Dielectrics | Electromagnetic Fields Theory (EMFT) - Electrical Engineering (EE) PDF Download

What are dielectrics?

So far we have been discussing electrostatics in either vacuum or in a conductor. Conductors, as we know are substances which have free electrons, which would move around the material if we applied electric field. Under equilibrium conditions, the electric field inside is zero and free charges, if they exist, can only exist on the surface of the conductor. This, of course, is not true if we connect a piece of conductor across the terminals of a battery, which is not an equilibrium situation.

We have seen that in vacuum, in absence of charges Laplace’s equation is satisfied and in the preceding lectures we have discussed several techniques for solving the Laplace’s equation.

In this lecture we discuss a different class of material which go by the name of “insulators” or “dielectrics”. The primary difference between a conductor and a dielectric is that in the latter the electric charges (primarily the valence electrons) which could be free in conductors are tightly bound to the parent atoms or molecules. As a result when a dielectric is subjected to an electric field, the electrons do not wander around but respond to such a field in a different way. The response of dielectrics to an applied electric field are of two different kinds. In what are known as “polar molecules”, even in the absence of an electric field the charge centres for positive and negative charges do not coincide. This results in the molecules developing a permanent dipole moment. In “non-polar molecules”, in the absence of an electric field, the positive and the negative charge centres coincide and there is no dipole moment. However, when an electric field is applied, there is a charge separation and a dipole moment is induced. The induced dipole moment vanishes once the electric field is withdrawn.

As a result of the above, a dielectric is capable of producing an electric field both inside and outside the material, though the matter as a whole is electrically neutral. In this lecture we will consider the effect of such charge separation in a material on the electrostatic field and also discuss how it modifies the Maxwell’s equations that we have obtained so far.

Consider a material which consists of spherically symmetric atoms and molecules. The charge distribution inside an atom or a molecule consists of positively charged nuclei and a negatively charged electron cloud charge centres of which coincide. Recall that we had defined a dipole as an entity which has equal positive and negative charge separated by a distance. The dipole moment of an individual dipole was defined as a vector which has a magnitude equal to the product of the magnitude of either charge and the distance between them and which has a direction from the negative charge towards the positive charge. This means the individual atom or the molecule do not have a dipole moment and the net dipole moment of the dielectric, which is defined as the vector sum of the dipole moments of the constituents atoms and molecules is zero. This is of course true excepting when one looks at submicroscopic level.

Dielectrics | Electromagnetic Fields Theory (EMFT) - Electrical Engineering (EE)Dielectrics | Electromagnetic Fields Theory (EMFT) - Electrical Engineering (EE)

In bulk material, even when the material has a permanent dipole moment, the molecules are randomly oriented and the bulk dipole moment vanishes. It is only when an electric field is applied the molecules align in the direction of the electric field, either partially or fully depending on the strength of the electric field and the material develops a dipole moment.

Dielectrics | Electromagnetic Fields Theory (EMFT) - Electrical Engineering (EE)

Dielectrics | Electromagnetic Fields Theory (EMFT) - Electrical Engineering (EE)

Before calculating the potential due to a piece of dielectric, let us look at how one mathematically handles the inverse of the distance between a point in a charge distribution and the point when the potential is to be calculated. Consider an arbitrary origin with respect to which a point inside a charge distribution is at a position  Dielectrics | Electromagnetic Fields Theory (EMFT) - Electrical Engineering (EE)  the point P at which the potential is to be calculated is at Dielectrics | Electromagnetic Fields Theory (EMFT) - Electrical Engineering (EE)

Dielectrics | Electromagnetic Fields Theory (EMFT) - Electrical Engineering (EE)

Let the angle between  Dielectrics | Electromagnetic Fields Theory (EMFT) - Electrical Engineering (EE) Let us assume Dielectrics | Electromagnetic Fields Theory (EMFT) - Electrical Engineering (EE) We expand the distance between the two points in terms of inverse powers of r in a binomial series and in the coefficient of a given power of 1/r we write the angle term in terms of powers of the cosine function.

Dielectrics | Electromagnetic Fields Theory (EMFT) - Electrical Engineering (EE)
Dielectrics | Electromagnetic Fields Theory (EMFT) - Electrical Engineering (EE)
Dielectrics | Electromagnetic Fields Theory (EMFT) - Electrical Engineering (EE)

We will simplify this last expression by making some observation about its structure. Now, cos θ can be written as

Dielectrics | Electromagnetic Fields Theory (EMFT) - Electrical Engineering (EE)

We will express the dot product in terms of components of the two vectors,

Dielectrics | Electromagnetic Fields Theory (EMFT) - Electrical Engineering (EE)

Here we have introduced the notation in which x, y and z are respectively denoted by x1,x2 and x3 respectively. Putting r’=r we write the square of the distance r as,

Dielectrics | Electromagnetic Fields Theory (EMFT) - Electrical Engineering (EE)
where δi,j is the Kronecker delta function which has the value 1 if i=j and is zero otherwise.

Multipole Expansion of Coulomb Potential

We start with the general expression for the potential due to a continuous charge distribution and insert into it the expansion obtained above,

Dielectrics | Electromagnetic Fields Theory (EMFT) - Electrical Engineering (EE)
Dielectrics | Electromagnetic Fields Theory (EMFT) - Electrical Engineering (EE)
Dielectrics | Electromagnetic Fields Theory (EMFT) - Electrical Engineering (EE)

The omitted terms are of higher order in inverse distance r. Let us examine the individual terms written above.

The first term just has an integral of the charge density over the entire volume which is simply the total charge Q in the distribution. The contribution to the potential by this term is

Dielectrics | Electromagnetic Fields Theory (EMFT) - Electrical Engineering (EE)

This is just the potential due to a point charge at a distance r. This is the term which dominates when the distances are very large so that even the second and the third terms of the above expression can be neglected. It may be observed that at such large distances, the charge distribution looks like a point as viewed from P. This term vanishes if the material does not have a net charge.

The second term has an integral where the integrand is charge density multiplied with the vector distance. This term has the dimension of a dipole moment and we define the dipole moment of a charge distribution by the relation,

Dielectrics | Electromagnetic Fields Theory (EMFT) - Electrical Engineering (EE)

The second term then gives,

Dielectrics | Electromagnetic Fields Theory (EMFT) - Electrical Engineering (EE)

This is identical to the expression for the potential due to a point dipole at the origin, except that instead of the dipole moment of a point dipole, we have the dipole moment of the charge distribution. This terms dominates for the case of a charge neutral dielectric.

We will make some brief comments about the third term. It has the dimension of charge multiplied by square of distance and is known as a “quadrupole” term. The simplest quadrupole is four charges of identical magnitude but a pair having opposite sign to the other pair arranged at the four corners of a square. There are other ways of arranging them. The term is quite messy and we will worry about it later. The next higher order is known as an octupole term etc.

What makes the expression for the potential messy is that in the original form for the coulomb potential due to a continuous charge distribution, the coordinate of the point of observation r is not decoupled from the integration variable r’ and as a result one has to perform a separate integration at each point where one desires to calculate the potential.

Recall that while expanding Dielectrics | Electromagnetic Fields Theory (EMFT) - Electrical Engineering (EE) we had used the angle Dielectrics | Electromagnetic Fields Theory (EMFT) - Electrical Engineering (EE) Instead, if we used the coordinates of the positions Dielectrics | Electromagnetic Fields Theory (EMFT) - Electrical Engineering (EE) we can expand Dielectrics | Electromagnetic Fields Theory (EMFT) - Electrical Engineering (EE) in terms of “spherical harmonics” which we had occasion to deal with earlier. Assuming that Dielectrics | Electromagnetic Fields Theory (EMFT) - Electrical Engineering (EE) the expansion is given by,

Dielectrics | Electromagnetic Fields Theory (EMFT) - Electrical Engineering (EE)

Using this the expression for the potential due to the charge distribution is written as

Dielectrics | Electromagnetic Fields Theory (EMFT) - Electrical Engineering (EE)

Note that in this expression the integration variable is completely decoupled from the position vector of the point where the potential is being calculated. This, in turn, means that the integral is to be calculated only once and the result of integration can be used for evaluating the potential at all points in the field. This is known as the multiplole expansion of the potential. We define Multipole moments by the relation

Dielectrics | Electromagnetic Fields Theory (EMFT) - Electrical Engineering (EE)

where l can take any non-negative integral value and corresponding to a given l, m takes values from - l to + l in steps of 1. Let us examine a few lower order multipoles. In terms of these moments, we have,

Dielectrics | Electromagnetic Fields Theory (EMFT) - Electrical Engineering (EE)

We had seen earlier that the some of the spherical harmonics are given by 

Dielectrics | Electromagnetic Fields Theory (EMFT) - Electrical Engineering (EE)
Dielectrics | Electromagnetic Fields Theory (EMFT) - Electrical Engineering (EE)Dielectrics | Electromagnetic Fields Theory (EMFT) - Electrical Engineering (EE)
Dielectrics | Electromagnetic Fields Theory (EMFT) - Electrical Engineering (EE)Dielectrics | Electromagnetic Fields Theory (EMFT) - Electrical Engineering (EE)

Using these, we have

The monopole moment,

Dielectrics | Electromagnetic Fields Theory (EMFT) - Electrical Engineering (EE)

which is just the total charge excepting for a constant factor. The next moments are

Dielectrics | Electromagnetic Fields Theory (EMFT) - Electrical Engineering (EE)

Realising that we have the following expressions for Cartesian coordinates

Dielectrics | Electromagnetic Fields Theory (EMFT) - Electrical Engineering (EE)

we can write the above as

Dielectrics | Electromagnetic Fields Theory (EMFT) - Electrical Engineering (EE)

You can calculate the other two terms corresponding to l = d and show that 

Dielectrics | Electromagnetic Fields Theory (EMFT) - Electrical Engineering (EE)
The next terms are components of quadrupole moment tensor.

Because of charge separation, if we look at a small volume element in a dielectric, it can have a dipole moment and as a result a macroscopic body can have a net dipole moment. We define polarization vector of a macroscopic body as the net dipole moment per unit volume,

Dielectrics | Electromagnetic Fields Theory (EMFT) - Electrical Engineering (EE)

If the body is charge neutral, from the expression for potential due to a point dipole at the origin (i.e. Dielectrics | Electromagnetic Fields Theory (EMFT) - Electrical Engineering (EE) we can write the following expression for the case of a continuous charge distribution, 

Dielectrics | Electromagnetic Fields Theory (EMFT) - Electrical Engineering (EE)

We will now simplify this expression using some vector calculus. First we observe that

Dielectrics | Electromagnetic Fields Theory (EMFT) - Electrical Engineering (EE)

using which we can write,

Dielectrics | Electromagnetic Fields Theory (EMFT) - Electrical Engineering (EE)

the negative sign is removed because the gradient is taken with respect to the primed coordinate. We know that the divergence of a scalar times a vector is given by the following relation

Dielectrics | Electromagnetic Fields Theory (EMFT) - Electrical Engineering (EE)

Using this we rewrite the expression for the potential as sum of two terms,

Dielectrics | Electromagnetic Fields Theory (EMFT) - Electrical Engineering (EE)

Using the divergence theorem we can convert the first term into a surface integral and we get

Dielectrics | Electromagnetic Fields Theory (EMFT) - Electrical Engineering (EE)Dielectrics | Electromagnetic Fields Theory (EMFT) - Electrical Engineering (EE)
Dielectrics | Electromagnetic Fields Theory (EMFT) - Electrical Engineering (EE)

where we have defined the “bound” surface charge density and the “bound” volume charge densities by the following relations,

Dielectrics | Electromagnetic Fields Theory (EMFT) - Electrical Engineering (EE)

Thus the effect of the dielectric is to replace the original problem with an effective surface and a volume charge densities. These being bound to the atoms and molecules in the material are known as “bound” as opposed to free charges. The charges in a body could consist of both free charges and bound charges. The electric field is the field that a test charge experiences. This consists of contribution due to both types of charges. Thus the Maxwell’s equation for the electric field,

Dielectrics | Electromagnetic Fields Theory (EMFT) - Electrical Engineering (EE)

One defines a “displacement vector” Dielectrics | Electromagnetic Fields Theory (EMFT) - Electrical Engineering (EE) the relation,

Dielectrics | Electromagnetic Fields Theory (EMFT) - Electrical Engineering (EE)

It is easily seen that Dielectrics | Electromagnetic Fields Theory (EMFT) - Electrical Engineering (EE)satisfies

Dielectrics | Electromagnetic Fields Theory (EMFT) - Electrical Engineering (EE)

Note that  Dielectrics | Electromagnetic Fields Theory (EMFT) - Electrical Engineering (EE) is a vector which we made up which artificially tries to separate the effect of the bound charges from the problem and gives the effect due to free charge. In practice it is not possible to do so and the electric field Dielectrics | Electromagnetic Fields Theory (EMFT) - Electrical Engineering (EE) is the one that we can really measure. Nevertheless introduction of Dielectrics | Electromagnetic Fields Theory (EMFT) - Electrical Engineering (EE) leads to some mathematical simplification. It may be noted that Dielectrics | Electromagnetic Fields Theory (EMFT) - Electrical Engineering (EE)does not have the same dimension as that of Dielectrics | Electromagnetic Fields Theory (EMFT) - Electrical Engineering (EE)

The bound volume charge is given by the divergence of the polarization vector. One can visualize this by looking at the way the dipoles are arranged when an electric field is applied. It can be seen that the central region tends to get negative charges which become a source.

Dielectrics | Electromagnetic Fields Theory (EMFT) - Electrical Engineering (EE)

Similarly, the charges inside the material, other than in the central region compensate , leaving net charges on the surface which is the origin of the surface charge density.

Dielectrics | Electromagnetic Fields Theory (EMFT) - Electrical Engineering (EE)

Tutorial Assignment

1. The charge distribution inside a sphere of radius R is given by the expression  Dielectrics | Electromagnetic Fields Theory (EMFT) - Electrical Engineering (EE)Dielectrics | Electromagnetic Fields Theory (EMFT) - Electrical Engineering (EE) Find an approximate expression for the potential along the z axis far away from the sphere by retaining the first non-vanishing term in a multipole expansion.

2. A ring of radius R has a uniform, linear charge density λ. Calculate the potential at large distances by retaining up to the quadrupole term in a multipole expansion of the potential.

Solutions to Tutorial assignment

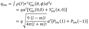
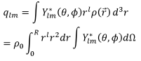
1. Multipole moments are given by

Dielectrics | Electromagnetic Fields Theory (EMFT) - Electrical Engineering (EE)

Let us calculate the total charge

Dielectrics | Electromagnetic Fields Theory (EMFT) - Electrical Engineering (EE)

We next calculate the dipole term

Dielectrics | Electromagnetic Fields Theory (EMFT) - Electrical Engineering (EE)
Since Dielectrics | Electromagnetic Fields Theory (EMFT) - Electrical Engineering (EE) the integration over  Dielectrics | Electromagnetic Fields Theory (EMFT) - Electrical Engineering (EE) vanishes for m=1, leaving us with

Dielectrics | Electromagnetic Fields Theory (EMFT) - Electrical Engineering (EE)

Because the angle integral vanishes. Let us calculate the quadrupole term:

Dielectrics | Electromagnetic Fields Theory (EMFT) - Electrical Engineering (EE)

The integral ove  Dielectrics | Electromagnetic Fields Theory (EMFT) - Electrical Engineering (EE) vanishes for m ≠ 0

Dielectrics | Electromagnetic Fields Theory (EMFT) - Electrical Engineering (EE)
Dielectrics | Electromagnetic Fields Theory (EMFT) - Electrical Engineering (EE)

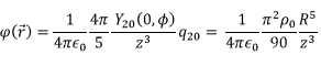
The general expression for potential is

Dielectrics | Electromagnetic Fields Theory (EMFT) - Electrical Engineering (EE)

Retaining only the leading term l = 2, m = 0, along the z axis, θ = 0

 Dielectrics | Electromagnetic Fields Theory (EMFT) - Electrical Engineering (EE)

2. The linear charge density can be written as a volume charge density by the following expression 

Dielectrics | Electromagnetic Fields Theory (EMFT) - Electrical Engineering (EE)

It is straightforward to show that the volume integral of this expression gives the total charge Q = 2πR.

The multipole moments are given by

Dielectrics | Electromagnetic Fields Theory (EMFT) - Electrical Engineering (EE)

Forc m ≠ 0, the spherical harmonics have  Dielectrics | Electromagnetic Fields Theory (EMFT) - Electrical Engineering (EE) as a factor, which on integration, would give zero. Thus only m=0 terms survive, a fact also obvious from the azimuthal symmetry of the problem. The monopole term is equal to the total charge, except for a multiplying factor of  Dielectrics | Electromagnetic Fields Theory (EMFT) - Electrical Engineering (EE) The dipole term vanishes because Y10 ∝ cos θ  which makes the integral over θ vanish because of the delta function. The quadrupole term,

Dielectrics | Electromagnetic Fields Theory (EMFT) - Electrical Engineering (EE)
Dielectrics | Electromagnetic Fields Theory (EMFT) - Electrical Engineering (EE)
Dielectrics | Electromagnetic Fields Theory (EMFT) - Electrical Engineering (EE)

Thus

Dielectrics | Electromagnetic Fields Theory (EMFT) - Electrical Engineering (EE)
Dielectrics | Electromagnetic Fields Theory (EMFT) - Electrical Engineering (EE)

Self Assessment Quiz

1. Show that for a uniformly charged sphere, all multipole moments other than q00 vanishes.

2. In the multipole expansion of Coulomb potential, there are three dipole terms corresponding to Dielectrics | Electromagnetic Fields Theory (EMFT) - Electrical Engineering (EE) Add these three terms to explicitly show that the expression for the potential is given by  Dielectrics | Electromagnetic Fields Theory (EMFT) - Electrical Engineering (EE)

3. A charge distribution is given by

Dielectrics | Electromagnetic Fields Theory (EMFT) - Electrical Engineering (EE)

Expand the potential due to this charge density in a multipole expansion and obtain its leading term for large distances.

Solutions to Self Assessment Quiz

1. This is shown by orthogonality of spherical harmonics,

Dielectrics | Electromagnetic Fields Theory (EMFT) - Electrical Engineering (EE)
Dielectrics | Electromagnetic Fields Theory (EMFT) - Electrical Engineering (EE)

2. Since we are only interested in the dipole term, the general expression for the potential for this term is

Dielectrics | Electromagnetic Fields Theory (EMFT) - Electrical Engineering (EE)

We can calculate the three dipole moments as follows:

Dielectrics | Electromagnetic Fields Theory (EMFT) - Electrical Engineering (EE)

Dielectrics | Electromagnetic Fields Theory (EMFT) - Electrical Engineering (EE)
Dielectrics | Electromagnetic Fields Theory (EMFT) - Electrical Engineering (EE)

q1,-1 is similarly calculated and gives,

Dielectrics | Electromagnetic Fields Theory (EMFT) - Electrical Engineering (EE)

We now calculate q1,0

Dielectrics | Electromagnetic Fields Theory (EMFT) - Electrical Engineering (EE)

Substituting these into the expression for the potential we get

Dielectrics | Electromagnetic Fields Theory (EMFT) - Electrical Engineering (EE)
Dielectrics | Electromagnetic Fields Theory (EMFT) - Electrical Engineering (EE)Dielectrics | Electromagnetic Fields Theory (EMFT) - Electrical Engineering (EE)
Dielectrics | Electromagnetic Fields Theory (EMFT) - Electrical Engineering (EE)

Dielectrics | Electromagnetic Fields Theory (EMFT) - Electrical Engineering (EE)

3. We can write  Dielectrics | Electromagnetic Fields Theory (EMFT) - Electrical Engineering (EE) The multipole moments are then given by

Dielectrics | Electromagnetic Fields Theory (EMFT) - Electrical Engineering (EE)

The integral over r gives (l + 2)!. By orthogonality of the spherical harmonics, only non zero moments are for l = 0,2. We have,

Dielectrics | Electromagnetic Fields Theory (EMFT) - Electrical Engineering (EE)

Thus, the potential is given by

Dielectrics | Electromagnetic Fields Theory (EMFT) - Electrical Engineering (EE)

In the previous lecture we obtained a multipole expansion of the potential due to a continuous charge distribution. We discussed in some detail, the dipole part of this expansion and will be doing so in further detail later in this lecture. Let us make some comments on the quadrupoleterm.

The most elementary quadrupole consists of two dipoles oriented anti-parallel. A linear dipole is one where the four charges are lined up with the two dipoles being end to end but directed oppositely, so that there is a charge 2q at the centre and –q each at the ends.

Dielectrics | Electromagnetic Fields Theory (EMFT) - Electrical Engineering (EE)Dielectrics | Electromagnetic Fields Theory (EMFT) - Electrical Engineering (EE)

Recall that the expression for the quadrupole contribution to the potential is given by

Dielectrics | Electromagnetic Fields Theory (EMFT) - Electrical Engineering (EE)Dielectrics | Electromagnetic Fields Theory (EMFT) - Electrical Engineering (EE)
where the quadrupole moment tensor is given by

Dielectrics | Electromagnetic Fields Theory (EMFT) - Electrical Engineering (EE)

Note that since I and j take three values each, the quadrupole moment is a tensor of rank two with 9 components. A few properties of quadrupoleare :

1. The tensor is traceless. (Recall that the trace of a matrix is sum of its diagonal components. This can be easily proved by taking i=j and summing over i.

2. At large distances quadrupolefield decreases as inverse fourth power of the distance from the source. (This is easily proved by inspection as the potential goes as inverse cube of distance).

We now return back to the dipole term which is the most important term for the case of a neutral dielectric. Observe that the dipole moment defined by  Dielectrics | Electromagnetic Fields Theory (EMFT) - Electrical Engineering (EE) depends, in general, on our choice of origin, for, if we let Dielectrics | Electromagnetic Fields Theory (EMFT) - Electrical Engineering (EE) we would have

Dielectrics | Electromagnetic Fields Theory (EMFT) - Electrical Engineering (EE)

Thus only for the case of the dielectric not having a net charge will it be independent of the choice of origin.

We had seen that the potential due to the dipole contribution to the charge distribution is the one that we would obtain if we have a volume charge density and a surface charge density,

Dielectrics | Electromagnetic Fields Theory (EMFT) - Electrical Engineering (EE)Dielectrics | Electromagnetic Fields Theory (EMFT) - Electrical Engineering (EE)

where the charge densities are related to the polarization vector by

Dielectrics | Electromagnetic Fields Theory (EMFT) - Electrical Engineering (EE)

It may be emphasized that the bound charges, whether in volume or on the surface, are not fictitious charges; they are very real and their only difference with the free charges which we have in conductors is that they are bound to their parent atoms or molecules.

The “displacement vector”Dielectrics | Electromagnetic Fields Theory (EMFT) - Electrical Engineering (EE) is an auxiliary field defined by

Dielectrics | Electromagnetic Fields Theory (EMFT) - Electrical Engineering (EE)

Using the relationship of the polarization vector with the bound charge densities, we get,

Dielectrics | Electromagnetic Fields Theory (EMFT) - Electrical Engineering (EE)

Thus the field Dielectrics | Electromagnetic Fields Theory (EMFT) - Electrical Engineering (EE)is given by mentally isolating the bound charges from free charges. There is really no physical way of doing it but defining such a displacement vector leads to substantial simplification.

We can easily derive the integral form of the equation satisfied by Dielectrics | Electromagnetic Fields Theory (EMFT) - Electrical Engineering (EE),

Dielectrics | Electromagnetic Fields Theory (EMFT) - Electrical Engineering (EE)

Dielectrics | Electromagnetic Fields Theory (EMFT) - Electrical Engineering (EE)

where Qf is the total free charges in the sample.

Boundary Conditions on the surface of a dielectric

We recall that in deriving the boundary condition On the surface of a conductor, we had taken a Gaussian Pillbox of infinitesimal height, half inside the conductor And half outside. The field inside the conductor being zero, the contribution to the flux came only from the top face of the pillbox, since the thickness of the pillbox being negligible the curved surface did not contribute. In the present case, there is a difference because the field inside is not zero. Further, one has to remember that at the interface, the normal is outward for the outside face and inward for the inside face.

Dielectrics | Electromagnetic Fields Theory (EMFT) - Electrical Engineering (EE)

Let us assume that there no free charges on the surface.

The volume integral of the electric field over the pillbox is given by

Dielectrics | Electromagnetic Fields Theory (EMFT) - Electrical Engineering (EE)

Using the divergence theorem on both sides,

Dielectrics | Electromagnetic Fields Theory (EMFT) - Electrical Engineering (EE)

The contribution to the surface integral on both sides, as mentioned before, are from the surfaces only with the directions of the normal being opposite,

Dielectrics | Electromagnetic Fields Theory (EMFT) - Electrical Engineering (EE)

Where we have taken the direction of normal in this equation as going away from the surface (i.e. outward). Thus we have,

Dielectrics | Electromagnetic Fields Theory (EMFT) - Electrical Engineering (EE)

This is precisely the relationship that we had earlier for the boundary condition for a conductor except that the surface charge density was due to the free charges. Adding the free charge density, the discontinuity in the normal component of the electric field is given by

Dielectrics | Electromagnetic Fields Theory (EMFT) - Electrical Engineering (EE)

We can obtain the discontinuity in the normal component of the displacement vector from

Dielectrics | Electromagnetic Fields Theory (EMFT) - Electrical Engineering (EE)

We have,

Dielectrics | Electromagnetic Fields Theory (EMFT) - Electrical Engineering (EE)

the reason for the minus sign is that outside the material σb = 0.

Thus

Dielectrics | Electromagnetic Fields Theory (EMFT) - Electrical Engineering (EE)

Thus, if there are no free surface charges we have the normal component of  Dielectrics | Electromagnetic Fields Theory (EMFT) - Electrical Engineering (EE) to be continuous,

D1n = D2n 

The tangential components can be shown to be continuous by use of Stoke’s theorem. We take a rectangular contour across the surface.

E1t = E2t

In the above, the outside medium is denoted as 1 and the inside by 2.

We define a linear dielectric as one where the polarization at a point in the dielectric is proportional to the electric field at the point.

Dielectrics | Electromagnetic Fields Theory (EMFT) - Electrical Engineering (EE)

The quantity Xe is known as the electric susceptibility. Using the relation between the displacement vector and the electric field vector, we have,

Dielectrics | Electromagnetic Fields Theory (EMFT) - Electrical Engineering (EE)

The constant k = (1 + Xe) is known as the dielectric constant of the medium and ∈ = ∈0k is known as the permittivity of the medium.

Example 1 : Image Problem with Dielectric

Consider a point charge in a semi-infinite dielectric medium with permittivity ∈1 occupying the space z > 0, the remaining half space z > 0 has a permittivity ∈2. Depending on the problem either of the media could be vacuum with permittivity ∈0.

Dielectrics | Electromagnetic Fields Theory (EMFT) - Electrical Engineering (EE)Dielectrics | Electromagnetic Fields Theory (EMFT) - Electrical Engineering (EE)

The interface is the z=0 plane and has no free charges on it. Based on our experience of solving similar problem using images, we will attempt to write down an expression for the potential at the point P. Since there are no free charges on the surface Dn = Dz is continuous across the surface. Thus

Dielectrics | Electromagnetic Fields Theory (EMFT) - Electrical Engineering (EE)

In addition, of course, the tangential component of Dielectrics | Electromagnetic Fields Theory (EMFT) - Electrical Engineering (EE) continuous. Since the surface is in the x-y plane, we have

Dielectrics | Electromagnetic Fields Theory (EMFT) - Electrical Engineering (EE)

In solving this problem, we fall back on the uniqueness theorem and attempt to solve the problem by intuitive method.

Assume that in the medium 1,i.e., in the region z>0, the solution is the same as one would obtain by filling up the entire space by a dielectric of permittivity1 and put an image charge q’  at z = -d. The potential at a point P (the entire space is now a uniform medium) is given by

Dielectrics | Electromagnetic Fields Theory (EMFT) - Electrical Engineering (EE)

Where we have used polar coordinates for the x-y plane, p2 = x2 + y2.
Dielectrics | Electromagnetic Fields Theory (EMFT) - Electrical Engineering (EE)

For the potential in medium 2, we assume that the solution would be the same as one would obtain by filling up the entire space by a dielectric of permittivit2 and put an image charge at the location of the charge q, i.e. at z = d. We denote the sum of the original charge plus its image by q". Thus the potential at the point P is due to a single charge  q" and is given by

Dielectrics | Electromagnetic Fields Theory (EMFT) - Electrical Engineering (EE)

Using the continuity of the normal component of the displacement vector,

Dielectrics | Electromagnetic Fields Theory (EMFT) - Electrical Engineering (EE)

(Remember that the direction of the outward normal at the interface was taken as uniquely defined). We have

Dielectrics | Electromagnetic Fields Theory (EMFT) - Electrical Engineering (EE)
Dielectrics | Electromagnetic Fields Theory (EMFT) - Electrical Engineering (EE)

Thus we get,

Dielectrics | Electromagnetic Fields Theory (EMFT) - Electrical Engineering (EE)

The tangential component of the electric field is obtained by differentiating the expressions for the potential with respect to x or y,

Dielectrics | Electromagnetic Fields Theory (EMFT) - Electrical Engineering (EE)
Dielectrics | Electromagnetic Fields Theory (EMFT) - Electrical Engineering (EE)

So that we have,

Dielectrics | Electromagnetic Fields Theory (EMFT) - Electrical Engineering (EE)

From (1) and (2), we obtain,

Dielectrics | Electromagnetic Fields Theory (EMFT) - Electrical Engineering (EE)

In both media Laplace’s equation and the boundary conditions are satisfied and the solution is unique.

Tutorial Assignment

1. Find the first few multipole moments of a linear quadrupole aligned along the z direction.

2. Consider a quadrupole in the xy plane as shown. Determine the components of the quadrupole moment tensor in Cartesian coordinates.

Dielectrics | Electromagnetic Fields Theory (EMFT) - Electrical Engineering (EE)

3. Two dielectrics having permittivity ∈1 and ∈2 have an interface which has no free charges. The electric field  Dielectrics | Electromagnetic Fields Theory (EMFT) - Electrical Engineering (EE) in medium 1 makes an angle θ1 with the interface while  Dielectrics | Electromagnetic Fields Theory (EMFT) - Electrical Engineering (EE) the field in medium 2 make an angle θ2. Find the relationship between the two angles.

Solutions to Tutorial assignment

1. In spherical polar coordinates, the charges +q are at (a,0,0) and (a,π,0). The charge densities of the distribution of charges is

Dielectrics | Electromagnetic Fields Theory (EMFT) - Electrical Engineering (EE)Dielectrics | Electromagnetic Fields Theory (EMFT) - Electrical Engineering (EE)

The multipole moment of this charge distribution is (for l > 0,)

Dielectrics | Electromagnetic Fields Theory (EMFT) - Electrical Engineering (EE)
Dielectrics | Electromagnetic Fields Theory (EMFT) - Electrical Engineering (EE)

The multipole moment vanishes for all odd l. For even l,

Dielectrics | Electromagnetic Fields Theory (EMFT) - Electrical Engineering (EE)

Further, plm (1) = 0 except for m=0. Thus

Dielectrics | Electromagnetic Fields Theory (EMFT) - Electrical Engineering (EE)

Dielectrics | Electromagnetic Fields Theory (EMFT) - Electrical Engineering (EE)

(The above formula is valid for even values of l > 0, for l = 0, q00 = 0 because the total charge of the quadrupole is zero)

2. The charge density can be written in terms of delta functions

Dielectrics | Electromagnetic Fields Theory (EMFT) - Electrical Engineering (EE)
Dielectrics | Electromagnetic Fields Theory (EMFT) - Electrical Engineering (EE)

All other components are zero because the quadrupole is in the xy plane.

3. At the interface between two dielectrics, the tangential component of  Dielectrics | Electromagnetic Fields Theory (EMFT) - Electrical Engineering (EE) continuous

E1 cos θ1 = E2 cos θ2 

In the absence of free surface charge at the interface the normal component of Dielectrics | Electromagnetic Fields Theory (EMFT) - Electrical Engineering (EE) is continuous,

Dielectrics | Electromagnetic Fields Theory (EMFT) - Electrical Engineering (EE)

Thus, ∈1 tan θ1 = ∈2 tan θ2.

Self Assessment Quiz

1. Find the first few multipole moments of a linear quadrupole aligned along the x direction and also when it is aligned along y direction.

2. Three linear quadrupoles are arranged along the x, y and z axes with the central charge of each being at the origin and the other two charges at a distance a each from the origin. Show that the quadrupole moment of this superposition of the quadrupoles is zero. What is the lowest non-vanishing multipole of this configuration?

3. A rectangular parallelepiped having dimension Dielectrics | Electromagnetic Fields Theory (EMFT) - Electrical Engineering (EE) is filled with a dielectric in which the polarization is given by Dielectrics | Electromagnetic Fields Theory (EMFT) - Electrical Engineering (EE) is the position vector of a point in the dielectric with respect to the centre of the parallelepiped. Find the bound charge densities in the dielectric and show that the total bound charge is zero.

4. A line charge with a linear charge density λ is in the vacuum, at a distance d from the surface of a semi-infinite dielectric of permittivity ∈. Obtain the image charge that must be put at a distance d inside the dielectric to simulate the charge density at the boundary when the entire space has permittivity ∈0.

5. At the interface between two dielectrics with relative permittivity 2 and 3, there is a free charge density  Dielectrics | Electromagnetic Fields Theory (EMFT) - Electrical Engineering (EE) The electric field strength in the first medium has a magnitude Dielectrics | Electromagnetic Fields Theory (EMFT) - Electrical Engineering (EE) and its direction makes an angle of tan Dielectrics | Electromagnetic Fields Theory (EMFT) - Electrical Engineering (EE) with the interface. Find the electric field in the second medium.

Solutions to Self Assessment Quiz

1. The method is the same as that adopted for Problem 1 of the tutorial assignment. When the charges are along the x-axis, the coordinates of the charges +q are atDielectrics | Electromagnetic Fields Theory (EMFT) - Electrical Engineering (EE) The multipole moments are given by, for l > 0

Dielectrics | Electromagnetic Fields Theory (EMFT) - Electrical Engineering (EE)

Dielectrics | Electromagnetic Fields Theory (EMFT) - Electrical Engineering (EE)

R.h.s. is zero for odd values of m. For the quadrupole located along the y axis,

Dielectrics | Electromagnetic Fields Theory (EMFT) - Electrical Engineering (EE)

Once again, the multipole moment is zero for odd values of m.

2. To find the resulting multipole moments, we add the contribution to the multipole moment from the three cases (Problem 1 of Tutorial and Problem 1 of the Quiz) ,For l > 0

Dielectrics | Electromagnetic Fields Theory (EMFT) - Electrical Engineering (EE)Dielectrics | Electromagnetic Fields Theory (EMFT) - Electrical Engineering (EE)  

We need to only compute even m.
Take l = 1, i.e. the dipole moment. For l = 1, m = 0. Recall that the first term is zero for odd value of l. Further since p10(0) = 0, the dipole moment also vanishes.

Let us compute quadrupole moments for which Dielectrics | Electromagnetic Fields Theory (EMFT) - Electrical Engineering (EE) We have Dielectrics | Electromagnetic Fields Theory (EMFT) - Electrical Engineering (EE) For calculating q22 note that the first term is zero because of Kronecker delta function while the second term valishes. Thus all components of the quadrupole moment vanishes .

The next moment is for l = 3. The first term only contributes for even l, and, for the second term we have  p3m (1) = 0. Thus the octupole moments also vanish. The first non-zero moment is l = 4, which is called” hexadecupole” moment.

3. Let us position the dielectric so that the end faces are parallel to the three Cartesian axes.

Dielectrics | Electromagnetic Fields Theory (EMFT) - Electrical Engineering (EE)

The volume density of bound charges is  Dielectrics | Electromagnetic Fields Theory (EMFT) - Electrical Engineering (EE) Since the density is constant, the total volume charge is obtained by multiplying this with the volume, i.e., qb = -3k abc. Now we need to calculate the bound charges on the surface. Note that  Dielectrics | Electromagnetic Fields Theory (EMFT) - Electrical Engineering (EE) on each face is given by the distance of that face from the centre. For instance, the top face (or the bottom face) which is at a distance b from the origin has  Dielectrics | Electromagnetic Fields Theory (EMFT) - Electrical Engineering (EE) The total bound charge on this face is obtained by multiplying the constant density with the area of the face ac giving a contribution of  Dielectrics | Electromagnetic Fields Theory (EMFT) - Electrical Engineering (EE) Each of the six faces contribute the same, giving a total of which is exactly the equal and opposite of the total volume charge

4. Let the charge density at the interface be . If the entire region had permittivity ∈0, the electric field at the interface can be calculated by taking a Gaussian cylinder perpendicular to the sheet and its ends equidistant from the sheet. The normal component of the electric field (directed outward from the respective face)due to the induced charge is given by Dielectrics | Electromagnetic Fields Theory (EMFT) - Electrical Engineering (EE) Let the normal component of the electric field at the point P on the sheet be due to the line charge be En.

At a point P,

Dielectrics | Electromagnetic Fields Theory (EMFT) - Electrical Engineering (EE)

Since the normal components are oppositely directed, the resultant normal component is Dielectrics | Electromagnetic Fields Theory (EMFT) - Electrical Engineering (EE)
The normal component of the net electric field on the other side of the interface is given by  Dielectrics | Electromagnetic Fields Theory (EMFT) - Electrical Engineering (EE)

Dielectrics | Electromagnetic Fields Theory (EMFT) - Electrical Engineering (EE)

Since the normal component of D field is continuous, we have (recall that the outward normal direction is uniquely defined)
Dielectrics | Electromagnetic Fields Theory (EMFT) - Electrical Engineering (EE)

Solving, we get,

Dielectrics | Electromagnetic Fields Theory (EMFT) - Electrical Engineering (EE)

This is the induced charge. The field due to this at P is

Dielectrics | Electromagnetic Fields Theory (EMFT) - Electrical Engineering (EE)

Comparing this with the expression for the normal component of the field, we see that this field is equivalently produced by locating an image line with line charge density
Dielectrics | Electromagnetic Fields Theory (EMFT) - Electrical Engineering (EE)

at a distance d from the interface, inside the dielectric.

5. At the interface between two dielectrics, the tangential component of  Dielectrics | Electromagnetic Fields Theory (EMFT) - Electrical Engineering (EE) continuous E1 cos θ1 = E2 cos θ2. Since the interface has free charges, we have D2 sin θ - D1 sin θ = σf. The last relation gives ∈2 E2 sin θ2 - ∈1E1 sin θ1 = σf.

Thus Dielectrics | Electromagnetic Fields Theory (EMFT) - Electrical Engineering (EE)Dielectrics | Electromagnetic Fields Theory (EMFT) - Electrical Engineering (EE) we get from the second equation,

Dielectrics | Electromagnetic Fields Theory (EMFT) - Electrical Engineering (EE)
Substituting values,

Dielectrics | Electromagnetic Fields Theory (EMFT) - Electrical Engineering (EE)Dielectrics | Electromagnetic Fields Theory (EMFT) - Electrical Engineering (EE)
Thus tan θ2 = 1 i.e. the electric field makes an angle of 450 with the interface.
The field strength in the second medium is Dielectrics | Electromagnetic Fields Theory (EMFT) - Electrical Engineering (EE)

We continue with our discussion of dielectric medium.

Example : Dielectric Sphere in a uniform Electric Field

The problem is very similar to the one we did for the case of a conducting sphere in an electric field. At far distances from the sphere, the field is uniform and is equal to  Dielectrics | Electromagnetic Fields Theory (EMFT) - Electrical Engineering (EE) which corresponds to a potential of φ = -E0r cos θ.

As before we can expand the potential inside and outside in terms of Legendre polynomials. Since the distant potential only has Legendre polynomial of order 1, we need to include only to include up to this order. Outside the sphere, the field is given by the potential

Dielectrics | Electromagnetic Fields Theory (EMFT) - Electrical Engineering (EE)

Inside the sphere, the origin is included. Thus, inside the sphere, the potential cannot have a singularity at the origin and is given by

φin (r, θ) = A2r cos θ.
Comparing with the asymptotic limit at long distances A1 = -E0.

The potential itself is continuous at r=R,

Dielectrics | Electromagnetic Fields Theory (EMFT) - Electrical Engineering (EE)

Since there are no free charges on the surface, the normal component of the displacement vector is continuous across the surface. The normal component being the radial direction, we have,

Dielectrics | Electromagnetic Fields Theory (EMFT) - Electrical Engineering (EE)

Solving, we get,

Dielectrics | Electromagnetic Fields Theory (EMFT) - Electrical Engineering (EE)

Dielectrics | Electromagnetic Fields Theory (EMFT) - Electrical Engineering (EE)

so that

Dielectrics | Electromagnetic Fields Theory (EMFT) - Electrical Engineering (EE)

and the electric field inside the dielectric is

Dielectrics | Electromagnetic Fields Theory (EMFT) - Electrical Engineering (EE)

It is seen that the due to the presence of dielectric the electric field inside is reduced by

Dielectrics | Electromagnetic Fields Theory (EMFT) - Electrical Engineering (EE)

We observe that if a dipole is kept at the origin of a sphere of radius R, since the radius of the sphere can be considered very large compared with the dimensions of the dipole, the field is given by  Dielectrics | Electromagnetic Fields Theory (EMFT) - Electrical Engineering (EE) Thus the effect of dielectric is the same as that of replacing the dielectric with a dipole of moment

Dielectrics | Electromagnetic Fields Theory (EMFT) - Electrical Engineering (EE)

The polarization of the sphere is then obtained by dividing this by the volume of the sphere, i.e., by  Dielectrics | Electromagnetic Fields Theory (EMFT) - Electrical Engineering (EE)

Dielectrics | Electromagnetic Fields Theory (EMFT) - Electrical Engineering (EE)

Thus the field due to the dielectric can be written as

Dielectrics | Electromagnetic Fields Theory (EMFT) - Electrical Engineering (EE)

Note that the polarization in the medium is uniform and is directed along the direction of the external field. The field lines approach the sphere from the left (negative z direction) and leave from the right, making the left face of the sphere negatively charged.

Dielectrics | Electromagnetic Fields Theory (EMFT) - Electrical Engineering (EE)

Reduction in the electric field due to the presence of a dielectric

Consider a point charge in an isotropic dielectric with permittivity ∈. Taking the position of the charge at the origin, the field must be radial. The displacement field can be found from the Gauss’s law,

Dielectrics | Electromagnetic Fields Theory (EMFT) - Electrical Engineering (EE)

so that

Dielectrics | Electromagnetic Fields Theory (EMFT) - Electrical Engineering (EE)

Since the dielectric is uniform,

Dielectrics | Electromagnetic Fields Theory (EMFT) - Electrical Engineering (EE)

Thus in the presence of a dielectric the electric field is reduced by a factor  Dielectrics | Electromagnetic Fields Theory (EMFT) - Electrical Engineering (EE) The dielectric constant is a measure of the factor by which the electric field gets reduced in a linear dielectric medium. The polarization vector is given by

Dielectrics | Electromagnetic Fields Theory (EMFT) - Electrical Engineering (EE)

Consider a Gaussian sphere of radius r. We can calculate the volume charge density inside the volume by the negative divergence of the polarization vector,

Dielectrics | Electromagnetic Fields Theory (EMFT) - Electrical Engineering (EE)

However, there is a bound surface charge density. Since the dielectric is inside the sphere, the surface direction is inward Dielectrics | Electromagnetic Fields Theory (EMFT) - Electrical Engineering (EE)

Dielectrics | Electromagnetic Fields Theory (EMFT) - Electrical Engineering (EE)

Thus there exists a net negative bound charge. The total charge is obtained by multiplying the above with the surface area, viz., 4πr2 which gives  Dielectrics | Electromagnetic Fields Theory (EMFT) - Electrical Engineering (EE) as the total charge bound to the surface. The effective charge seen by a test charge is the sum of the original charge as reduced by this amount, i.e.

Dielectrics | Electromagnetic Fields Theory (EMFT) - Electrical Engineering (EE)

i.e., the test charge experiences the electric field due to an effective charge screened by a factor equal to the dielectric constant of the medium.

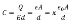
Example : A parallel plate capacitor filled with a dielectric :

From the above discussion it is clear the electric field inside the dielectric will be reduced due to polarization effect of the dielectric. Consider a Gaussian pillbox in the shape of a rectangular parallelepiped of a very small thickness but of area a (A is the area of the plates)partly inside the medium through one of the plates and partly outside.

Since the plates have real charges, using Gauss’s law for the displacement vector, we have, Dielectrics | Electromagnetic Fields Theory (EMFT) - Electrical Engineering (EE) Q here is the total free charge on the plate. Thus, Dielectrics | Electromagnetic Fields Theory (EMFT) - Electrical Engineering (EE) the direction of  Dielectrics | Electromagnetic Fields Theory (EMFT) - Electrical Engineering (EE) from the negative plate towards the positive plate. The electric field in the dielectric is  Dielectrics | Electromagnetic Fields Theory (EMFT) - Electrical Engineering (EE) The potential is Dielectrics | Electromagnetic Fields Theory (EMFT) - Electrical Engineering (EE) which gives the capacitance to be

Dielectrics | Electromagnetic Fields Theory (EMFT) - Electrical Engineering (EE)

Dielectrics | Electromagnetic Fields Theory (EMFT) - Electrical Engineering (EE)

Thus the capacitance is increased by a factor of k, the dielectric constant. This, of course, is true only for a linear dielectric.

Microscopic Theory

Before leaving the subject of electrostatics, we will briefly touch upon the molecular aspect of polarizability as opposed to a purely macroscopic treatment done so far. 

We look at the dielectric as a collection of molecules. If the molecules are well separated, as would be the case in a gas, each molecule would experience an average macroscopic field Dielectrics | Electromagnetic Fields Theory (EMFT) - Electrical Engineering (EE) site. This could consist of any external field and an average field due to all other molecules etc. The polarization induced is the written in terms of electric susceptibility  Dielectrics | Electromagnetic Fields Theory (EMFT) - Electrical Engineering (EE) For the case of a gas, the electric field is primarily due to the external field.

In a dense medium, however, this is not a good description because a particular molecule will be subject to a local field, which in addition to the external field, is due to interactions with the dipoles in its immediate neigbourhood as well as due to polarization of the other molecules in the medium. This local field induces a dipole moment Dielectrics | Electromagnetic Fields Theory (EMFT) - Electrical Engineering (EE) the molecule in question and we define the “atomic polarizability” on the molecule in question and we define the “atomic polarizability” by the relation α by the relation

Dielectrics | Electromagnetic Fields Theory (EMFT) - Electrical Engineering (EE)

If there are n atoms per unit volume, the polarization is given by

Dielectrics | Electromagnetic Fields Theory (EMFT) - Electrical Engineering (EE)

However, since an atom cannot exert a force on itself, in computing the local field we must subtract the contribution to the polarization by the atom under consideration. For this purpose, let us divide the dielectric into two parts : a spherical volume of radius Rassigned to the atom in question which contains other atoms in the immediate neighborhood of the atom and the rest of the dielectric outside this volume. The “rest of the dielectric” will be treated in a macroscopic way which gives rise to an average field Dielectrics | Electromagnetic Fields Theory (EMFT) - Electrical Engineering (EE) taken along the z direction. To this field we must add the field which arise because of the spherical volume mentioned above.

The sphere can be treated as a cavity in an otherwise uniform medium. The inside surface of this cavity has a charge density σb corresponding to the uniform polarization.

Dielectrics | Electromagnetic Fields Theory (EMFT) - Electrical Engineering (EE)

Since the normal is directed inwards, the bound surface charge is  Dielectrics | Electromagnetic Fields Theory (EMFT) - Electrical Engineering (EE) where θ is the polar angle with respect to the z axis. The electric field due to this charge distribution is easily calculated,

Dielectrics | Electromagnetic Fields Theory (EMFT) - Electrical Engineering (EE)

Now we must look into the interaction of the dipoles within the cavity with the molecule (dipole) in question). We had seen earlier that the field due to a dipole at a position Dielectrics | Electromagnetic Fields Theory (EMFT) - Electrical Engineering (EE) respect to the dipole is given by

Dielectrics | Electromagnetic Fields Theory (EMFT) - Electrical Engineering (EE)

The net field at the position of the atom is obtained by averaging the field due to all the dipoles. Since the molecules are oriented randomly, let us find the average of the field along the z direction,

Dielectrics | Electromagnetic Fields Theory (EMFT) - Electrical Engineering (EE)

Since the dielectric is isotropic, we have

Dielectrics | Electromagnetic Fields Theory (EMFT) - Electrical Engineering (EE)

We are left with

Dielectrics | Electromagnetic Fields Theory (EMFT) - Electrical Engineering (EE)

Thus the total field is simply the sum of the first two contributions, i.e.

Dielectrics | Electromagnetic Fields Theory (EMFT) - Electrical Engineering (EE)

Since the induced dipole moment is proportional to the local field

Dielectrics | Electromagnetic Fields Theory (EMFT) - Electrical Engineering (EE)

So that

Dielectrics | Electromagnetic Fields Theory (EMFT) - Electrical Engineering (EE)

Dielectrics | Electromagnetic Fields Theory (EMFT) - Electrical Engineering (EE)

Dielectrics | Electromagnetic Fields Theory (EMFT) - Electrical Engineering (EE)

so that

Dielectrics | Electromagnetic Fields Theory (EMFT) - Electrical Engineering (EE)

This is called ClausiusMossotti Relation and it relates the atomic polarizability with the dielectric constant of the medium.

Energy of a charge distribution in a dielectric

In an earlier lecture we had obtained an expression for the energy of a charge distribution in free space. This was done by computing the work done in assembling the charges which are initially located at infinity. The expression for the energy was shown to be given by

Dielectrics | Electromagnetic Fields Theory (EMFT) - Electrical Engineering (EE)

In calculating the energy of a system of charges in a dielectric, we need to also take into account the work done in establishing the state of polarization of the dielectric.

Let us assume that at certain instant of time we have a charge density p already established and we add true charges to the system so that the charge density increases byDielectrics | Electromagnetic Fields Theory (EMFT) - Electrical Engineering (EE) be the potential in the presence of the charge density p. Since the charges are true charges, we have,

Dielectrics | Electromagnetic Fields Theory (EMFT) - Electrical Engineering (EE)

The additional work that needs to be done to increase the charge density is Dielectrics | Electromagnetic Fields Theory (EMFT) - Electrical Engineering (EE) Note that the factor of ½ that was there in the expression for the energy is not there because it had come to avoid double counting whereas in the present case we are just calculating the work done. Let us simplify the expression for the additional work done by integrating the above expression by parts,

Dielectrics | Electromagnetic Fields Theory (EMFT) - Electrical Engineering (EE)

The first term is converted to a surface integral using the divergence theorem. If we take the integration to be over all space, as has been pointed out on several occasion, the fields and potential vanish and this integral does not contribute to the energy. Using  Dielectrics | Electromagnetic Fields Theory (EMFT) - Electrical Engineering (EE)

Dielectrics | Electromagnetic Fields Theory (EMFT) - Electrical Engineering (EE)

The total work done in establishing the charge distribution is then obtained by integrating this expression from zero field situation to the final field configuration. For linear dielectrics, we have,  Dielectrics | Electromagnetic Fields Theory (EMFT) - Electrical Engineering (EE) , which can be used to get the energy expression as

Dielectrics | Electromagnetic Fields Theory (EMFT) - Electrical Engineering (EE)

Tutorial Assignment

1. A solid dielectric cylinder of dielectric constant k is placed in a uniform electric field Dielectrics | Electromagnetic Fields Theory (EMFT) - Electrical Engineering (EE) perpendicular to its length. Obtain an expression for the potential inside and outside the cylinder.

2. A uniform electric field Dielectrics | Electromagnetic Fields Theory (EMFT) - Electrical Engineering (EE) is set up in a medium of dielectric constant k. A spherical cavity of radius R is inside this medium. Find an expression for the electric field inside the cavity.

Solutions to Tutorial assignment

1. As the extent of the cylinder is infinite in the z direction, one can use polar coordinates to describe the potential. Since the far field pattern is φ(r) = - E0r cos θ, we take the following expressions to represent the potential (Note the difference between the solution in the polar case and that in the spherical case with azimuthal symmetry)

Dielectrics | Electromagnetic Fields Theory (EMFT) - Electrical Engineering (EE)

On this we impose the boundary condition at the normal component of D and the tangential component of E field are continuous.

Dielectrics | Electromagnetic Fields Theory (EMFT) - Electrical Engineering (EE)

Use these to express A and B in terms of E0. The result is

Dielectrics | Electromagnetic Fields Theory (EMFT) - Electrical Engineering (EE)

2. Assume the dielectric to fill the entire space with the cavity centred at r=0. The problem has aqzimuthal symmetry. The potential is given by the expression

Dielectrics | Electromagnetic Fields Theory (EMFT) - Electrical Engineering (EE)

On this we impose the boundary condition at the normal component of D and the tangential component of E field are continuous.

Dielectrics | Electromagnetic Fields Theory (EMFT) - Electrical Engineering (EE)

These give (as the relations are valid for all values of θ)

Dielectrics | Electromagnetic Fields Theory (EMFT) - Electrical Engineering (EE)

Solving, we get,

Dielectrics | Electromagnetic Fields Theory (EMFT) - Electrical Engineering (EE)

Thus the potential is Dielectrics | Electromagnetic Fields Theory (EMFT) - Electrical Engineering (EE) The corresponding electric field is  Dielectrics | Electromagnetic Fields Theory (EMFT) - Electrical Engineering (EE)

Self Assessment Quiz
1. A parallel plate capacitor is filled with a linear dielectric whose dielectric constant varies linearly from the grounded bottom plate to the upper plate located at a distance d, by the relation k = k0 +cz. If the upper plate is at a potential of φ0, obtain expressions for (a) the potential as a function of z, (b) the electric field in the dielectric and (b) the polarization charge densities on the plates.

2. The space between the plates of a parallel plate capacitor is filled with two slabs of dielectric material. The dielectric filling the space between the grounded bottom plate at z=0 up to z=d/2 is of dielectric constant k1 while that filling the space from z=d/2 up to the upper plate at z=d which is maintained at a constant potential φis of dielectric constant k2. Find an expression for the potential between the plates and the polarization charge density on the two plates.

Dielectrics | Electromagnetic Fields Theory (EMFT) - Electrical Engineering (EE)

Solutions to Self Assessment Quiz

1. We start with an expression for the D field in the dielectric. As the plates contain free charge densities, the D field has a strength Q/A directed from the positive plate to the negative plate. The electric field is then given by Dielectrics | Electromagnetic Fields Theory (EMFT) - Electrical Engineering (EE) One can calculate the potential at any point by evaluating the line integral of the electric field from the bottom plate to a point at a distance z,

Dielectrics | Electromagnetic Fields Theory (EMFT) - Electrical Engineering (EE)Dielectrics | Electromagnetic Fields Theory (EMFT) - Electrical Engineering (EE)
Substituting  Dielectrics | Electromagnetic Fields Theory (EMFT) - Electrical Engineering (EE)

Dielectrics | Electromagnetic Fields Theory (EMFT) - Electrical Engineering (EE)

The expression for the electric field can be obtained by taking the negative gradient of the potential or by expressing the previously obtained expression in terms of given constants, 

Dielectrics | Electromagnetic Fields Theory (EMFT) - Electrical Engineering (EE)Dielectrics | Electromagnetic Fields Theory (EMFT) - Electrical Engineering (EE)

Thus the displacement vector is given by

Dielectrics | Electromagnetic Fields Theory (EMFT) - Electrical Engineering (EE)

Which is of course constant. The polarization vector is given by

Dielectrics | Electromagnetic Fields Theory (EMFT) - Electrical Engineering (EE)

The polarization charge densities on the plates is given by the normal component of the polarization vector. On the upper plate, z=d

Dielectrics | Electromagnetic Fields Theory (EMFT) - Electrical Engineering (EE)

On the lower plate z=0,

Dielectrics | Electromagnetic Fields Theory (EMFT) - Electrical Engineering (EE)

2. Let the charge on the plates be +Q and the area of the plates be A. The displacement vector is D=Q/A. The electric field from z=0 to z= d/2  Dielectrics | Electromagnetic Fields Theory (EMFT) - Electrical Engineering (EE) and that in the region from z=d/2 to z=d is Dielectrics | Electromagnetic Fields Theory (EMFT) - Electrical Engineering (EE) The potential in the region 1 is

Dielectrics | Electromagnetic Fields Theory (EMFT) - Electrical Engineering (EE)

The potential at z=d/2 is Dielectrics | Electromagnetic Fields Theory (EMFT) - Electrical Engineering (EE). The potential in the region 2 is

Dielectrics | Electromagnetic Fields Theory (EMFT) - Electrical Engineering (EE)

The potential at z=d is then given by

Dielectrics | Electromagnetic Fields Theory (EMFT) - Electrical Engineering (EE)

where Dielectrics | Electromagnetic Fields Theory (EMFT) - Electrical Engineering (EE)

Dielectrics | Electromagnetic Fields Theory (EMFT) - Electrical Engineering (EE)

The charge density is given by the normal component of the polarization vector,

Dielectrics | Electromagnetic Fields Theory (EMFT) - Electrical Engineering (EE)

The document Dielectrics | Electromagnetic Fields Theory (EMFT) - Electrical Engineering (EE) is a part of the Electrical Engineering (EE) Course Electromagnetic Fields Theory (EMFT).
All you need of Electrical Engineering (EE) at this link: Electrical Engineering (EE)
10 videos|53 docs|56 tests
Related Searches

Exam

,

Previous Year Questions with Solutions

,

Extra Questions

,

practice quizzes

,

Summary

,

Dielectrics | Electromagnetic Fields Theory (EMFT) - Electrical Engineering (EE)

,

pdf

,

Semester Notes

,

shortcuts and tricks

,

Dielectrics | Electromagnetic Fields Theory (EMFT) - Electrical Engineering (EE)

,

video lectures

,

Sample Paper

,

Dielectrics | Electromagnetic Fields Theory (EMFT) - Electrical Engineering (EE)

,

Viva Questions

,

past year papers

,

ppt

,

mock tests for examination

,

study material

,

MCQs

,

Free

,

Important questions

,

Objective type Questions

;