Civil Engineering (CE) Exam  >  Civil Engineering (CE) Notes  >  Structural Analysis  >  The Direct Stiffness Method: Beams - 7

The Direct Stiffness Method: Beams - 7 | Structural Analysis - Civil Engineering (CE) PDF Download

Example 29.2 
A continuous beam ABCD is carrying a uniformly distributed load of 5 kN / m as shown in Fig. 29.4a. Compute reactions due to following support settlements.

Support B 0.005 m vertically down wards.

Support C 0.010 m vertically down wards.

Assume E = 200 GPa and I = 4 x 10-4 m4.

The Direct Stiffness Method: Beams - 7 | Structural Analysis - Civil Engineering (CE)
The Direct Stiffness Method: Beams - 7 | Structural Analysis - Civil Engineering (CE)
The Direct Stiffness Method: Beams - 7 | Structural Analysis - Civil Engineering (CE)
The Direct Stiffness Method: Beams - 7 | Structural Analysis - Civil Engineering (CE)

Solution
The node and member numbering are shown in Fig. 29.4(b), wherein the continuous beam is divided into three beam elements. It is observed from the figure that the unconstrained degrees of freedom are u1 and u2 . The fixed end actions due to support settlements are shown in Fig. 29.4(c). and fixed end moments due to external loads are shown in Fig. 29.4(d). The equivalent joint loads due to support settlement and external loading are shown in Fig. 29.4(e). The fixed end actions due to support settlement are,

The Direct Stiffness Method: Beams - 7 | Structural Analysis - Civil Engineering (CE) where ψ is the chord rotation and is taken + ve if the rotation is counterclockwise.

Substituting the appropriate values in the above equation,

The Direct Stiffness Method: Beams - 7 | Structural Analysis - Civil Engineering (CE)
The Direct Stiffness Method: Beams - 7 | Structural Analysis - Civil Engineering (CE)
The Direct Stiffness Method: Beams - 7 | Structural Analysis - Civil Engineering (CE)                                 (1)

The vertical reactions are calculated from equations of equilibrium. The fixed end actions due to external loading are,

The Direct Stiffness Method: Beams - 7 | Structural Analysis - Civil Engineering (CE)
The Direct Stiffness Method: Beams - 7 | Structural Analysis - Civil Engineering (CE)
The Direct Stiffness Method: Beams - 7 | Structural Analysis - Civil Engineering (CE)                             (2)

In the next step, construct member stiffness matrix for each member.

Member 1, L = 5m , node points 1-2 

The Direct Stiffness Method: Beams - 7 | Structural Analysis - Civil Engineering (CE)                     (3) 

Member 2, L = 5 m , node points 2-3. 

The Direct Stiffness Method: Beams - 7 | Structural Analysis - Civil Engineering (CE)                          (4)

Member 3, L = 5 m , node points 3-4. 

The Direct Stiffness Method: Beams - 7 | Structural Analysis - Civil Engineering (CE)                   (5)

On the member stiffness matrix, the corresponding global degrees of freedom are indicated to facilitate assembling. The assembled global stiffness matrix is of the order 8×8. Assembled stiffness matrix [K]is, 

The Direct Stiffness Method: Beams - 7 | Structural Analysis - Civil Engineering (CE)The Direct Stiffness Method: Beams - 7 | Structural Analysis - Civil Engineering (CE)                 (6)

The global load vector corresponding to unconstrained degree of freedom is,

The Direct Stiffness Method: Beams - 7 | Structural Analysis - Civil Engineering (CE)                                 (7)

Writing the load displacement relation for the entire continuous beam,

The Direct Stiffness Method: Beams - 7 | Structural Analysis - Civil Engineering (CE)The Direct Stiffness Method: Beams - 7 | Structural Analysis - Civil Engineering (CE)                (8)

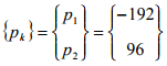
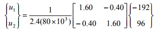
We know that u3 = u4 = u5 = u6 = u7 = u8 = 0 . Thus solving for unknowns displacements u1 and u2 from equation,

The Direct Stiffness Method: Beams - 7 | Structural Analysis - Civil Engineering (CE)                                (9)

The Direct Stiffness Method: Beams - 7 | Structural Analysis - Civil Engineering (CE)
The Direct Stiffness Method: Beams - 7 | Structural Analysis - Civil Engineering (CE)                                        (10)

u1 =-1.80 x 10-3 radians;    u2 = 1.20 x 10-3 radians                         (11)

The unknown joint loads are calculated as,

The Direct Stiffness Method: Beams - 7 | Structural Analysis - Civil Engineering (CE)

The Direct Stiffness Method: Beams - 7 | Structural Analysis - Civil Engineering (CE)                  (12) 

Now the actual support reactions R3 , R4 , R5 , R6 , R7 and R8 must include the fixed end support reactions. Thus, 

The Direct Stiffness Method: Beams - 7 | Structural Analysis - Civil Engineering (CE)               (13)

R3 = 48.04 kN; R4 = -55.64 kN;    R5 = 48.82 kN.m;
R6 = 16.34 kN; R7 = -164.02 kN.m; R8 = 66.26 kN                               (14)

Summary 

The effect of temperature changes and support settlements can easily be incorporated in the direct stiffness method and is discussed in the present lesson. Both temperature changes and support settlements induce fixed end actions in the restrained beams. These fixed end forces are handled in the same way as those due to loads on the members in the analysis. In other words, the global load vector is formulated by considering fixed end actions due to both support settlements and external loads. At the end, a few problems are solved to illustrate the procedure. 

The document The Direct Stiffness Method: Beams - 7 | Structural Analysis - Civil Engineering (CE) is a part of the Civil Engineering (CE) Course Structural Analysis.
All you need of Civil Engineering (CE) at this link: Civil Engineering (CE)
32 videos|154 docs|31 tests

FAQs on The Direct Stiffness Method: Beams - 7 - Structural Analysis - Civil Engineering (CE)

1. What is the direct stiffness method for beams?
Ans. The direct stiffness method is a structural analysis technique used to analyze the behavior of beams. It involves dividing the beam into smaller elements and applying the principle of virtual work to calculate the stiffness matrix for each element. These stiffness matrices are then assembled to form the global stiffness matrix, which is used to solve for the displacements and forces in the beam.
2. How is the direct stiffness method applied to beams?
Ans. To apply the direct stiffness method to beams, the beam is divided into smaller elements, typically using finite element analysis. Each element is assigned a stiffness matrix based on its material properties and geometry. These stiffness matrices are then assembled to form the global stiffness matrix for the entire beam. By solving the system of equations represented by the global stiffness matrix, the displacements and forces in the beam can be determined.
3. What are the advantages of using the direct stiffness method for beam analysis?
Ans. The direct stiffness method offers several advantages for beam analysis. Firstly, it allows for the analysis of complex beam structures with varying geometries and material properties. Secondly, it provides a more accurate representation of the beam's behavior compared to simplified analytical methods. Additionally, the direct stiffness method can handle different types of loadings and boundary conditions, making it a versatile tool for structural engineers.
4. Are there any limitations or assumptions associated with the direct stiffness method for beam analysis?
Ans. Yes, there are certain limitations and assumptions associated with the direct stiffness method for beam analysis. One major assumption is that the beam is linearly elastic, meaning it behaves elastically within its linear range. This assumption may not hold true for highly nonlinear materials or when the beam undergoes large deformations. Additionally, the direct stiffness method assumes that the beam's behavior can be accurately represented by the chosen finite element model, which may not always be the case in complex structures.
5. How does the direct stiffness method help in determining the displacements and forces in beams?
Ans. The direct stiffness method helps in determining the displacements and forces in beams by solving the system of equations represented by the global stiffness matrix. By applying appropriate boundary conditions, such as fixing certain points or applying external loads, the displacements and forces at various points along the beam can be determined. The displacements provide information about the beam's deformation, while the forces indicate the internal stresses and reactions within the beam.
Related Searches

The Direct Stiffness Method: Beams - 7 | Structural Analysis - Civil Engineering (CE)

,

practice quizzes

,

Sample Paper

,

Free

,

Semester Notes

,

mock tests for examination

,

study material

,

Extra Questions

,

The Direct Stiffness Method: Beams - 7 | Structural Analysis - Civil Engineering (CE)

,

video lectures

,

Summary

,

Important questions

,

Previous Year Questions with Solutions

,

ppt

,

pdf

,

Viva Questions

,

MCQs

,

Exam

,

Objective type Questions

,

past year papers

,

The Direct Stiffness Method: Beams - 7 | Structural Analysis - Civil Engineering (CE)

,

shortcuts and tricks

;