factor

From the waveform of instantaneous power (W = v.i) also shown in Fig. 14.4c for the above circuit, the average power is,

Solution of Current in R-L-C Series Circuits | Basic Electrical Technology - Electrical Engineering (EE)Solution of Current in R-L-C Series Circuits | Basic Electrical Technology - Electrical Engineering (EE)

Solution of Current in R-L-C Series Circuits | Basic Electrical Technology - Electrical Engineering (EE)

Note that power is only consumed in resistance, R only, but not in the inductance, L.

Solution of Current in R-L-C Series Circuits | Basic Electrical Technology - Electrical Engineering (EE)
Solution of Current in R-L-C Series Circuits | Basic Electrical Technology - Electrical Engineering (EE)Solution of Current in R-L-C Series Circuits | Basic Electrical Technology - Electrical Engineering (EE)

The power factor in this circuit is less than 1 (one), as ° ≤ φ ≤ 900 °, φ being positive as given above.

For the resistive (R) circuit, the power factor is 1 (one), as φ = 0°, and the average power is V I .

For the circuits with only inductance, L or capacitance, C as described earlier, the power factor is 0 (zero), as φ = ±90°. For inductance, the phase angle, or the angle of the impedance, φ = +90° (lagging), and for capacitance, φ = −90° (leading). It may be noted that in both cases, the average power is zero (0), which means that no power is consumed in the elements, L and C.

The complex power, Volt-Amperes (VA) and reactive power will be discussed after the next section.

2. Capacitive circuit (R and C in series)

This part is discussed in brief. The voltage balance equation for the R-C series circuit (Fig. 14.6a) is,

Solution of Current in R-L-C Series Circuits | Basic Electrical Technology - Electrical Engineering (EE)

The reasons for the above choice of the current, i , and the steps needed for the derivation of the above expression, have been described in detail, in the case of the earlier example of inductive (R-L) circuit. The same set of steps has to be followed to derive the current, i in this case.

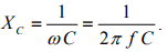
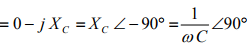
Alternatively, the steps required to find the rms value of the current I, using complex form of impedance, are given here. The impedance of the capacitive (R-C) circuit is,

Solution of Current in R-L-C Series Circuits | Basic Electrical Technology - Electrical Engineering (EE)

where,

Solution of Current in R-L-C Series Circuits | Basic Electrical Technology - Electrical Engineering (EE)
Solution of Current in R-L-C Series Circuits | Basic Electrical Technology - Electrical Engineering (EE)

Solution of Current in R-L-C Series Circuits | Basic Electrical Technology - Electrical Engineering (EE)
Solution of Current in R-L-C Series Circuits | Basic Electrical Technology - Electrical Engineering (EE)

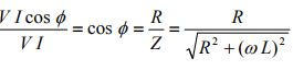
Note that the current leads the voltage by the angle φ , value as given above. In this case, the voltage phasor has been taken as reference phase, with the current phasor leading the voltage phasor by the angle, φ . But normally, in the case of the series circuit, the current phasor is taken as reference phase, with the voltage phasor lagging the current phasor by φ . This can be observed both from phasor diagram (Fig. 14.6b), and waveforms (Fig. 14.6c). The capacitive reactance Xis negative. In the phasor diagram, as one move from voltage phasor to current phasor, one has to go in the anticlockwise direction, which means that phase angle, φ is taken as negative. This is in contrast to the case as described earlier. The complete phasor diagram is shown in Fig. 14.6b, with the voltage drops across the two components and input (supply) voltage, and also current. The voltage phasor is taken as reference.

The power factor in this circuit is less than 1 (one), with φ being same as given above. The expression for the average power is P = V I cosφ , which can be obtained by the method shown above. The power is only consumed in the resistance, R, but not in the capacitance, C. One example is included after the next section.

Complex Power, Volt-Amperes (VA) and Reactive Power

The complex power is the product of the voltage and complex conjugate of the current, both in phasor form. For the inductive circuit, described earlier, the voltage  Solution of Current in R-L-C Series Circuits | Basic Electrical Technology - Electrical Engineering (EE) is taken as reference and the current Solution of Current in R-L-C Series Circuits | Basic Electrical Technology - Electrical Engineering (EE) is lagging the voltage by an angle, Solution of Current in R-L-C Series Circuits | Basic Electrical Technology - Electrical Engineering (EE) . The complex power is

Solution of Current in R-L-C Series Circuits | Basic Electrical Technology - Electrical Engineering (EE)Solution of Current in R-L-C Series Circuits | Basic Electrical Technology - Electrical Engineering (EE)

The Volt-Amperes (S), a scalar quantity, is the product of the magnitudes the voltage and the current Solution of Current in R-L-C Series Circuits | Basic Electrical Technology - Electrical Engineering (EE) It is expressed in VA.

The active power (W) is

Solution of Current in R-L-C Series Circuits | Basic Electrical Technology - Electrical Engineering (EE)Solution of Current in R-L-C Series Circuits | Basic Electrical Technology - Electrical Engineering (EE)

The reactive power (VAr) is given by Solution of Current in R-L-C Series Circuits | Basic Electrical Technology - Electrical Engineering (EE) As the phase angle, φ is taken as positive in inductive circuits, the reactive power is positive. The real part, (I cos φ) is in phase with the voltage V , whereas the imaginary part, I sin φ is in quadrature (-90°) with the voltage V . But in capacitive circuits, the current (I ∠φ) leads the voltage by an angle φ , which is taken as negative. So, it can be stated that the reactive power is negative here, which can easily be derived

Example 14.1

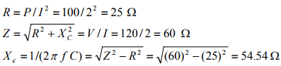
A voltage of 120 V at 50 Hz is applied to a resistance, R in series with a capacitance, C (Fig. 14.7a). The current drawn is 2 A, and the power loss in the resistance is 100 W. Calculate the resistance and the capacitance.

Solution

V = 120 V    I = 2 A       P = 100 W        f = 50 Hz

Solution of Current in R-L-C Series Circuits | Basic Electrical Technology - Electrical Engineering (EE)
Solution of Current in R-L-C Series Circuits | Basic Electrical Technology - Electrical Engineering (EE)

Solution of Current in R-L-C Series Circuits | Basic Electrical Technology - Electrical Engineering (EE)

The phasor diagram, with the current as reference, is shown in Fig. 14.7b. The examples, with lossy inductance coil (r in series with L), will be described in the next lesson. The series circuit with all elements, R. L & C, along with parallel circuits, will be taken up in the next lesson.

 

The document Solution of Current in R-L-C Series Circuits | Basic Electrical Technology - Electrical Engineering (EE) is a part of the Electrical Engineering (EE) Course Basic Electrical Technology.
All you need of Electrical Engineering (EE) at this link: Electrical Engineering (EE)
74 docs|62 tests

FAQs on Solution of Current in R-L-C Series Circuits - Basic Electrical Technology - Electrical Engineering (EE)

1. What is the formula for calculating the current in an R-L-C series circuit?
Ans. The formula for calculating the current in an R-L-C series circuit is given by the equation I(t) = (V/R) * e^(-t/(2L)) * cos(√((1/(LC)) - (R^2/(4L^2))) * t + φ), where I(t) is the current at time t, V is the applied voltage, R is the resistance, L is the inductance, C is the capacitance, and φ is the phase angle.
2. How does the resistance affect the current in an R-L-C series circuit?
Ans. The resistance in an R-L-C series circuit affects the amplitude of the current. A higher resistance value reduces the amplitude of the current, while a lower resistance value increases the amplitude. However, the resistance does not affect the frequency or phase angle of the current.
3. What happens to the current in an R-L-C series circuit when the inductance increases?
Ans. When the inductance in an R-L-C series circuit increases, the current at any given time t decreases. This is because an increase in inductance leads to a slower change in current over time, resulting in a smaller amplitude of the current.
4. How does the capacitance affect the current in an R-L-C series circuit?
Ans. The capacitance in an R-L-C series circuit affects the frequency of the current. A higher capacitance value leads to a lower frequency, while a lower capacitance value leads to a higher frequency. However, the capacitance does not affect the amplitude or phase angle of the current.
5. Can the current in an R-L-C series circuit exceed the applied voltage?
Ans. No, the current in an R-L-C series circuit cannot exceed the applied voltage. The maximum value of the current is determined by the amplitude of the applied voltage and the impedance of the circuit. If the impedance is purely resistive, the current will be in phase with the voltage and will have the same amplitude.
Related Searches

Objective type Questions

,

video lectures

,

Solution of Current in R-L-C Series Circuits | Basic Electrical Technology - Electrical Engineering (EE)

,

practice quizzes

,

Sample Paper

,

Exam

,

Semester Notes

,

Solution of Current in R-L-C Series Circuits | Basic Electrical Technology - Electrical Engineering (EE)

,

Solution of Current in R-L-C Series Circuits | Basic Electrical Technology - Electrical Engineering (EE)

,

Viva Questions

,

Summary

,

ppt

,

Important questions

,

shortcuts and tricks

,

Extra Questions

,

Previous Year Questions with Solutions

,

mock tests for examination

,

Free

,

pdf

,

past year papers

,

study material

,

MCQs

;