B Com Exam  >  B Com Notes  >  Business Mathematics and Statistics  >  Newton's Interpolation - Interpolation and Extrapolation, Business Mathematics and Statistics

Newton's Interpolation - Interpolation and Extrapolation, Business Mathematics and Statistics | Business Mathematics and Statistics - B Com PDF Download

Newton's Interpolation Formulae

As stated earlier, interpolation is the process of approximating a given function, whose values are known at N + 1 tabular points, by a suitable polynomial, PN(x), of degree N which takes the values yi at x = xi for i = 0, 1,,...,N. Note that if the given data has errors, it will also be reflected in the polynomial so obtained.

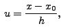
In the following, we shall use forward and backward differences to obtain polynomial function approximating  y = f(x), when the tabular points xi 's are equally spaced. Let

Newton`s Interpolation - Interpolation and Extrapolation, Business Mathematics and Statistics | Business Mathematics and Statistics - B Com

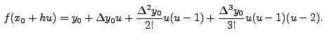
where the polynomial P(x) is given in the following form: 

P(x)

Newton`s Interpolation - Interpolation and Extrapolation, Business Mathematics and Statistics | Business Mathematics and Statistics - B Com

Newton`s Interpolation - Interpolation and Extrapolation, Business Mathematics and Statistics | Business Mathematics and Statistics - B Com (11.4.1)

 

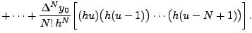
for some constants a0 , a1, .... ato be determined using the fact that PN (xi) = yi for i = 0,1,...,N

So, for i = o substitute x = x0 in (11.4.1) to get  PN (x0) = yThis gives us a0 = yNext,

Newton`s Interpolation - Interpolation and Extrapolation, Business Mathematics and Statistics | Business Mathematics and Statistics - B Com

So, Newton`s Interpolation - Interpolation and Extrapolation, Business Mathematics and Statistics | Business Mathematics and Statistics - B Com For  Newton`s Interpolation - Interpolation and Extrapolation, Business Mathematics and Statistics | Business Mathematics and Statistics - B Com or equivalently

 

Newton`s Interpolation - Interpolation and Extrapolation, Business Mathematics and Statistics | Business Mathematics and Statistics - B Com

Thus, Newton`s Interpolation - Interpolation and Extrapolation, Business Mathematics and Statistics | Business Mathematics and Statistics - B Com Now, using mathematical induction, we get

Newton`s Interpolation - Interpolation and Extrapolation, Business Mathematics and Statistics | Business Mathematics and Statistics - B Com

Thus, 

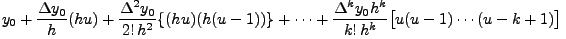
PN (x) = Newton`s Interpolation - Interpolation and Extrapolation, Business Mathematics and Statistics | Business Mathematics and Statistics - B Com

Newton`s Interpolation - Interpolation and Extrapolation, Business Mathematics and Statistics | Business Mathematics and Statistics - B Com

As this uses the forward differences, it is called NEWTON'S FORWARD DIFFERENCE FORMULA for interpolation, or simply, forward interpolation formula.

 

 

EXERCISE 11.4.1   Show that

Newton`s Interpolation - Interpolation and Extrapolation, Business Mathematics and Statistics | Business Mathematics and Statistics - B Com   andNewton`s Interpolation - Interpolation and Extrapolation, Business Mathematics and Statistics | Business Mathematics and Statistics - B Com

and in general,

Newton`s Interpolation - Interpolation and Extrapolation, Business Mathematics and Statistics | Business Mathematics and Statistics - B Com

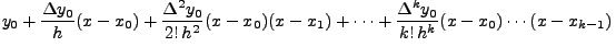
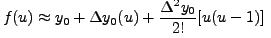
For the sake of numerical calculations, we give below a convenient form of the forward interpolation formula.

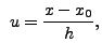
Let Newton`s Interpolation - Interpolation and Extrapolation, Business Mathematics and Statistics | Business Mathematics and Statistics - B Com then

Newton`s Interpolation - Interpolation and Extrapolation, Business Mathematics and Statistics | Business Mathematics and Statistics - B Com

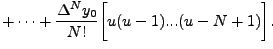
With this transformation the above forward interpolation formula is simplified to the following form: 

PN (u) = Newton`s Interpolation - Interpolation and Extrapolation, Business Mathematics and Statistics | Business Mathematics and Statistics - B Com

Newton`s Interpolation - Interpolation and Extrapolation, Business Mathematics and Statistics | Business Mathematics and Statistics - B Com

Newton`s Interpolation - Interpolation and Extrapolation, Business Mathematics and Statistics | Business Mathematics and Statistics - B Com

Newton`s Interpolation - Interpolation and Extrapolation, Business Mathematics and Statistics | Business Mathematics and Statistics - B Com (11.4.2)

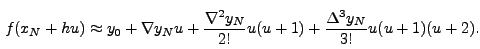
If N =1, we have a linear interpolation given by

Newton`s Interpolation - Interpolation and Extrapolation, Business Mathematics and Statistics | Business Mathematics and Statistics - B Com (11.4.3)

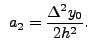
For N = 2, we get a quadratic interpolating polynomial:

Newton`s Interpolation - Interpolation and Extrapolation, Business Mathematics and Statistics | Business Mathematics and Statistics - B Com(11.4.4)

and so on.

It may be pointed out here that if f(x) is a polynomial function of degree N then PN (x) coincides with f(x) on the given interval. Otherwise, this gives only an approximation to the true values of f(x)

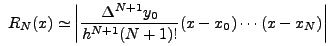
If we are given additional point xN+1 also, then the error, denoted by Newton`s Interpolation - Interpolation and Extrapolation, Business Mathematics and Statistics | Business Mathematics and Statistics - B Com is estimated by

Newton`s Interpolation - Interpolation and Extrapolation, Business Mathematics and Statistics | Business Mathematics and Statistics - B Com

Similarly, if we assume, PN(x) is of the form

Newton`s Interpolation - Interpolation and Extrapolation, Business Mathematics and Statistics | Business Mathematics and Statistics - B Com

then using the fact that PN (x= yi) we have

b= yN

b1 = Newton`s Interpolation - Interpolation and Extrapolation, Business Mathematics and Statistics | Business Mathematics and Statistics - B Com

bNewton`s Interpolation - Interpolation and Extrapolation, Business Mathematics and Statistics | Business Mathematics and Statistics - B Com

.

.

.

bNewton`s Interpolation - Interpolation and Extrapolation, Business Mathematics and Statistics | Business Mathematics and Statistics - B Com

Thus, using backward differences and the transformation  x= xN + hwe obtain the Newton's backward interpolation formula as follows:

Newton`s Interpolation - Interpolation and Extrapolation, Business Mathematics and Statistics | Business Mathematics and Statistics - B Com(11.4.5)

 

 

EXERCISE 11.4.2   Derive the Newton's backward interpolation formula (11.4.5) for N = 3

Remark 11.4.3   If the interpolating point lies closer to the beginning of the interval then one uses the Newton's forward formula and if it lies towards the end of the interval then Newton's backward formula is used.

 

Remark 11.4.4   For a given set of n tabular points, in general, all the n points need not be used for interpolating polynomial. In fact N is so chosen that Nth forward/backward difference almost remains constant. Thus N is less than or equal to n.

EXAMPLE 11.4.5  

  1. Obtain the Newton's forward interpolating polynomial, P(x) for the following tabular data and interpolate the value of the function at x = 0.0045.x

    x

    0

    0.001

    0.002

    0.003

    0.004

    0.005

    y

    1.121

    1.123

    1.1255

    1.127

    1.128

    1.1285


    Solution: For this data, we have the Forward difference difference table

     

    $ x_i$

    $ y_i$

    $ \Delta y_i$

    $ \Delta ^2 y_3$

    $ \Delta ^3 y_i$

    $ \Delta ^4 y_i$

    $ \Delta ^5 y_i$

     

    0

    1.121

    0.002

    0.0005

    -0.0015

    0.002

    -.0025

     

    .001

    1.123

    0.0025

    -0.0010

    0.0005

    -0.0005

     

     

    .002

    1.1255

    0.0015

    -0.0005

    0.0

     

     

     

    .003

    1.127

    0.001

    -0.0005

     

     

     

     

    .004

    1.128

    0.0005

     

     

     

     

     

    .005

    1.1285

     

     

     

     

     

     

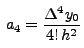
    Thus, for  x = x+ hu, where  x0 = 0, h = 0.001 and Newton`s Interpolation - Interpolation and Extrapolation, Business Mathematics and Statistics | Business Mathematics and Statistics - B Com we get 

    P5(x) = Newton`s Interpolation - Interpolation and Extrapolation, Business Mathematics and Statistics | Business Mathematics and Statistics - B Com
    Newton`s Interpolation - Interpolation and Extrapolation, Business Mathematics and Statistics | Business Mathematics and Statistics - B Com

    Thus, 

P5(0.0045) = P5 (0.001x4.5)

Newton`s Interpolation - Interpolation and Extrapolation, Business Mathematics and Statistics | Business Mathematics and Statistics - B Com

Newton`s Interpolation - Interpolation and Extrapolation, Business Mathematics and Statistics | Business Mathematics and Statistics - B Com

Newton`s Interpolation - Interpolation and Extrapolation, Business Mathematics and Statistics | Business Mathematics and Statistics - B Com

= 1.12840045.

2. Using the following table for  tan x, approximate its value at 0.71 Also, find an error estimate (Note  tan (0.71) = 0.85953).

$ x_i$

0.70

72

0.74

0.76

0.78

 

$ \tan x_i$

0.84229

0.87707

0.91309

0.95045

0.98926

 

Solution: As the point x = 0.71 lies towards the initial tabular values, we shall use Newton's Forward formula. The forward difference table is:

$ x_i$

$ y_i$

$ \Delta y_i$

$ \Delta^2 y_i$

$ \Delta ^3 y_i$

$ \Delta ^4 y_i$

 

 

0.70

0.84229

0.03478

0.00124

0.0001

0.00001

 

 

0.72

0.87707

0.03602

0.00134

0.00011

 

 

 

0.74

0.91309

0.03736

0.00145

 

 

 

 

0.76

0.95045

0.03881

 

 

 

 

 

0.78

0.98926

 

 

 

 

 

 

In the above table, we note that  Δ3y is almost constant, so we shall attempt 3rd degree polynomial interpolation.

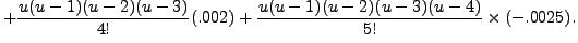
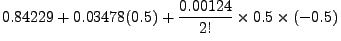
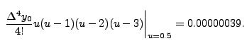
Note that  x= 0.70, h = 0.02 gives Newton`s Interpolation - Interpolation and Extrapolation, Business Mathematics and Statistics | Business Mathematics and Statistics - B Com Thus, using forward interpolating polynomial of degree 3, we get

Newton`s Interpolation - Interpolation and Extrapolation, Business Mathematics and Statistics | Business Mathematics and Statistics - B Com

Thus, tan(0.71) ≈ Newton`s Interpolation - Interpolation and Extrapolation, Business Mathematics and Statistics | Business Mathematics and Statistics - B Com

Newton`s Interpolation - Interpolation and Extrapolation, Business Mathematics and Statistics | Business Mathematics and Statistics - B Com

= 0.859535

An error estimate for the approximate value is

Newton`s Interpolation - Interpolation and Extrapolation, Business Mathematics and Statistics | Business Mathematics and Statistics - B Com

Note that exact value of  tan (0.71) (upto $ 5$ decimal place) is 0.85953 and the approximate value, obtained using the Newton's interpolating polynomial is very close to this value. This is also reflected by the error estimate given above.

3. Apply 3rd degree interpolation polynomial for the set of values given in Example 11.2.15, to estimate the value of  f (10.3) by taking

(i) x0 = 9.0,    (ii) x= 10.0

Also, find approximate value of  f (13.5)

Solution: Note that x = 10.3x is closer to the values lying in the beginning of tabular values, while x =13.5 is towards the end of tabular values. Therefore, we shall use forward difference formula for x = 10.3 and the backward difference formula for x = 13.5 Recall that the interpolating polynomial of degree 3 is given by

Newton`s Interpolation - Interpolation and Extrapolation, Business Mathematics and Statistics | Business Mathematics and Statistics - B Com

Therefore,

 

1. for x0 = 9.0, h = 1.0 and x = 10.3, we have Newton`s Interpolation - Interpolation and Extrapolation, Business Mathematics and Statistics | Business Mathematics and Statistics - B Com This gives, 

f (10.3) ≈ Newton`s Interpolation - Interpolation and Extrapolation, Business Mathematics and Statistics | Business Mathematics and Statistics - B Com

= 5.559

 

2. for x0 = 10.0, h=1.0 and x = 10.3 we have Newton`s Interpolation - Interpolation and Extrapolation, Business Mathematics and Statistics | Business Mathematics and Statistics - B Com This gives, 

f(10.3)  ≈  Newton`s Interpolation - Interpolation and Extrapolation, Business Mathematics and Statistics | Business Mathematics and Statistics - B Com

= 5.54115.

 

 


Note: as x = 10.3x is closer to  x = 10.0, we may expect estimate calculated using x0 = 10.0 to be a better approximation.

  1. for x0 = 13.5, we use the backward interpolating polynomial, which gives,

    Newton`s Interpolation - Interpolation and Extrapolation, Business Mathematics and Statistics | Business Mathematics and Statistics - B Com

     

    Therefore, taking x= 14, h = 1.0 and  x = 13.5, we have Newton`s Interpolation - Interpolation and Extrapolation, Business Mathematics and Statistics | Business Mathematics and Statistics - B Com This gives, 
    f(13.5) ≈ Newton`s Interpolation - Interpolation and Extrapolation, Business Mathematics and Statistics | Business Mathematics and Statistics - B Com

    = 7.8125 

     

EXERCISE 11.4.6  

  1. Following data is available for a function y = f(x)

     

    x

    0

    0.2

    0.4

    0.6

    0.8

    1.0

    y

    1.0

    0.808

    0.664

    0.616

    0.712

    1.0

    Compute the value of the function at x = 0.3 and x = 1.1

  2. The speed of a train, running between two station is measured at different distances from the starting station. If x is the distance in km from the starting station, then v (x) the speed (in km/hr ) of the train at the distance x is given by the following table:

    x

    0

    50

    100

    150

    200

    250

    v(x)

    0

    60

    80

    110

    90

    0

    Find the approximate speed of the train at the mid point between the two stations.

  3. Following table gives the values of the function Newton`s Interpolation - Interpolation and Extrapolation, Business Mathematics and Statistics | Business Mathematics and Statistics - B Com at the different values of the tabular points x,

    x

    0

    0.04

    0.08

    0.12

    0.16

    0.20

    S(x)

    0

    0.00003

    0.00026

    0.00090

    0.00214

    0.00419

    Obtain a fifth degree interpolating polynomial for S(x) Compute S (0.02) and also find an error estimate for it.

  4. Following data gives the temperatures (in 0C ) between 8.00 am to 8.00 pm. on May 10, 2005 in Kanpur:

    Time

    8 am

    12 noon

    4 pm

    8pm

    Temperature

    30

    37

    43

    38

    Obtain Newton's backward interpolating polynomial of degree $ 3$ to compute the temperature in Kanpur on that day at 5.00 pm.

The document Newton's Interpolation - Interpolation and Extrapolation, Business Mathematics and Statistics | Business Mathematics and Statistics - B Com is a part of the B Com Course Business Mathematics and Statistics.
All you need of B Com at this link: B Com
124 videos|176 docs

FAQs on Newton's Interpolation - Interpolation and Extrapolation, Business Mathematics and Statistics - Business Mathematics and Statistics - B Com

1. What is interpolation and extrapolation in the context of Newton's Interpolation?
Ans. Interpolation is a mathematical technique used to estimate values between known data points. In the context of Newton's Interpolation, it involves finding a polynomial that passes through a set of given points. Extrapolation, on the other hand, is the estimation of values beyond the range of known data points using the same polynomial.
2. How is Newton's Interpolation used in business mathematics?
Ans. Newton's Interpolation is commonly used in business mathematics for various purposes. It can be used to predict future sales or revenue based on historical data points, estimate the value of assets or investments, and analyze trends or patterns in business data. It provides a mathematical framework for making informed decisions and projections in the business world.
3. What are the advantages of using Newton's Interpolation over other interpolation methods?
Ans. Newton's Interpolation offers several advantages over other interpolation methods. Firstly, it provides a more accurate and precise estimation of values between known data points due to the use of higher-order polynomials. Secondly, it allows for the addition of new data points without recalculating the entire interpolation, making it more efficient and flexible. Lastly, Newton's Interpolation can handle unevenly spaced data points, unlike some other interpolation methods.
4. Are there any limitations or challenges associated with Newton's Interpolation?
Ans. Yes, there are certain limitations and challenges associated with Newton's Interpolation. One limitation is that it assumes a smooth and continuous relationship between data points, which may not always hold true in real-world scenarios. Another challenge is the possibility of oscillation or "Runge's phenomenon" when using high-degree polynomials, which can lead to inaccurate estimations. Additionally, Newton's Interpolation may not be suitable for large datasets as it can be computationally expensive.
5. How can one determine the accuracy or reliability of the interpolated or extrapolated values obtained through Newton's Interpolation?
Ans. The accuracy or reliability of interpolated or extrapolated values obtained through Newton's Interpolation can be assessed in multiple ways. One approach is to compare the interpolated values with actual data points that were not used in the interpolation process. If the interpolated values closely match the actual values, it indicates a higher degree of accuracy. Additionally, statistical measures such as the coefficient of determination (R-squared) can be calculated to quantify the goodness of fit between the interpolated values and the actual data.
Related Searches

Newton's Interpolation - Interpolation and Extrapolation

,

Viva Questions

,

Extra Questions

,

study material

,

Business Mathematics and Statistics | Business Mathematics and Statistics - B Com

,

Semester Notes

,

Sample Paper

,

pdf

,

practice quizzes

,

Summary

,

past year papers

,

mock tests for examination

,

Free

,

Objective type Questions

,

Exam

,

Business Mathematics and Statistics | Business Mathematics and Statistics - B Com

,

MCQs

,

Previous Year Questions with Solutions

,

Newton's Interpolation - Interpolation and Extrapolation

,

Newton's Interpolation - Interpolation and Extrapolation

,

Important questions

,

ppt

,

video lectures

,

shortcuts and tricks

,

Business Mathematics and Statistics | Business Mathematics and Statistics - B Com

;