Civil Engineering (CE) Exam  >  Civil Engineering (CE) Notes  >  Structural Analysis  >  The Force Method of Analysis: Beams - 4

The Force Method of Analysis: Beams - 4 | Structural Analysis - Civil Engineering (CE) PDF Download

Example 9.1 

Calculate the support reactions in the continuous beam ABC (see Fig. 9.6a) having constant flexural rigidity EI throughout, due to vertical settlement of the support B by 5 mm as shown in the figure. E = 200 GPa and The Force Method of Analysis: Beams - 4 | Structural Analysis - Civil Engineering (CE)

The Force Method of Analysis: Beams - 4 | Structural Analysis - Civil Engineering (CE)
The Force Method of Analysis: Beams - 4 | Structural Analysis - Civil Engineering (CE)
The Force Method of Analysis: Beams - 4 | Structural Analysis - Civil Engineering (CE)
The Force Method of Analysis: Beams - 4 | Structural Analysis - Civil Engineering (CE)

 

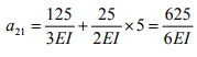
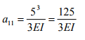
As the given beam is statically indeterminate to second degree, choose reaction at B(R1) and C(R2) as the redundants. In this case the cantilever beam AC the basic determinate beam (primary structure). On the determinate beam only redundant reactions are acting. The first column of flexibility matrix is evaluated by first applying unit load along the redundant R1 and determining deflections a11 and a21 respectively as shown in Fig. 9.6b.

The Force Method of Analysis: Beams - 4 | Structural Analysis - Civil Engineering (CE)

The Force Method of Analysis: Beams - 4 | Structural Analysis - Civil Engineering (CE)                     (1)

Simply by applying the unit load in the direction of redundant R2, one could evaluate flexibility coefficients a12 and a22 (see Fig. 9.6c).

The Force Method of Analysis: Beams - 4 | Structural Analysis - Civil Engineering (CE)     (2)

The compatibility condition for the problem may be written as,

The Force Method of Analysis: Beams - 4 | Structural Analysis - Civil Engineering (CE)
The Force Method of Analysis: Beams - 4 | Structural Analysis - Civil Engineering (CE)                  (3)

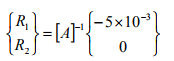
The redundant reactions are,

The Force Method of Analysis: Beams - 4 | Structural Analysis - Civil Engineering (CE)                          (4)

The Force Method of Analysis: Beams - 4 | Structural Analysis - Civil Engineering (CE)                      (5)

Substituting the values of E and I in the above equation, the redundant reactions are evaluated.

R1 = −43.885 kN and R2 =13.71 kN

R1 acts downwards and R2 acts in the positive direction of the reaction i.e upwards. The remaining two reactions R3 and R4 are evaluated by the equations of equilibrium.

The Force Method of Analysis: Beams - 4 | Structural Analysis - Civil Engineering (CE)

Hence R3 = 30.175 kN

The Force Method of Analysis: Beams - 4 | Structural Analysis - Civil Engineering (CE)

Solving for R4 ,

R4 = 82.325 kN.m (counter clockwise)

The shear force and bending moment diagrams are shown in Figs. 9.6d and 9.6e respectively.

Example 9.2

Compute reactions and draw bending moment diagram for the continuous beam ABCD loaded as shown in Fig. 9.7a, due to following support movements.
Support B , 005.0 m vertically downwards.
Support C , 01.0 m vertically downwards.

Assume, E = 200GPa ;  The Force Method of Analysis: Beams - 4 | Structural Analysis - Civil Engineering (CE)

The Force Method of Analysis: Beams - 4 | Structural Analysis - Civil Engineering (CE)
The Force Method of Analysis: Beams - 4 | Structural Analysis - Civil Engineering (CE)
The Force Method of Analysis: Beams - 4 | Structural Analysis - Civil Engineering (CE)
The Force Method of Analysis: Beams - 4 | Structural Analysis - Civil Engineering (CE)

The given beam is statically indeterminate to second degree. Select vertical reactions at B(R1) and C(R2) as redundants. The primary structure in this case is a simply supported beam AD as shown in Fig. 9.7b.

The deflection (ΔL)1 and (ΔL)2 of the released structure are evaluated from unit load method. Thus,

The Force Method of Analysis: Beams - 4 | Structural Analysis - Civil Engineering (CE)
The Force Method of Analysis: Beams - 4 | Structural Analysis - Civil Engineering (CE)                      (1)

The flexibility matrix is evaluated as explained in the previous example, i.e by first applying unit load corresponding to the redundant and determining deflections a11 and a21 respectively as shown in Fig. 9.7c. Thus,

The Force Method of Analysis: Beams - 4 | Structural Analysis - Civil Engineering (CE)
The Force Method of Analysis: Beams - 4 | Structural Analysis - Civil Engineering (CE)                  (2)
The Force Method of Analysis: Beams - 4 | Structural Analysis - Civil Engineering (CE)
The Force Method of Analysis: Beams - 4 | Structural Analysis - Civil Engineering (CE)

In this case the compatibility equations may be written as,

The Force Method of Analysis: Beams - 4 | Structural Analysis - Civil Engineering (CE)
The Force Method of Analysis: Beams - 4 | Structural Analysis - Civil Engineering (CE)               (3)

Solving for redundant reactions,

The Force Method of Analysis: Beams - 4 | Structural Analysis - Civil Engineering (CE)                 (4)

Substituting the value of E and I in the above equation,

R1 = 48.64 kN and R2 = 174.40 kN
Both R1 and R2 acts in the upward direction. The remaining two reactions R3 and R4 are evaluated by the equations of static equilibrium.

The Force Method of Analysis: Beams - 4 | Structural Analysis - Civil Engineering (CE)
Hence R4 = 26.724 kN
The Force Method of Analysis: Beams - 4 | Structural Analysis - Civil Engineering (CE)
Hence  R3 =18.622 kN                             (5)

The shear force and bending moment diagrams are now constructed and are shown in Figs. 9.7e and 9.7f respectively.

The Force Method of Analysis: Beams - 4 | Structural Analysis - Civil Engineering (CE)
The Force Method of Analysis: Beams - 4 | Structural Analysis - Civil Engineering (CE)
The Force Method of Analysis: Beams - 4 | Structural Analysis - Civil Engineering (CE)

Summary

In this lesson, the effect of support settlements on the reactions and stresses in the case of indeterminate structures is discussed. The procedure to calculate additional stresses caused due to yielding of supports is explained with the help of an example. A formula is derived for calculating stresses due to temperature changes in the case of statically indeterminate beams.

The document The Force Method of Analysis: Beams - 4 | Structural Analysis - Civil Engineering (CE) is a part of the Civil Engineering (CE) Course Structural Analysis.
All you need of Civil Engineering (CE) at this link: Civil Engineering (CE)
32 videos|154 docs|31 tests

FAQs on The Force Method of Analysis: Beams - 4 - Structural Analysis - Civil Engineering (CE)

1. What is the Force Method of Analysis for beams?
Ans. The Force Method of Analysis is a technique used in structural engineering to determine the unknown forces in a beam or structure. It involves breaking down the structure into smaller parts and applying equilibrium equations to solve for the internal forces and deformations.
2. How does the Force Method of Analysis work?
Ans. The Force Method of Analysis works by considering each segment of the beam as a separate structure. The unknown forces and deformations are represented as variables, and equilibrium equations are applied to each segment to solve for these variables. The process is repeated for each segment until all unknowns are determined.
3. What are the advantages of using the Force Method of Analysis?
Ans. The Force Method of Analysis offers several advantages. It allows for the analysis of indeterminate structures, which cannot be solved using traditional methods. It provides a systematic approach to determine internal forces and deformations in a beam. It also allows for the evaluation of different load conditions and the effects of structural modifications.
4. Are there any limitations to the Force Method of Analysis?
Ans. Yes, the Force Method of Analysis has some limitations. It assumes that the structure remains elastic and linearly elastic, which may not be the case for highly loaded or complex structures. It also requires the determination of compatibility equations, which can be time-consuming and complex for larger structures. Additionally, it may not be suitable for analyzing structures with significant non-linear behavior.
5. How is the Force Method of Analysis different from other structural analysis methods?
Ans. The Force Method of Analysis differs from other methods, such as the Moment Distribution Method or the Stiffness Method, in its approach to solving indeterminate structures. While other methods rely on iterative procedures, the Force Method breaks down the structure into smaller parts and directly solves for the unknown forces and deformations. This makes it a useful technique for analyzing complex or highly indeterminate structures.
Related Searches

practice quizzes

,

study material

,

Exam

,

Viva Questions

,

pdf

,

Previous Year Questions with Solutions

,

Important questions

,

mock tests for examination

,

Sample Paper

,

past year papers

,

Semester Notes

,

The Force Method of Analysis: Beams - 4 | Structural Analysis - Civil Engineering (CE)

,

Extra Questions

,

The Force Method of Analysis: Beams - 4 | Structural Analysis - Civil Engineering (CE)

,

Objective type Questions

,

ppt

,

The Force Method of Analysis: Beams - 4 | Structural Analysis - Civil Engineering (CE)

,

Free

,

shortcuts and tricks

,

video lectures

,

MCQs

,

Summary

;