Civil Engineering (CE) Exam  >  Civil Engineering (CE) Notes  >  Structural Analysis  >  The Force Method of Analysis: Beams - 1

The Force Method of Analysis: Beams - 1 | Structural Analysis - Civil Engineering (CE) PDF Download

Instructional Objectives

After reading this chapter the student will be able to

1. Solve statically indeterminate beams of degree more than one.
2. To solve the problem in matrix notation.
3. To compute reactions at all the supports.
4. To compute internal resisting bending moment at any section of the continuous beam.

Introduction

In the last lesson, a general introduction to the force method of analysis is given. Only, beams, which are statically indeterminate to first degree, were considered. If the structure is statically indeterminate to a degree more than one, then the approach presented in the previous example needs to be organized properly. In the present lesson, a general procedure for analyzing statically indeterminate beams is discussed.

Formalization of Procedure

Towards this end, consider a two-span continuous beam as shown in Fig. 8.1a. The flexural rigidity of this continuous beam is assumed to be constant and is taken as EI. Since, the beam is statically indeterminate to second degree, it is required to identify two redundant reaction components, which need be released to make the beam statically determinate.

The Force Method of Analysis: Beams - 1 | Structural Analysis - Civil Engineering (CE)
The Force Method of Analysis: Beams - 1 | Structural Analysis - Civil Engineering (CE)
The Force Method of Analysis: Beams - 1 | Structural Analysis - Civil Engineering (CE)
The Force Method of Analysis: Beams - 1 | Structural Analysis - Civil Engineering (CE)

The redundant reactions at A and B are denoted by R1 and R2 respectively. The released structure (statically determinate structure) with applied loading is shown in Fig. 8.1b. The deflection of primary structure at B and C due to applied loading is denoted by (ΔL)1 and (ΔL)2 respectively. Throughout this module (ΔL)i notation is used to denote deflection at ith redundant due to applied loads on the determinate structure.

The Force Method of Analysis: Beams - 1 | Structural Analysis - Civil Engineering (CE)                 (8.1a)

The Force Method of Analysis: Beams - 1 | Structural Analysis - Civil Engineering (CE)                  (8.1b)

In fact, the subscript 1 and represent, locations of redundant reactions released. In the present case RA (=R1) and RB (=R2) respectively. In the present and subsequent lessons of this module, the deflections and the reactions are taken to be positive in the upward direction. However, it should be kept in mind that the positive sense of the redundant can be chosen arbitrarily. The deflection of the point of application of the redundant should likewise be considered positive when acting in the same sense.
For writing compatibility equations at B and C, it is required to know deflection of the released structure at B and C, due to external loading and due to redundants. The deflection at B and C due to external loading can be computed easily. Since redundants R1 and R2 are are not known, in the first step apply a unit load in the direction of R1 and compute deflection, a11 at B, and deflection, a21 at C, as shown in Fig.8.1c. Now deflections at B and C of the given released structure due to redundant R1 are,

R)11 = a11 R1               (8.2a)

R)21 = a21 R1                    (8.2b)

In the second step, apply unit load in the direction of redundant R2 and compute deflection at B (point 1), a12 and deflection at C, a22 as shown in Fig 8.1d. It may be recalled that the flexibility coefficient aij is the deflection at i due to unit value of force applied at j. Now deflections of the primary structure (released structure) at B and C due to redundant R2 is 

R)12 = a12 R2                     (8.3a)

R)22 = a22 R2               (8.3b)

It is observed that, in the actual structure, the deflections at joints B and C is zero. Now the total deflections at B and C of the primary structure due to applied external loading and redundants R1 and R2 is, 

The Force Method of Analysis: Beams - 1 | Structural Analysis - Civil Engineering (CE)                  (8.4a)

The Force Method of Analysis: Beams - 1 | Structural Analysis - Civil Engineering (CE)              (8.4b)

The equation (8.4a) represents the total displacement at B and is obtained by superposition of three terms:

1) Deflection at B due to actual load acting on the statically determinate structure,
2) Displacement at B due to the redundant reaction R1 acting in the positive direction at B (point 1) and
3) Displacement at B due to the redundant reaction R2 acting in the positive direction at C.

The second equation (8.4b) similarly represents the total deflection at C. From the physics of the problem, the compatibility condition can be written as,

The Force Method of Analysis: Beams - 1 | Structural Analysis - Civil Engineering (CE)             (8.5a)
The Force Method of Analysis: Beams - 1 | Structural Analysis - Civil Engineering (CE)             (8.5b)

The equation (8.5a) and (8.5b) may be written in matrix notation as follows,

The Force Method of Analysis: Beams - 1 | Structural Analysis - Civil Engineering (CE)               (8.6a)

The Force Method of Analysis: Beams - 1 | Structural Analysis - Civil Engineering (CE)               (8.6b)

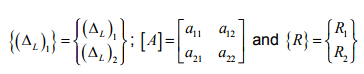
In which,

The Force Method of Analysis: Beams - 1 | Structural Analysis - Civil Engineering (CE)

Solving the above set of algebraic equations, one could obtain the values of redundants, R1 and R2.

The Force Method of Analysis: Beams - 1 | Structural Analysis - Civil Engineering (CE)                 (8.7)

In the above equation the vectors {ΔL} contains the displacement values of the primary structure at point 1 and 2, [A] is the flexibility matrix and {R} is column vector of redundants required to be evaluated. In equation (8.7) the inverse of the flexibility matrix is denoted by [A]-1. In the above example, the structure is indeterminate to second degree and the size of flexibility matrix is  The Force Method of Analysis: Beams - 1 | Structural Analysis - Civil Engineering (CE) In general, if the structure is redundant to a degree n, then the flexibility matrix is of the order The Force Method of Analysis: Beams - 1 | Structural Analysis - Civil Engineering (CE) To demonstrate the procedure to evaluate deflection, consider the problem given in Fig. 8.1a, with loading as given below

w = w ;                 P = wl                    (8.8a)

Now, the deflection (ΔL)1 and (ΔL)2 of the released structure can be evaluated from the equations (8.1a) and (8.1b) respectively. Then,

The Force Method of Analysis: Beams - 1 | Structural Analysis - Civil Engineering (CE)                   (8.8b)

The Force Method of Analysis: Beams - 1 | Structural Analysis - Civil Engineering (CE)              (8.8c)

The negative sign indicates that both deflections are downwards. Hence the vector {ΔL} is  given by

The Force Method of Analysis: Beams - 1 | Structural Analysis - Civil Engineering (CE)                          (8.8d)

The flexibility matrix is determined from referring to figures 8.1c and 8.1d. Thus, when the unit load corresponding to R1 is acting at B, the  deflections are,

The Force Method of Analysis: Beams - 1 | Structural Analysis - Civil Engineering (CE)                (8.8e)

Similarly when the unit load is acting at C ,

The Force Method of Analysis: Beams - 1 | Structural Analysis - Civil Engineering (CE)                   (8.8f)

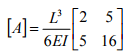
The flexibility matrix can be written as,

The Force Method of Analysis: Beams - 1 | Structural Analysis - Civil Engineering (CE)                            (8.8g)

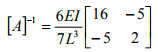
The inverse of the flexibility matrix can be evaluated by any of the standard method. Thus,

The Force Method of Analysis: Beams - 1 | Structural Analysis - Civil Engineering (CE)                  (8.8h)

Now using equation (8.7) the redundants are evaluated. Thus,

The Force Method of Analysis: Beams - 1 | Structural Analysis - Civil Engineering (CE)

Hence, The Force Method of Analysis: Beams - 1 | Structural Analysis - Civil Engineering (CE)           (8.8i)

Once the redundants are evaluated, the other reaction components can be evaluated by static equations of equilibrium.

The document The Force Method of Analysis: Beams - 1 | Structural Analysis - Civil Engineering (CE) is a part of the Civil Engineering (CE) Course Structural Analysis.
All you need of Civil Engineering (CE) at this link: Civil Engineering (CE)
32 videos|154 docs|31 tests

FAQs on The Force Method of Analysis: Beams - 1 - Structural Analysis - Civil Engineering (CE)

1. What is the Force Method of Analysis for beams in civil engineering?
Ans. The Force Method of Analysis is a technique used in civil engineering to determine the internal forces and displacements of a beam structure. It involves breaking down the structure into smaller members and applying equilibrium equations to calculate unknown forces.
2. How is the Force Method different from other analysis methods for beams?
Ans. The Force Method differs from other analysis methods, such as the Moment Distribution Method, by focusing on the internal forces within the structure rather than the distribution of moments. It is particularly useful for analyzing indeterminate structures with multiple supports and complex loadings.
3. What are the steps involved in the Force Method of Analysis for beams?
Ans. The steps involved in the Force Method of Analysis are as follows: 1. Divide the structure into smaller members and identify the unknown forces at each member. 2. Assume initial values for the unknown forces and calculate the corresponding displacements. 3. Apply equilibrium equations to each node of the structure to determine the unknown forces. 4. Update the assumed values of the unknown forces based on the calculated values. 5. Repeat steps 2-4 until the calculated values converge to a stable solution.
4. What are the advantages of using the Force Method of Analysis for beams?
Ans. The Force Method of Analysis offers several advantages, including: - It can be used to analyze complex structures with multiple supports and varying loadings. - It provides a detailed understanding of the internal forces and displacements within the structure. - It allows for the evaluation of different load combinations and their effects on the structure. - It can be used to determine the critical sections where additional reinforcement may be needed. - It provides a systematic approach to analyzing indeterminate structures, ensuring accurate results.
5. Are there any limitations or drawbacks of using the Force Method of Analysis for beams?
Ans. While the Force Method of Analysis is a powerful tool, it does have some limitations and drawbacks, including: - It can be time-consuming and computationally intensive, especially for large and complex structures. - It relies on assumptions made regarding the behavior of the structure and the distribution of forces. - It may not accurately capture the effects of non-linear behavior or material properties. - It requires a good understanding of structural mechanics and equilibrium principles to apply correctly. - It may not provide a direct solution for some highly indeterminate structures, requiring additional techniques or approximations.
Related Searches

The Force Method of Analysis: Beams - 1 | Structural Analysis - Civil Engineering (CE)

,

mock tests for examination

,

Objective type Questions

,

practice quizzes

,

Summary

,

shortcuts and tricks

,

video lectures

,

Important questions

,

Extra Questions

,

study material

,

past year papers

,

ppt

,

Sample Paper

,

The Force Method of Analysis: Beams - 1 | Structural Analysis - Civil Engineering (CE)

,

Previous Year Questions with Solutions

,

The Force Method of Analysis: Beams - 1 | Structural Analysis - Civil Engineering (CE)

,

Semester Notes

,

pdf

,

MCQs

,

Viva Questions

,

Exam

,

Free

;