B Com Exam  >  B Com Notes  >  Business Mathematics and Statistics  >  Methods of Extrapolation - Interpolation and Extrapolation, Business Mathematics and Statistics

Methods of Extrapolation - Interpolation and Extrapolation, Business Mathematics and Statistics | Business Mathematics and Statistics - B Com PDF Download

Polynomial and Rational Extrapolation

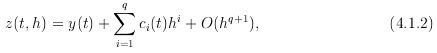
In Chapter ,  we used extrapolation as a tool to estimate the discretization errors of high - order Runge - Kutta methods. We learned that these error estimates are "asymptotically correct;"thus, they converge at the same rate as actual discretization errors. Indeed, using local extrapolation, we added these error estimates to the computed solution to obtain a higher - order approximation. In this chapter, we study the use of low - order methods with repeated extrapolation to obtain high - order methods satisfying prescribed accuracy criteria. As in previous chapters, we'll consider the scalar IVP

Methods of Extrapolation - Interpolation and Extrapolation, Business Mathematics and Statistics | Business Mathematics and Statistics - B Com

Methods of Extrapolation - Interpolation and Extrapolation, Business Mathematics and Statistics | Business Mathematics and Statistics - B Com.

Methods of Extrapolation - Interpolation and Extrapolation, Business Mathematics and Statistics | Business Mathematics and Statistics - B Com

Methods of Extrapolation - Interpolation and Extrapolation, Business Mathematics and Statistics | Business Mathematics and Statistics - B Com

Methods of Extrapolation - Interpolation and Extrapolation, Business Mathematics and Statistics | Business Mathematics and Statistics - B Com

Methods of Extrapolation - Interpolation and Extrapolation, Business Mathematics and Statistics | Business Mathematics and Statistics - B Com

  Methods of Extrapolation - Interpolation and Extrapolation, Business Mathematics and Statistics | Business Mathematics and Statistics - B Com

Methods of Extrapolation - Interpolation and Extrapolation, Business Mathematics and Statistics | Business Mathematics and Statistics - B Com

Methods of Extrapolation - Interpolation and Extrapolation, Business Mathematics and Statistics | Business Mathematics and Statistics - B Com

  Methods of Extrapolation - Interpolation and Extrapolation, Business Mathematics and Statistics | Business Mathematics and Statistics - B Com

Methods of Extrapolation - Interpolation and Extrapolation, Business Mathematics and Statistics | Business Mathematics and Statistics - B Com

  Methods of Extrapolation - Interpolation and Extrapolation, Business Mathematics and Statistics | Business Mathematics and Statistics - B Com

Methods of Extrapolation - Interpolation and Extrapolation, Business Mathematics and Statistics | Business Mathematics and Statistics - B Com

Methods of Extrapolation - Interpolation and Extrapolation, Business Mathematics and Statistics | Business Mathematics and Statistics - B Com

Methods of Extrapolation - Interpolation and Extrapolation, Business Mathematics and Statistics | Business Mathematics and Statistics - B Com

Methods of Extrapolation - Interpolation and Extrapolation, Business Mathematics and Statistics | Business Mathematics and Statistics - B Com

Methods of Extrapolation - Interpolation and Extrapolation, Business Mathematics and Statistics | Business Mathematics and Statistics - B Com

Methods of Extrapolation - Interpolation and Extrapolation, Business Mathematics and Statistics | Business Mathematics and Statistics - B Com

Methods of Extrapolation - Interpolation and Extrapolation, Business Mathematics and Statistics | Business Mathematics and Statistics - B Com

Methods of Extrapolation - Interpolation and Extrapolation, Business Mathematics and Statistics | Business Mathematics and Statistics - B Com

Methods of Extrapolation - Interpolation and Extrapolation, Business Mathematics and Statistics | Business Mathematics and Statistics - B Com

Methods of Extrapolation - Interpolation and Extrapolation, Business Mathematics and Statistics | Business Mathematics and Statistics - B Com

Methods of Extrapolation - Interpolation and Extrapolation, Business Mathematics and Statistics | Business Mathematics and Statistics - B Com

 

Methods of Extrapolation - Interpolation and Extrapolation, Business Mathematics and Statistics | Business Mathematics and Statistics - B Com

Methods of Extrapolation - Interpolation and Extrapolation, Business Mathematics and Statistics | Business Mathematics and Statistics - B Com

Methods of Extrapolation - Interpolation and Extrapolation, Business Mathematics and Statistics | Business Mathematics and Statistics - B Com

Methods of Extrapolation - Interpolation and Extrapolation, Business Mathematics and Statistics | Business Mathematics and Statistics - B Com

Methods of Extrapolation - Interpolation and Extrapolation, Business Mathematics and Statistics | Business Mathematics and Statistics - B Com

Methods of Extrapolation - Interpolation and Extrapolation, Business Mathematics and Statistics | Business Mathematics and Statistics - B Com

Methods of Extrapolation - Interpolation and Extrapolation, Business Mathematics and Statistics | Business Mathematics and Statistics - B Com

Methods of Extrapolation - Interpolation and Extrapolation, Business Mathematics and Statistics | Business Mathematics and Statistics - B Com

Methods of Extrapolation - Interpolation and Extrapolation, Business Mathematics and Statistics | Business Mathematics and Statistics - B Com

Methods of Extrapolation - Interpolation and Extrapolation, Business Mathematics and Statistics | Business Mathematics and Statistics - B Com

Methods of Extrapolation - Interpolation and Extrapolation, Business Mathematics and Statistics | Business Mathematics and Statistics - B Com

Methods of Extrapolation - Interpolation and Extrapolation, Business Mathematics and Statistics | Business Mathematics and Statistics - B Com

Methods of Extrapolation - Interpolation and Extrapolation, Business Mathematics and Statistics | Business Mathematics and Statistics - B Com

Methods of Extrapolation - Interpolation and Extrapolation, Business Mathematics and Statistics | Business Mathematics and Statistics - B Com

Methods of Extrapolation - Interpolation and Extrapolation, Business Mathematics and Statistics | Business Mathematics and Statistics - B Com

 

Methods of Extrapolation - Interpolation and Extrapolation, Business Mathematics and Statistics | Business Mathematics and Statistics - B Com

Methods of Extrapolation - Interpolation and Extrapolation, Business Mathematics and Statistics | Business Mathematics and Statistics - B Com

Methods of Extrapolation - Interpolation and Extrapolation, Business Mathematics and Statistics | Business Mathematics and Statistics - B Com

Methods of Extrapolation - Interpolation and Extrapolation, Business Mathematics and Statistics | Business Mathematics and Statistics - B Com

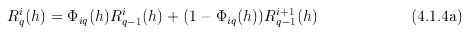
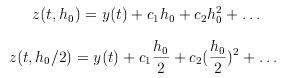
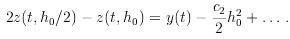
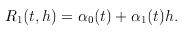
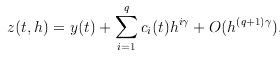
Now the order of the approximation is increased by  in each successive column of the extrapolation tableau If the trapezoidal rule is solved exactly at each step then it has an expansion in powers of h       
 Extrapolation with rational functions is also possible      Section II
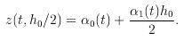
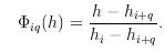
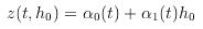
 The basic idea is to approximate z    t h
 by a rational function R    h
 and then evaluate R    

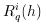
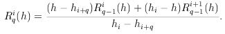
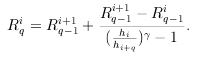
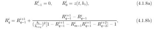
 Bulirsch and Stoer 
 derived a scheme where Rqi     h
 is dened as the rational approximation that interpolates z    t h
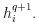
 at h  hi hi  hiq for h  hi  hi    hiq  The values of Rqi  Rqi     

 can be obtained from the following recursion

Methods of Extrapolation - Interpolation and Extrapolation, Business Mathematics and Statistics | Business Mathematics and Statistics - B Com

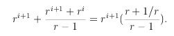
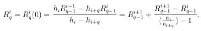
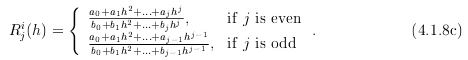
when the method has an error expansion in powers of h The computation of Methods of Extrapolation - Interpolation and Extrapolation, Business Mathematics and Statistics | Business Mathematics and Statistics - B Comac cording to      
b
 is equivalent to interpolating z    t h
 by a function of the form

Methods of Extrapolation - Interpolation and Extrapolation, Business Mathematics and Statistics | Business Mathematics and Statistics - B Com

There are several enhancements to the basic extrapolation approach Some of these
follow 
 A variableorder extrapolation algorithm could choose the order     ie the number of columns in the tableau
 adaptively Error estimates can be computed as the dif ference between the rst subdiagonal element and the diagonal or by the dierence between two successive diagonal elements  Extrapolation methods can be written as RungeKutta methods if the step size and order of the extrapolation are xed In this case convergence stability and error bounds follow from the results of Chapter for general onestep methods   Implicit methods can be used in combination with extrapolation to solve sti problems A survey of the state of the art was written by Deuhard   who prefers polynomial extrapolation to rational extrapolation because rational extrapolation lacks translation invariance rational extrapolation can impose restrictions on the base step size and polynomial extrapolation is slightly more ecient

The document Methods of Extrapolation - Interpolation and Extrapolation, Business Mathematics and Statistics | Business Mathematics and Statistics - B Com is a part of the B Com Course Business Mathematics and Statistics.
All you need of B Com at this link: B Com
124 videos|176 docs

FAQs on Methods of Extrapolation - Interpolation and Extrapolation, Business Mathematics and Statistics - Business Mathematics and Statistics - B Com

1. What is the difference between interpolation and extrapolation?
Ans. Interpolation and extrapolation are both methods of estimating values between or beyond known data points. However, the main difference between them lies in the range of estimation. Interpolation involves estimating values within the range of known data points, while extrapolation involves estimating values outside the range of known data points.
2. How is interpolation used in business mathematics and statistics?
Ans. Interpolation is a valuable tool in business mathematics and statistics as it allows for the estimation of values within a given range. This can be useful in various scenarios, such as predicting sales figures based on existing data or estimating future trends based on historical patterns. By using interpolation techniques, businesses can make informed decisions and projections.
3. What are the limitations of extrapolation in business mathematics and statistics?
Ans. Extrapolation in business mathematics and statistics can be useful for predicting future trends or values. However, it has certain limitations. One limitation is that extrapolation assumes that the underlying patterns in the data will continue to hold true in the future. This may not always be the case, especially in situations where external factors or unforeseen events can significantly impact the trends. Therefore, caution should be exercised when relying solely on extrapolation for decision-making.
4. How can interpolation and extrapolation be used together in business analysis?
Ans. Interpolation and extrapolation can be used together in business analysis to provide a more comprehensive understanding of data patterns and trends. Interpolation helps estimate values within a known range, providing a detailed view of existing data. On the other hand, extrapolation extends this understanding beyond the existing data range, allowing for predictions and projections. By combining both techniques, businesses can make more accurate and reliable decisions based on a broader perspective of the data.
5. What are some common interpolation and extrapolation methods used in business mathematics and statistics?
Ans. There are several common methods used for interpolation and extrapolation in business mathematics and statistics. Some of these methods include linear interpolation, polynomial interpolation, cubic spline interpolation, and exponential smoothing. Each method has its own advantages and limitations, and the choice of method depends on the specific data and context of the analysis.
Related Searches

shortcuts and tricks

,

Methods of Extrapolation - Interpolation and Extrapolation

,

ppt

,

Previous Year Questions with Solutions

,

Important questions

,

practice quizzes

,

Objective type Questions

,

Business Mathematics and Statistics | Business Mathematics and Statistics - B Com

,

Viva Questions

,

Semester Notes

,

Business Mathematics and Statistics | Business Mathematics and Statistics - B Com

,

Exam

,

video lectures

,

Methods of Extrapolation - Interpolation and Extrapolation

,

mock tests for examination

,

Methods of Extrapolation - Interpolation and Extrapolation

,

Summary

,

Extra Questions

,

study material

,

pdf

,

Sample Paper

,

Business Mathematics and Statistics | Business Mathematics and Statistics - B Com

,

past year papers

,

Free

,

MCQs

;