Mechanical Engineering Exam  >  Mechanical Engineering Notes  >  Hydrostatic Thrusts on Submerged Plane Surface - Fluid Statics

Hydrostatic Thrusts on Submerged Plane Surface - Fluid Statics - Mechanical Engineering PDF Download

 Hydrostatic Thrusts on Submerged Plane Surface

Due to the existence of hydrostatic pressure in a fluid mass, a normal force is exerted on any part of a solid surface which is in contact with a fluid. The individual forces distributed over an area give rise to a resultant force.

Plane Surfaces

Consider a plane surface of arbitrary shape wholly submerged in a liquid so that the plane of the surface makes an angle θ with the free surface of the liquid. We will assume the case where the surface shown in the figure below is subjected to hydrostatic pressure on one side and atmospheric pressure on the other side.

Hydrostatic Thrusts on Submerged Plane Surface - Fluid Statics - Mechanical Engineering

Fig 5.1   Hydrostatic Thrust on Submerged Inclined Plane Surface

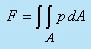
Let p denotes the gauge pressure on an elemental area dA. The resultant force F on the area A is therefore

Hydrostatic Thrusts on Submerged Plane Surface - Fluid Statics - Mechanical Engineering (5.1)

According to Eq (3.16a) Eq (5.1) reduces to

Hydrostatic Thrusts on Submerged Plane Surface - Fluid Statics - Mechanical Engineering (5.2)

Where h is the vertical depth of the elemental area dA from the free surface and the distance y is measured from the x-axis, the line of intersection between the extension of the inclined plane and the free surface (Fig. 5.1). The ordinate of the centre of area of the plane surface A is defined as

Hydrostatic Thrusts on Submerged Plane Surface - Fluid Statics - Mechanical Engineering (5.3)

Hence from Eqs (5.2) and (5.3), we get

Hydrostatic Thrusts on Submerged Plane Surface - Fluid Statics - Mechanical Engineering (5.4)

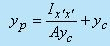
where Hydrostatic Thrusts on Submerged Plane Surface - Fluid Statics - Mechanical Engineering is the vertical depth (from free surface) of centre c of area .

Equation (5.4) implies that the hydrostatic thrust on an inclined plane is equal to the pressure at its centroid times the total area of the surface, i.e., the force that would have been experienced by the surface if placed horizontally at a depth hc from the free surface (Fig. 5.2).

Hydrostatic Thrusts on Submerged Plane Surface - Fluid Statics - Mechanical Engineering

Fig 5.2   Hydrostatic Thrust on Submerged Horizontal Plane Surface

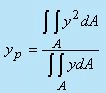
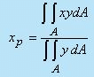
The point of action of the resultant force on the plane surface is called the centre of pressure cp. Let xp and ybe the distances of the centre of pressure from the y and x axes respectively. Equating the moment of the resultant force about the x axis to the summation of the moments of the component forces, we have

Hydrostatic Thrusts on Submerged Plane Surface - Fluid Statics - Mechanical Engineering (5.5)

Solving for yp from Eq. (5.5) and replacing F from Eq. (5.2), we can write

Hydrostatic Thrusts on Submerged Plane Surface - Fluid Statics - Mechanical Engineering (5.6)

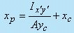
In the same manner, the x coordinate of the centre of pressure can be obtained by taking moment about the y-axis. Therefore,

Hydrostatic Thrusts on Submerged Plane Surface - Fluid Statics - Mechanical Engineering

From which,

Hydrostatic Thrusts on Submerged Plane Surface - Fluid Statics - Mechanical Engineering (5.7)

The two double integrals in the numerators of Eqs (5.6) and (5.7) are the moment of inertia about the x-axis Ixxand the product of inertia  Ixy about x and y axis of the plane area respectively. By applying the theorem of parallel axis

Hydrostatic Thrusts on Submerged Plane Surface - Fluid Statics - Mechanical Engineering (5.8)

Hydrostatic Thrusts on Submerged Plane Surface - Fluid Statics - Mechanical Engineering (5.9)

where, Hydrostatic Thrusts on Submerged Plane Surface - Fluid Statics - Mechanical Engineering and Hydrostatic Thrusts on Submerged Plane Surface - Fluid Statics - Mechanical Engineering are the moment of inertia and the product of inertia of the surface about the centroidal axes Hydrostatic Thrusts on Submerged Plane Surface - Fluid Statics - Mechanical Engineering, and yc are the coordinates of the center c of the area with respect to x-y axes.

With the help of Eqs (5.8), (5.9) and (5.3), Eqs (5.6) and (5.7) can be written as

Hydrostatic Thrusts on Submerged Plane Surface - Fluid Statics - Mechanical Engineering (5.10a)

Hydrostatic Thrusts on Submerged Plane Surface - Fluid Statics - Mechanical Engineering (5.10b)

The first term on the right hand side of the Eq. (5.10a) is always positive. Hence, the centre of pressure is always at a higher depth from the free surface than that at which the centre of area lies. This is obvious because of the typical variation of hydrostatic pressure with the depth from the free surface. When the plane area is symmetrical about the y' axis, Hydrostatic Thrusts on Submerged Plane Surface - Fluid Statics - Mechanical Engineering = 0, and Hydrostatic Thrusts on Submerged Plane Surface - Fluid Statics - Mechanical Engineeringxp = xc

 

Buoyancy

  • When a body is either wholly or partially immersed in a fluid, a lift is generated due to the net vertical component of hydrostatic pressure forces experienced by the body.

  • This lift is called the buoyant force and the phenomenon is called buoyancy

  • Consider a solid body of arbitrary shape completely submerged in a homogeneous liquid as shown in Fig. 5.4. Hydrostatic pressure forces act on the entire surface of the body.

                                           Hydrostatic Thrusts on Submerged Plane Surface - Fluid Statics - Mechanical Engineering
Hydrostatic Thrusts on Submerged Plane Surface - Fluid Statics - Mechanical Engineering

Fig 5.4     Buoyant Force on a Submerged Body

To calculate the vertical component of the resultant hydrostatic force, the body is considered to be divided into a number of elementary vertical prisms. The vertical forces acting on the two ends of such a prism of cross-section dAz (Fig. 5.4) are respectively

Hydrostatic Thrusts on Submerged Plane Surface - Fluid Statics - Mechanical Engineering (5.19a)

Hydrostatic Thrusts on Submerged Plane Surface - Fluid Statics - Mechanical Engineering   (5.19b)

Therefore, the buoyant force (the net vertically upward force) acting on the elemental prism of volume dHydrostatic Thrusts on Submerged Plane Surface - Fluid Statics - Mechanical Engineering is -

Hydrostatic Thrusts on Submerged Plane Surface - Fluid Statics - Mechanical Engineering (5.19c)

Hence the buoyant force FB on the entire submerged body is obtained as

Hydrostatic Thrusts on Submerged Plane Surface - Fluid Statics - Mechanical Engineering (5.20)

Where Hydrostatic Thrusts on Submerged Plane Surface - Fluid Statics - Mechanical Engineering is the total volume of the submerged body. The line of action of the force FB can be found by taking moment of the force with respect to z-axis. Thus

Hydrostatic Thrusts on Submerged Plane Surface - Fluid Statics - Mechanical Engineering (5.21)

Substituting for dFB and FB from Eqs (5.19c) and (5.20) respectively into Eq. (5.21), the x coordinate of the center of the buoyancy is obtained as 

 Hydrostatic Thrusts on Submerged Plane Surface - Fluid Statics - Mechanical Engineering(5.22)

which is the centroid of the displaced volume. It is found from Eq. (5.20) that the buoyant force FB equals to the weight of liquid displaced by the submerged body of volume Hydrostatic Thrusts on Submerged Plane Surface - Fluid Statics - Mechanical Engineering. This phenomenon was discovered by Archimedes and is known as the Archimedes principle.


ARCHIMEDES   PRINCIPLE

The buoyant force on a submerged body

  • The Archimedes principle states that the buoyant force on a submerged body is equal to the weight of liquid displaced by the body, and acts vertically upward through the centroid of the displaced volume.

  • Thus the net weight of the submerged body, (the net vertical downward force experienced by it) is reduced from its actual weight by an amount that equals the buoyant force.

The buoyant force on a partially immersed body

  • According to Archimedes principle, the buoyant force of a partially immersed body is equal to the weight of the displaced liquid.

  • Therefore the buoyant force depends upon the density of the fluid and the submerged volume of the body.

  •  For a floating body in static equilibrium and in the absence of any other external force, the buoyant force must balance the weight of the body. 

 

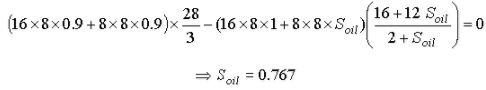
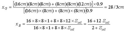
Example: For the float as given below, find the specific gravity of the oil.

Solution: Forces acting on the Float are

  1. its weight w acting downwards
  2. the buoyant force FB acting upward
  3. the tension T in the rope acting downwards

Taking moments about A we get -

WXG -FBXB =0     where

xG and xB are horizontal distances from A of the center of gravity and the center of buoyancy respectively.

Hydrostatic Thrusts on Submerged Plane Surface - Fluid Statics - Mechanical Engineering

Hydrostatic Thrusts on Submerged Plane Surface - Fluid Statics - Mechanical Engineering

where Soil is the specific gravity of the oil.

(Note: In the above equations length of float perpendicular to the plane of paper cancels out).

Now as mentioned earlier by moment balance.

Hydrostatic Thrusts on Submerged Plane Surface - Fluid Statics - Mechanical Engineering

Stability of Unconstrained Submerged Bodies in Fluid

  • The equilibrium of a body submerged in a liquid requires that the weight of the body acting through its cetre of gravity should be colinear with an equal hydrostatic lift acting through the centre of buoyancy.

  •  In general, if the body is not homogeneous in its distribution of mass over the entire volume, the location of centre of gravity G does not coincide with the centre of volume, i.e., the centre of buoyancy B.

  • Depending upon the relative locations of G and B, a floating or submerged body attains three different states of equilibrium-

Let us suppose that a body is given a small angular displacement and then released. Then it will be said to be in

  • Stable Equilibrium: If the body  returns to its original position by retaining the originally vertical axis as vertical. 
  • Unstable Equilibrium: If the body does not return to its original position but moves further from it.
  • Neutral Equilibrium: If the body  neither returns to its original position nor increases its displacement further, it will simply adopt its new position.

Stable Equilibrium

Consider a submerged body in equilibrium whose centre of gravity is located below the centre of buoyancy (Fig. 5.5a). If the body is tilted slightly in any direction, the buoyant force and the weight always produce a restoring couple trying to return the body to its original position (Fig. 5.5b, 5.5c).

Hydrostatic Thrusts on Submerged Plane Surface - Fluid Statics - Mechanical Engineering

Fig 5.5    A Submerged body in Stable Equilibrium

Unstable Equilibrium

On the other hand, if point G is above point B (Fig. 5.6a), any disturbance from the equilibrium position will create a destroying couple which will turn the body away from its original position (5.6b, 5.6c).

Hydrostatic Thrusts on Submerged Plane Surface - Fluid Statics - Mechanical Engineering

Fig 5.6    A Submerged body in Unstable Equilibrium

Neutral Equilibrium

When the centre of gravity G and centre of buoyancy B coincides, the body will always assume the same position in which it is placed (Fig 5.7) and hence it is in neutral equilibrium.

Hydrostatic Thrusts on Submerged Plane Surface - Fluid Statics - Mechanical Engineering

Fig 5.7    A Submerged body in Neutral Equilibrium

Therefore, it can be concluded that a submerged body will be in stable, unstable or neutral equilibrium if its centre of gravity is below, above or coincident with the center of buoyancy respectively (Fig. 5.8).

Hydrostatic Thrusts on Submerged Plane Surface - Fluid Statics - Mechanical Engineering

 

Fig 5.8   States of Equilibrium of a Submerged Body

(a) STABLE EQUILIBRIUM    (B) UNSTABLE EQUILIBRIUM      (C) NEUTRAL EQUILIBRIUM

 


Stability of Floating Bodies in Fluid

  • When the body undergoes an angular displacement about a horizontal axis, the shape of the immersed volume changes and so the centre of buoyancy moves relative to the body.

  •  As a result of above observation stable equlibrium can be achieved, under certain condition, even when G is above B. 
    Figure 5.9a illustrates a floating body -a boat, for example, in its equilibrium position.

Hydrostatic Thrusts on Submerged Plane Surface - Fluid Statics - Mechanical Engineering

 

Fig 5.9     A Floating body in Stable equilibrium

Important points to note here are

  1. The force of buoyancy FB is equal to the weight of the body W

  2. Centre of gravity G is above the centre of buoyancy in the same vertical line.

  3. Figure 5.9b shows the situation after the body has undergone a small angular displacement q with respect to the vertical axis.

  4. The centre of gravity G remains unchanged relative to the body (This is not always true for ships where some of the cargo may shift during an angular displacement).

  5. During the movement, the volume immersed on the right hand side increases while that on the left hand side decreases. Therefore the centre of buoyancy moves towards the right to its new position B'.

Let the new line of action of the buoyant force (which is always vertical) through B' intersects the axis BG (the old vertical line containing the centre of gravity G and the old centre of buoyancy B) at M. For small values of q the point M is practically constant in position and is known as metacentre. For the body shown in Fig. 5.9, M is above G, and the couple acting on the body in its displaced position is a restoring couple which tends to turn the body to its original position. If M were below G, the couple would be an overturning couple and the original equilibrium would have been unstable. When M coincides with G, the body will assume its new position without any further movement and thus will be in neutral equilibrium. Therefore, for a floating body, the stability is determined not simply by the relative position of B and G, rather by the relative position of M and G. The distance of metacentre above G along the line BG is known as metacentric height GM which can be written as

 

Explanation GM=BM-BG

Hydrostatic Thrusts on Submerged Plane Surface - Fluid Statics - Mechanical Engineering
          Hydrostatic Thrusts on Submerged Plane Surface - Fluid Statics - Mechanical Engineering    

 

For equilibrium FB = w

Due to symmetry of the situation, displaced volume remains unaltered and hence the buoyancy force

Thus,  F'= F

For couple calculation, F'can be equivalently taken as a sum of

  1. ΔF  (upward) due to added volume of fluid RQQ'
  2. ΔF  (downward) due to decreased volume RPP'

Let ΔC be the couple due to these forces. Taking an element of area dA on the surface RQQ' at a distance x from the center line (as shown in fig (c) ). Corresponding volume element is x ΔθdA and the buoyant force is ρgxΔθ dA. This produces the couple 2ρgx ΔθdA (due to symmetrically located element on RP' )

Therefore, Integrating     Hydrostatic Thrusts on Submerged Plane Surface - Fluid Statics - Mechanical Engineering

Now we have  Hydrostatic Thrusts on Submerged Plane Surface - Fluid Statics - Mechanical Engineering    where r is moment arm of   F'  about B.

Therefore, Hydrostatic Thrusts on Submerged Plane Surface - Fluid Statics - Mechanical Engineering 

Now from fig (d) ; Hydrostatic Thrusts on Submerged Plane Surface - Fluid Statics - Mechanical Engineering

Thus   Hydrostatic Thrusts on Submerged Plane Surface - Fluid Statics - Mechanical Engineering

This is the metacentric height

Example;

A hollow cylinder open at both ends has an internal diameter of 20cm, a wall thickness of 10 cm, and a length of 80cm. Given that the weight of the cylinder is 60kgf, comment on the stability of the cylinder.

Hydrostatic Thrusts on Submerged Plane Surface - Fluid Statics - Mechanical Engineering

Let 'h' be the depth of submersion, then displaced volume will be

Hydrostatic Thrusts on Submerged Plane Surface - Fluid Statics - Mechanical Engineering

Assuming density of water to be 1000 kg/m3 , for equilibrium of the cylinder

 

Weight of the cylinder = weight of the displaced water 

Hydrostatic Thrusts on Submerged Plane Surface - Fluid Statics - Mechanical Engineering

Therefore,

Hydrostatic Thrusts on Submerged Plane Surface - Fluid Statics - Mechanical Engineering
Hydrostatic Thrusts on Submerged Plane Surface - Fluid Statics - Mechanical Engineering

 

Therefore Metacentric Height, Hydrostatic Thrusts on Submerged Plane Surface - Fluid Statics - Mechanical Engineering

Therefore, MG<0  implies Cylinder is unstable

 

Hence the condition of stable equilibrium for a floating body can be expressed in terms of metacentric height as follows: 

GM > 0 (M is above G)                                      Stable equilibrium 
GM = 0 (M coinciding with G)                          Neutral equilibrium 
GM < 0 (M is below G)                                      Unstable equilibrium 

The angular displacement of a boat or ship about its longitudinal axis is known as 'rolling' while that about its transverse axis is known as "pitching".

Floating Bodies Containing Liquid

If a floating body carrying liquid with a free surface undergoes an angular displacement, the liquid will also move to keep its free surface horizontal. Thus not only does the centre of buoyancy B move, but also the centre of gravity G of the floating body and its contents move  in the same direction as the movement of B. Hence the stability of the body is reduced. For this reason, liquid which has to be carried in a  ship is put into a number of separate compartments so as to minimize its movement within the ship.

 

Period of Oscillation

The restoring couple caused by the buoyant force and gravity force acting on a floating body displaced from its equilibrium placed from its equilibrium position is  W GM sin θ (Fig. 5.9 ). Since the torque equals to mass moment of inertia (i.e., second moment of mass) multiplied by angular acceleration, it can be written

Where IM represents the mass moment of inertia of the body about its axis of rotation. The minus sign in the RHS of Eq. (5.23) arises since the torque is a retarding one and decreases the angular acceleration. If θ is small, sin θ=θ and hence Eq. (5.23) can be written as

 

Hydrostatic Thrusts on Submerged Plane Surface - Fluid Statics - Mechanical Engineering (5.23)

Hydrostatic Thrusts on Submerged Plane Surface - Fluid Statics - Mechanical Engineering  (5.24)

Equation (5.24) represents a simple harmonic motion. The time period (i.e., the time of a complete oscillation from one side to the other and back again) equals to  Hydrostatic Thrusts on Submerged Plane Surface - Fluid Statics - Mechanical Engineering . The oscillation of the body results in a flow of the liquid around it and this flow has been disregarded here. In practice, of course, viscosity in the liquid introduces a damping action which quickly suppresses the oscillation unless further disturbances such as waves cause new angular displacements.

The document Hydrostatic Thrusts on Submerged Plane Surface - Fluid Statics - Mechanical Engineering is a part of Mechanical Engineering category.
All you need of Mechanical Engineering at this link: Mechanical Engineering

FAQs on Hydrostatic Thrusts on Submerged Plane Surface - Fluid Statics - Mechanical Engineering

1. What is hydrostatic thrust on a submerged plane surface?
Ans. Hydrostatic thrust on a submerged plane surface refers to the force exerted by a fluid at rest on the surface due to the pressure distribution. It is a result of the hydrostatic pressure acting on the surface, which is proportional to the depth of the fluid and the density of the fluid.
2. How is the hydrostatic thrust calculated on a submerged plane surface?
Ans. The hydrostatic thrust on a submerged plane surface can be calculated using the formula: Thrust = Pressure × Area. The pressure can be determined using the equation: Pressure = Fluid density × Gravitational acceleration × Depth. By substituting the pressure value into the thrust formula and multiplying it by the surface area, the hydrostatic thrust can be determined.
3. What factors affect the hydrostatic thrust on a submerged plane surface?
Ans. The hydrostatic thrust on a submerged plane surface depends on several factors, including the density of the fluid, the depth of the fluid, and the surface area of the object. Additionally, it is influenced by the gravitational acceleration, which determines the weight of the fluid above the surface.
4. How does the shape of the submerged plane surface impact the hydrostatic thrust?
Ans. The shape of the submerged plane surface does not directly impact the hydrostatic thrust. The hydrostatic thrust primarily depends on the depth of the fluid and the density of the fluid, rather than the shape of the surface. However, the surface area of the submerged object does affect the magnitude of the hydrostatic thrust.
5. Can the hydrostatic thrust on a submerged plane surface be greater than the weight of the fluid?
Ans. Yes, the hydrostatic thrust on a submerged plane surface can be greater than the weight of the fluid. This occurs when the surface area of the object is larger or when the fluid is denser. In such cases, the pressure exerted on the surface is higher, resulting in a greater hydrostatic thrust.
Download as PDF

Top Courses for Mechanical Engineering

Related Searches

mock tests for examination

,

MCQs

,

video lectures

,

Summary

,

Objective type Questions

,

ppt

,

Hydrostatic Thrusts on Submerged Plane Surface - Fluid Statics - Mechanical Engineering

,

shortcuts and tricks

,

Sample Paper

,

study material

,

Hydrostatic Thrusts on Submerged Plane Surface - Fluid Statics - Mechanical Engineering

,

Exam

,

Hydrostatic Thrusts on Submerged Plane Surface - Fluid Statics - Mechanical Engineering

,

Important questions

,

past year papers

,

pdf

,

Previous Year Questions with Solutions

,

Semester Notes

,

Viva Questions

,

Free

,

practice quizzes

,

Extra Questions

;