Government Jobs Exam  >  Government Jobs Notes  >  Partition Functions and Their Relation to Thermodynamic Quantities - Physical Chemistry, CSIR-NET

Partition Functions and Their Relation to Thermodynamic Quantities - Physical Chemistry, CSIR-NET - Government Jobs PDF Download

Molecular Partition Functions

Introduction

We have been introduced to the three main ensembles used in statistical mechanics and some examples of calculations of partition functions were also given. In chemistry, we are concerned with a collection of molecules. If the molecules are reasonably far apart as in the case of a dilute gas, we can approximately treat the system as an ideal gas system and ignore the intermolecular forces. The present chapter deals with systems in which intermolecular interactions are ignored. The next chapters will include detailed consideration of intermolecular forces. In ensemble theory, we are concerned with the ensemble probability density, i.e., the fraction of members of the ensemble possessing certain characteristics such as a total energy E, volume V, number of particles N or a given chemical potential μ and so on. The molecular partition function enables us to calculate the probability of finding a collection of molecules with a given energy in a system. The equivalence of the ensemble approach and a molecular approach may be easily realized if we treat part of the molecular system to be in equilibrium with the rest of it and consider the probability distribution of molecules in this subsystem (which is actually quite large compared to systems containing a small number of molecules of the order of tens or hundreds). Since we are dealing with number of particles of the order of Avogadro number, the ensemble description and the molecular descriptions are equivalent. The energies of atoms and molecules are quantized. While atoms have only electronic energy levels, molecules have quantized energy levels arising from electronic, vibrational and rotational motion. A schematic energy level diagram is shown in Fig. 3.1.

We have already seen that in the canonical ensemble, the probability of a system having energy Ei is proportional to the Boltzmann factor and is given in terms of the canonical
partition function q by

Partition Functions and Their Relation to Thermodynamic Quantities - Physical Chemistry, CSIR-NET - Government Jobs  (3.1)

Where q is defined by

Partition Functions and Their Relation to Thermodynamic Quantities - Physical Chemistry, CSIR-NET - Government Jobs  (3.2)

Here, b = 1/ kT and e– βEi  is called the Boltzmann factor. Often the Boltzmann constant is written as kB. But when there is no ambiguity, we will simply write k. Once we know the probability distribution for energy, we can calculate thermodynamic properties like the energy, entropy, free energies and heat capacities, which are all average quantities. To calculate P(Ei)s we need the energy levels of a system. The energy ("levels") of a system can be built up from the molecular energy levels. We will consider
the simpler problem of molecular energy levels which are pictorially shown in the Fig 3.1.

Partition Functions and Their Relation to Thermodynamic Quantities - Physical Chemistry, CSIR-NET - Government Jobs

Figure 3.1 A schematic diagram showing electronic (bold lines), vibrational and rotational energy levels. The electronic quantum umbers are shown to the extreme right.
Vibrational quantum numbers are to shown in the extreme left. The rotational quantum numbers are shown between the vibrational levels.

Electronic, Vibrational, Rotational and Translational Partition Functions

The electronic energy levels are generally very widely separated in energy compared to the thermal energy kT at room temperature. In each electronic level, there are several
vibrational levels and for each vibrational level, there are several rotational states. This is a simplified and useful model to start with. The total energy is a sum of all these energies and is given by

Etotal = Eelectronic + Evibrational + Erotational + Etranslational + Eothers       (3.3)

The term Eothers includes nuclear spin energy levels and may also be used later to include the interactions between the first four. Assuming the first three to be independent and neglecting the last term, the molecular partition function (ie, a sum over the molecular energy states) is given by

Partition Functions and Their Relation to Thermodynamic Quantities - Physical Chemistry, CSIR-NET - Government Jobs Partition Functions and Their Relation to Thermodynamic Quantities - Physical Chemistry, CSIR-NET - Government Jobs

Here, the summation is over the electronic, vibrational and rotational states can be done separately since they are assumed to be independent. Therefore,

q = q el q vib q rot q trans       (3.5)

The molecular partition q function is written as the product of electronic, vibrational, rotational and partition functions.

The partition function is a sum over states (of course with the Boltzmann factor b multiplying the energy in the exponent) and is a number. Larger the value of q, larger the
number of states which are available for the molecular system to occupy. Since Eel > Evib > Erot > Etrans, there are far too many translational states available compared to
the rotational, vibrational and electronic states. qel is very nearly unity, qvib and qrot are in the range of 1 to 100 while q trans can be much in excess of 10 20. We shall calculate the values of these qs and indicate how these qs are useful in calculating the equilibrium constants and also in certain cases, the rate constants.

Using the standard formulae for the translational, rotational and vibrational energy levels, we will now calculate the molecular translational, vibrational and rotational
partition functions for diatomic molecules first.

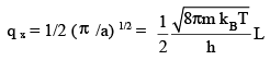
The Translational Partition Function, qtr.

Consider a molecule confined to a cubic box. A molecule inside a cubic box of length L has the translational energy levels given by Etr = h2 (nx2 + ny2 + nz2) / 8 mL2 where nx, ny and nz are the quantum numbers in the three directions (See Chapter 1 for details). The translational partition function is given by

Partition Functions and Their Relation to Thermodynamic Quantities - Physical Chemistry, CSIR-NET - Government Jobs  (3.6)

∴q tr = qx qy qz,  (3.7)

Which is the product of translational partition functions in the three directions. Since the levels are very closely spaced, we can replace the sum by an integral

  Partition Functions and Their Relation to Thermodynamic Quantities - Physical Chemistry, CSIR-NET - Government Jobs Partition Functions and Their Relation to Thermodynamic Quantities - Physical Chemistry, CSIR-NET - Government Jobs  (3.8)

using

Partition Functions and Their Relation to Thermodynamic Quantities - Physical Chemistry, CSIR-NET - Government Jobs

  Partition Functions and Their Relation to Thermodynamic Quantities - Physical Chemistry, CSIR-NET - Government Jobs Partition Functions and Their Relation to Thermodynamic Quantities - Physical Chemistry, CSIR-NET - Government Jobs  (3.9)

where, Λ is the de Broglie thermal wavelength given by

Partition Functions and Their Relation to Thermodynamic Quantities - Physical Chemistry, CSIR-NET - Government Jobs

Multipying qx, qy and qz, and using V = volume of the box = L3, we have,

q tr = [ 2 π m kBT / h2]3/2 V = V / Λ3         (3.10))

This is usually a very large number (10 20) for volumes of 1 cm 3 for a typical small molecular mass. This means that such a large number of translational states are accessible
or available for occupation by the molecules of a gas.

Example 3.1 Calculate the translational partition function of an I2 molecule at 300K. Assume V to be 1 liter.

Solution: Mass of I2 is 2 X 127 X 1.6606 X 10-27 kg

2πmkBT = 2 X 3.1415 X (2 X 127 X 1.6606 X 10-27 kg) X 1.3807 X 10-23 J/K X 300 K

= 1.0969 X 10-44 J kg

Λ = h / (2 π m kB T)1/2 = 6.6262 X 10-34 J s / (1.0969 X 10-44 J kg)1/2 = 6.326 X 10-12m

q tr = V / Λ3 = 1000 X 10-6 m3 / (6.326 X 10-12 m )3 = 3.95 X 1030. This means that 3.95 X

1030 quantum states are thermally accessible to the molecular system

The Rotational Partition Function of a Diatomic

The rotational energy levels of a diatomic molecule are given by

Partition Functions and Their Relation to Thermodynamic Quantities - Physical Chemistry, CSIR-NET - Government Jobs  (3.11)

Here,  Partition Functions and Their Relation to Thermodynamic Quantities - Physical Chemistry, CSIR-NET - Government Jobs is the rotational constant expresses in cm-1. The rotational energy levels are given by

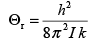
by εJ = J(J +1)h2 /8π2I,where I is the moment of inertia of the molecule given by μr2 where, μ is the reduced mass and r, the bond length. Often, the energies are also expressed in terms of the rotational temperature, Θr or Θrot , which is defined as

Partition Functions and Their Relation to Thermodynamic Quantities - Physical Chemistry, CSIR-NET - Government Jobs        (3.12)

In the summation for the expression for q rot, Eq. (3.13), we can do an explicit summation 

Partition Functions and Their Relation to Thermodynamic Quantities - Physical Chemistry, CSIR-NET - Government Jobs (3.13)

if only a few terms contribute. The factor (2J+1) for each term accounts for the degeneracy of a rotational state J. If energy EJ is degenerate with (2 J + 1) states corresponding to it, then, the Boltzmann factor e - E rot,j / k Bhas to be multiplied by (2J+ 1) to account for all these states. If the rotational energy levels are lying very close to one another, we can integrate similar to what we did for q trans above to get 

  Partition Functions and Their Relation to Thermodynamic Quantities - Physical Chemistry, CSIR-NET - Government Jobs  (3.14)

the integration can be easily be done by substituting x = J ( J+1) and dx = (2J + 1) dJ

Partition Functions and Their Relation to Thermodynamic Quantities - Physical Chemistry, CSIR-NET - Government Jobs    (3.15)

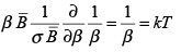
For a homonuclear diatomic molecule, rotating the molecule by 180o brings the molecule into a configuration which is indistinguishable from the original configuration. This leads to an overcounting of the accessible states. To correct for this, we divide the partition function by σ, which is called the symmetry number, which is equal to the distinct number of ways by which a molecule can be brought into identical configurations by rotations. The rotational partition function becomes,

Partition Functions and Their Relation to Thermodynamic Quantities - Physical Chemistry, CSIR-NET - Government Jobs  (3.16)

Example 3.2  What is the rotational partition function of H2 at 300K?

Solution: The value of Partition Functions and Their Relation to Thermodynamic Quantities - Physical Chemistry, CSIR-NET - Government Jobs for H2 is 60.864 cm-1. The value of kBT in cm-1 can be obtained by dividing it by hc, i.e., (kBT/hc)  = 209.7 cm-1at 300K. σ = 2 for a homonuclear molecule. Therefore, qrot = kT/σ Partition Functions and Their Relation to Thermodynamic Quantities - Physical Chemistry, CSIR-NET - Government Jobs = 209.7/(2X60.864) = 1.723. Since the rotational frequency of H2 is quite large, only the first few rotational states are accessible to at at 300K.

3.1.3 The Vibrational Partition Function of a Diatomic

The vibrational energy levels of a diatomic are given by

En = (n +1/2 ) hν          (3.17)

where is ν the vibrational frequency and n is the vibrational quantum number. In this case, it is easy to sum the geometric series shown below 

Partition Functions and Their Relation to Thermodynamic Quantities - Physical Chemistry, CSIR-NET - Government Jobs   (3.18)

= e - h ν / (2 k BT) (1 + e - h ν / k BT + e - 2 h ν / k BT +.....)

= e − h ν / 2 kT (1 + x + x2 + x3....)       (3.19)

= e − h ν / 2 k T [1 / (1- x)]       (3.20)       

where x = e− h ν/ kBT which is less than 1. Threfore,

Partition Functions and Their Relation to Thermodynamic Quantities - Physical Chemistry, CSIR-NET - Government Jobs  (3.21)

Partition Functions and Their Relation to Thermodynamic Quantities - Physical Chemistry, CSIR-NET - Government Jobs (3.22)

if the zero of energy scale is at hν/2kT . Analogous to Θr, a vibrational temperature Θv  or Θvib may be defined as Partition Functions and Their Relation to Thermodynamic Quantities - Physical Chemistry, CSIR-NET - Government Jobs where, Partition Functions and Their Relation to Thermodynamic Quantities - Physical Chemistry, CSIR-NET - Government Jobs is the vibrational frequency in cm-1.

Example 3.3 Calculate the vibrational partition function of I2 at 300K.

Solution: The vibrational frequency of of I2 is 214.57 cm-1. hν/kT = 214.57/209.7 = 1.0232

e -hν/kT = 0.3595∴ qvib = 1/(1-0.3595) = 1.561. This implies, as before, that very few vibrational states are accessible.

3.1.4 The Electronic Partition Function

Writing the electronic energy as E1, E2, E3,…with degeneracies g1, g2, g3,…the electronic partition function is given by

Partition Functions and Their Relation to Thermodynamic Quantities - Physical Chemistry, CSIR-NET - Government Jobs   (3.23)

Usually, E1<< E2 or E3. Treating E1 to be the reference value of zero of energy, we get, 

q el = g1        (3.24)

which is the ground state degeneracy of the system.

Example 3.4 Find the electronic partition of H2 at 300 K. 

Solution: The lowest electronic energy level of H2 is near - 32 eV and the next level is about 5 eV higher. Taking - 32 eV as the zero (or reference value of energy), 

qei = e0 + e-5 eV / kT + ...

At 300 K, T = 0.02eV and qel = 1 + e-200 +... ≈ 1.0

Where all terms other than the first are nearly 0. This implies that qel = 1. The physical meaning of this is that only the ground electronic state is generally accessible at room temperature.

Representative data useful for calculating the electronic, vibrational, and rotational partition functions is given in Table 3.1. The electronic degeneracy is represented as g.
The vibrational frequency is written as Partition Functions and Their Relation to Thermodynamic Quantities - Physical Chemistry, CSIR-NET - Government Jobs . The dissociation energy is written as D0. It is quite straight forward to calculate the above partition functions for these molecules.

Table 3.1 Representative molecular data for a few diatomics. 

Molecule

g

Bond Length(A)

Partition Functions and Their Relation to Thermodynamic Quantities - Physical Chemistry, CSIR-NET - Government Jobscm-1

Partition Functions and Their Relation to Thermodynamic Quantities - Physical Chemistry, CSIR-NET - Government Jobs

Partition Functions and Their Relation to Thermodynamic Quantities - Physical Chemistry, CSIR-NET - Government Jobs

Partition Functions and Their Relation to Thermodynamic Quantities - Physical Chemistry, CSIR-NET - Government Jobs

Force consta nt k (dynes /cm)

D0

(kcal/mol)

H2

1

0.7414

4400

6332

60.9

87.6

5.749

103.2

D2

1

0.7415

3118

4487

30.45

43.8

5.77

104.6

N2

1

1.097

2358

3393

2.001

2.99

22.94

225.1

O2

3

1.207

1580

2274

1.446

2.08

11.76

118.0

Cl2

1

1.987

560

805

0.244

0.351

3.2

57.1

CO

1

1.128

2170

3122

1.931

2.78

19.03

255.8

NO

2

1.15

1890

2719

1.695

2.45

15.7

150.0

HCl

1

1.275

2938

4227

10.44

15.02

4.9

102.2

HI

1

1.609

2270

3266

6.46

9.06

3.0

70.5

Na2

1

3.096

159

229

0.154

0.221

0.17

17.3

K2

1

3.979

92.3

133

0.0561

0.081

0.10

11.8

Example 3.5 Express the partition function of a collection of N molecules Q in terms of the molecular partition function q.  

Solution: Assuming the N molecules to be independent, the total energy E of molecules is a sum of individual molecular energies Es and 

Partition Functions and Their Relation to Thermodynamic Quantities - Physical Chemistry, CSIR-NET - Government Jobs Partition Functions and Their Relation to Thermodynamic Quantities - Physical Chemistry, CSIR-NET - Government Jobs (3.25)

= q.q....q = q N   (3.26)

Here  Partition Functions and Their Relation to Thermodynamic Quantities - Physical Chemistry, CSIR-NET - Government Jobs are energies of individual molecules and a sum of all Es can only come from summing over all εi s. Gibbs postulated that 
Q = qN / N!       (3.27) 

The N! in the denominator is due to the indistinguishability of the tiny molecules (or other quantum particles in a collection).

Example 3.6 Derive the Maxwell Boltzmann distribution of molecular speeds.

Solution: If we represent a molecular velocity by vr, it has three independent components vx , vy and vz in the three directions x, y and z. Let us consider monatomic gas of mass m. The probability F ( x , y , z) that given molecule will have velocity components lying between x and x + dx, y and y + dy and z and z + dz can be written as F (x, y, z) dz dy dz = f (x) f (y) f(z) dx dy dz.

F is written as a product of three functions f because x, y and z are independent and since nature does not distinguish between x, y and z (unless directional fields like gravitational or electromagnetic are present), the form of f is the same in the three directions. Again, since there is no distinction between positive and negative x, f depends on | x | or x2. We can rephrase the above equation as  

F( ) = f ( ) f ( ) f( )     (3.28)

The only function that satisfies the above equation is an exponential function since   Partition Functions and Their Relation to Thermodynamic Quantities - Physical Chemistry, CSIR-NET - Government Jobs and so we conclude that f ( ) may be written as 

Partition Functions and Their Relation to Thermodynamic Quantities - Physical Chemistry, CSIR-NET - Government Jobs   (3.29)

We take only the negative exponent (C and b are positive) because a positive exponent implies that very large velocities have very high probabilities which is highly unlikely.
To evaluate C, We invoke the physical argument that the velocity has to lie somewhere between - ∞ to + ∞ and that the total probability is 1 i.e., 

Partition Functions and Their Relation to Thermodynamic Quantities - Physical Chemistry, CSIR-NET - Government Jobs

The above integral is a standard integral   Partition Functions and Their Relation to Thermodynamic Quantities - Physical Chemistry, CSIR-NET - Government Jobs

Thus,  

Partition Functions and Their Relation to Thermodynamic Quantities - Physical Chemistry, CSIR-NET - Government Jobs  (3.30)

But since we want the right side to be unity, C ( π / b) 1/2 = 1 or C = ( b / π ) 1/2 and  Partition Functions and Their Relation to Thermodynamic Quantities - Physical Chemistry, CSIR-NET - Government Jobs

From a probability distribution such as f ( x), average quantities can be determined. The averages of x and x2 are given by 

Partition Functions and Their Relation to Thermodynamic Quantities - Physical Chemistry, CSIR-NET - Government Jobs      (3.31)

Partition Functions and Their Relation to Thermodynamic Quantities - Physical Chemistry, CSIR-NET - Government Jobs        (3.32)

The averages have been  denoted by < > . We have also used another standard integral,

Partition Functions and Their Relation to Thermodynamic Quantities - Physical Chemistry, CSIR-NET - Government Jobs   (3.33)

The integral for < x > is zero because the value of the integrand for positive x is equal and opposite to its value at – x. Thus the area on the left of x = 0 is equal and opposite in sign to the area on the right. This is a special case of a general result that the integral of the product of an even function and an odd function of x is zero over a symmetric interval around zero. 

 To evaluate b, we take the help of the kinetic theory of gases. Do look up the details. The pressure of a gas is given in terms of the mean square velocity (speed) as p = 1/3 (N/ V) m <v2>

Where N/ V = (number of molecules of the gas / volume) = the density of the gas. But N = nNA where n = number of moles and NA , the Avogadro number; and since pV = nRT,

we have 

pV = 1/3 Nm < v 2 > = 1/3 n NA m < v2 > = nRT     (3.34)

< v2> = 3 RT / mNA = 3 kB T / m         (3.35)

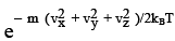
Where kB = R / NA is the Boltzmann constant, 1.3806 X 10 -23 J / K. Since <v2> = 3 kB T / m, we have <vx2> = kBT/ m and substituting, we get  b = m / 2 kB T. Equations for f and F now become 

  Partition Functions and Their Relation to Thermodynamic Quantities - Physical Chemistry, CSIR-NET - Government Jobs                    (3.36)

Partition Functions and Their Relation to Thermodynamic Quantities - Physical Chemistry, CSIR-NET - Government Jobs Partition Functions and Their Relation to Thermodynamic Quantities - Physical Chemistry, CSIR-NET - Government Jobs   (3.37)

This is the Maxwell - Boltzmann distribution of molecular speeds. F(vx, vy, vz) dvxdvydvz gives the probability of finding an arbitrary molecule with a velocity (vx, vy, vz) in the volume element dvxdvydvz. A more appealing interpretation of the same is that it is the fraction (of the total molecules) of molecules having velocities (vx, vy, vz). Analogous to the radial probability distribution in coordinate space, we can now estimate the probability of finding a particle in a spherical shell of volume 4π v2 dv . This probability in such a spherical shell of radius v and thickness dv is given by

Partition Functions and Their Relation to Thermodynamic Quantities - Physical Chemistry, CSIR-NET - Government Jobs Partition Functions and Their Relation to Thermodynamic Quantities - Physical Chemistry, CSIR-NET - Government Jobs        (3.38)

Thermodynamic Functions

We will be restricting ourselves to the canonical ensemble here. Consider a collection of N molecules. The probability of finding a molecule with energy Ei is equal to the fraction of the molecules with energy Ei .

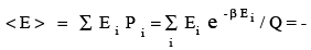
In the collection of N molecules, how many molecules (ni) have the energy Ei ?.This has to be N exp -β Ei / Q. This is because the fraction of molecules ni /N having the energy Ei is e -β Ei / Q which is the same as the probability of finding a molecule with energy Ei in the collection. The average energy is obtaining by multiplying Ei with its probability and summing over all i . ie, 

Partition Functions and Their Relation to Thermodynamic Quantities - Physical Chemistry, CSIR-NET - Government Jobs Partition Functions and Their Relation to Thermodynamic Quantities - Physical Chemistry, CSIR-NET - Government Jobs

Partition Functions and Their Relation to Thermodynamic Quantities - Physical Chemistry, CSIR-NET - Government Jobs  (3.39)

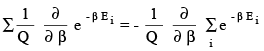
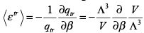
Detailed connection between partition functions and thermodynamic functions has been derived in Chapter 2, Section 2.4.2, The relations between Q and pressure and entropy are given by Eqns. (2.168) and (2.171) respectively. The pressure p can also be obtained as the ensemble average of (-∂E/∂V)T = (-d w/dV)T giving,

Partition Functions and Their Relation to Thermodynamic Quantities - Physical Chemistry, CSIR-NET - Government Jobs Partition Functions and Their Relation to Thermodynamic Quantities - Physical Chemistry, CSIR-NET - Government Jobs             (3.40)

The entropy is given by

Partition Functions and Their Relation to Thermodynamic Quantities - Physical Chemistry, CSIR-NET - Government Jobs      (3.41)

The notation change is that Z is written as Q here and Partition Functions and Their Relation to Thermodynamic Quantities - Physical Chemistry, CSIR-NET - Government Jobs is written as  Partition Functions and Their Relation to Thermodynamic Quantities - Physical Chemistry, CSIR-NET - Government Jobs

Let us recall the four fundamental thermodynamic relations.

dE = TdS - pdV    (3.42)
dH = TdS + Vdp    (3.43)
dA = -SdT - pdV    (3.44)
dG = -SdT + Vdp    (3.45)

Here, E is the internal energy, H = E + pV, the enthalpy, A = E –TS, the Helmholtz free energy and G = H – TS, the Gibbs free energy.   Let us now replace <E> by simply E or more correctly by E – E(0), where E(0) is the reference value of E at T = 0. This is necessary because, the absolute value of E is not measurable and only differences can be measured. The same idea holds for H, A as well as G. Therefore, we rewrite the equation for energy as 

E – E(0) = - (∂ ln Q / ∂β)V    (3.46)

From the equation for enthalpy, H = E + pV, we get, 

Partition Functions and Their Relation to Thermodynamic Quantities - Physical Chemistry, CSIR-NET - Government Jobs       (3.47)

Since p = - (∂A/∂V)T, we get from (3.),

A − A(0) = −kT ln Q     (3.48)

And finally we have for G

G − G (0) = −kT ln Q + kTV (∂ ln Q ∂V )β               (3.49)

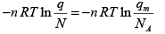
For an ideal gas, pV = nRT where, n = number of moles of the gas and R = NAk = the gas constant and NA is the Avogadro number. Substituting this and Q = qN/N! in the above equation, we get,

G − G(0) = − N kT ln q + kT ln N ! + n RT

Noting that N = nNA and using Stirling’s approximation,

G − G(0) = −nRT ln q + kT ( N ln N − N ) + n RT

Partition Functions and Their Relation to Thermodynamic Quantities - Physical Chemistry, CSIR-NET - Government Jobs Partition Functions and Their Relation to Thermodynamic Quantities - Physical Chemistry, CSIR-NET - Government Jobs    (3.50)

Where, qm = q / n, the molar partition function in units of mol-1 . The function [G(T) –G(0)] / T is referred to as the Gaiuque function.

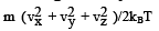
Example 3.6 The equipartition principle states that each quadratic degree of freedom contributes � kT to the energy at high temperature. Verify this assertion for the rotational, translational and vibrational motions of a diatomic molecule.

Solution

Consider the molecular partition functions. The rotational energy is given by

Partition Functions and Their Relation to Thermodynamic Quantities - Physical Chemistry, CSIR-NET - Government Jobs Partition Functions and Their Relation to Thermodynamic Quantities - Physical Chemistry, CSIR-NET - Government Jobs       (3.51)

The classical expression for the rotational energy is   �I ( ωx2 + ωy2 ) , where I is the moment of inertia and ωx and ωy are the angular velocities in the x and y directions. The rotation along the molecular axis (the z axis here) has no meaning in quantum mechanics because the rotations along the molecular axis lead to configurations which are indistinguishable from the original configuration. The two degrees of freedom have thus given a value of kT. The translational contribution gives,

Partition Functions and Their Relation to Thermodynamic Quantities - Physical Chemistry, CSIR-NET - Government Jobs Partition Functions and Their Relation to Thermodynamic Quantities - Physical Chemistry, CSIR-NET - Government Jobs (3.52)

Thus, the three translational degrees of freedom in three dimensions satisfy the equipartition theorem. Turning to the vibrational contribution, we get, 

Partition Functions and Their Relation to Thermodynamic Quantities - Physical Chemistry, CSIR-NET - Government Jobs Partition Functions and Their Relation to Thermodynamic Quantities - Physical Chemistry, CSIR-NET - Government Jobs   (3.53)

The classical expression for the vibrational energy is � kx2 + � μ vx2. At high temperature the equipartition theorem is valid but at low temperature, only a few vibrational states are occupied and the equipartition principle is not valid. 

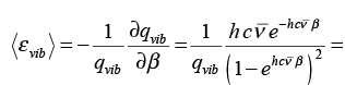
Example 3.7 Calculate the vibrational heat capacity for diatomic and sketch its temperature dependence.

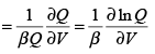
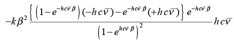
Solution The vibrational energy is given by the above expression and the heat capacity at constant volume, CV, is given by ∂E/∂T. 

We have,  ∂ /∂T = (∂β/∂T) (∂ /∂β) = (-1/kT2) (∂ /∂β) = (-k β2) (∂ /∂β)     (3.54)

Therefore, CV = (-k β2) (∂ εvib/∂β) =

Partition Functions and Their Relation to Thermodynamic Quantities - Physical Chemistry, CSIR-NET - Government Jobs Partition Functions and Their Relation to Thermodynamic Quantities - Physical Chemistry, CSIR-NET - Government Jobs   (3.55)

For large T, the molar CV becomes NAk = R and for small T, CV goes to zero as shown in the sketch below. The vibrational temperature ΘV is defined as ΘV = h cν / k. For H2, it has a value of 6323 K and for I2 it is 309 K. 

Partition Functions and Their Relation to Thermodynamic Quantities - Physical Chemistry, CSIR-NET - Government Jobs

Figure 3.3 Vibrational heat capacity of a diatomic as a function of ΘV /T.

The document Partition Functions and Their Relation to Thermodynamic Quantities - Physical Chemistry, CSIR-NET - Government Jobs is a part of Government Jobs category.
All you need of Government Jobs at this link: Government Jobs

FAQs on Partition Functions and Their Relation to Thermodynamic Quantities - Physical Chemistry, CSIR-NET - Government Jobs

1. What is a partition function and how is it related to thermodynamic quantities?
Ans. The partition function is a concept used in statistical mechanics to describe the distribution of energy among the possible states of a system. It is denoted by Z and is related to thermodynamic quantities through the equation Z = ∑e^(-E/kT), where E is the energy of a particular state, k is the Boltzmann constant, and T is the temperature. The partition function is used to calculate various thermodynamic quantities such as the internal energy, entropy, and free energy of a system.
2. How does the partition function relate to the internal energy of a system?
Ans. The partition function is directly related to the internal energy of a system. The average internal energy of a system can be calculated using the equation U = ∑E * P(E), where E is the energy of a particular state and P(E) is the probability of that state. The probability P(E) is given by P(E) = (1/Z) * e^(-E/kT), where Z is the partition function. By summing over all possible energy states and their corresponding probabilities, the average internal energy can be determined.
3. How can the partition function be used to calculate the entropy of a system?
Ans. The entropy of a system can be calculated using the partition function. The equation for entropy is given by S = k * ln(W), where k is the Boltzmann constant and W is the number of accessible microstates. The number of accessible microstates can be related to the partition function through the equation W = k * ln(Z), where Z is the partition function. By substituting this expression into the entropy equation, the entropy of the system can be obtained.
4. What is the significance of the partition function in determining the free energy of a system?
Ans. The partition function plays a crucial role in determining the free energy of a system. The Helmholtz free energy (A) and Gibbs free energy (G) can be expressed in terms of the partition function. The equation for Helmholtz free energy is A = -kT * ln(Z), and the equation for Gibbs free energy is G = A + PV, where P is the pressure and V is the volume of the system. Therefore, by knowing the partition function, one can calculate the free energy and determine the stability and spontaneity of a thermodynamic system.
5. How does the partition function relate to the statistical weight of a system?
Ans. The statistical weight of a system is a measure of the degeneracy or multiplicity of its energy states. It is directly related to the partition function. The statistical weight (g) of a particular energy state is given by g = e^(S/k), where S is the entropy of the system and k is the Boltzmann constant. The partition function can be expressed as Z = ∑g * e^(-E/kT), where the sum is taken over all energy states. Therefore, the partition function encapsulates the statistical weight of the system and provides information about the distribution of energy among the states.
Download as PDF

Top Courses for Government Jobs

Related Searches

Extra Questions

,

pdf

,

Partition Functions and Their Relation to Thermodynamic Quantities - Physical Chemistry

,

Partition Functions and Their Relation to Thermodynamic Quantities - Physical Chemistry

,

Partition Functions and Their Relation to Thermodynamic Quantities - Physical Chemistry

,

Objective type Questions

,

past year papers

,

study material

,

Viva Questions

,

CSIR-NET - Government Jobs

,

Free

,

Semester Notes

,

mock tests for examination

,

video lectures

,

ppt

,

Summary

,

Important questions

,

MCQs

,

CSIR-NET - Government Jobs

,

practice quizzes

,

Exam

,

CSIR-NET - Government Jobs

,

Previous Year Questions with Solutions

,

Sample Paper

,

shortcuts and tricks

;