Government Jobs Exam  >  Government Jobs Notes  >  Antisymmetry Principle - Atomic Structure, Physical Chemistry, CSIR-NET

Antisymmetry Principle - Atomic Structure, Physical Chemistry, CSIR-NET - Government Jobs PDF Download

The Nature of Many-Electron Wavefunctions

Let us consider the nature of the electronic wavefunctions $\psi_e({\bf r}; {\bf R})$. Since the electronic wavefunction depends only parametrically on R, we will suppress R in our notation from now on. What do we require of $\psi_e({\bf r})$? Recall that ${\bf r}$ represents the set of all electronic coordinates, i.e., ${\bf r} = \{ {\bf r}_1, {\bf r}_2, \ldots {\bf r}_N \} $. So far we have left out one important item--we need to include the spin of each electron. We can define a new variable ${\bf x}$ which represents the set of all four coordinates associated with an electron: three spatial coordinates ${\bf r}$, and one spin coordinate $\omega$, i.e., ${\bf x} = \{ {\bf r}, \omega \}$.

Thus we write the electronic wavefunction as $\psi_e({\bf x}_1, {\bf
x}_2, \ldots, {\bf x}_N)$. Why have we been able to avoid including spin until now? Because the non-relativistic Hamiltonian does not include spin. Nevertheless, spin must be included so that the electronic wavefunction can satisfy a very important requirement, which is the antisymmetry principle (see Postulate 6 in Section 4). This principle states that for a system of fermions, the wavefunction must be antisymmetric with respect to the interchange of all (space and spin) coordinates of one fermion with those of another. That is, 

 

Antisymmetry Principle - Atomic Structure, Physical Chemistry, CSIR-NET - Government Jobs Antisymmetry Principle - Atomic Structure, Physical Chemistry, CSIR-NET - Government Jobs (184)

The Pauli exclusion principle is a direct consequence of the antisymmetry principle.

A very important step in simplifying $\psi_e({\bf x})$ is to expand it in terms of a set of one-electron functions, or ``orbitals.'' This makes the electronic Schrödinger equation considerably easier to deal with. A spin orbital is a function of the space and spin coordinates of a single electron, while a spatial orbital is a function of a single electron's spatial coordinates only. We can write a spin orbital as a product of a spatial orbital one of the two spin functions 

Antisymmetry Principle - Atomic Structure, Physical Chemistry, CSIR-NET - Government Jobs(185)
 

Antisymmetry Principle - Atomic Structure, Physical Chemistry, CSIR-NET - Government Jobs  (186)

Note that for a given spatial orbital $\psi({\bf r})$, we can form two spin orbitals, one with $\alpha$ spin, and one with β spin. The spatial orbital will be doubly occupied. It is possible (although sometimes frowned upon) to use one set of spatial orbitals for spin orbitals with $\alpha$ spin and another set for spin orbitals with β spin.

Where do we get the one-particle spatial orbitals $\psi({\bf r})$? That is beyond the scope of the current section, but we briefly itemize some of the more common possibilities:

  • Orbitals centered on each atom (atomic orbitals).
  • Orbitals centered on each atom but also symmetry-adapted to have the correct point-group symmetry species (symmetry orbitals).
  • Molecular orbitals obtained from a Hartree-Fock procedure.

We now explain how an $N$-electron function $\psi_e({\bf x})$ can be constructed from spin orbitals, following the arguments of Szabo and Ostlund (p. 60). Assume we have a complete set of functions of a single variable $\{\chi_i(x)\}$. Then any function of a single variable can be expanded exactly as  

Antisymmetry Principle - Atomic Structure, Physical Chemistry, CSIR-NET - Government Jobs (187)

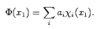
How can we expand a function of two variables, e.g. $\Phi(x_1, x_2)$?

If we hold x2 fixed, then 

Antisymmetry Principle - Atomic Structure, Physical Chemistry, CSIR-NET - Government Jobs (188)

Now note that each expansion coefficient $a_i(x_2)$ is a function of a single variable, which can be expanded as 

Antisymmetry Principle - Atomic Structure, Physical Chemistry, CSIR-NET - Government Jobs (189)

Substituting this expression into the one for $\Phi(x_1, x_2)$, we now have 

Antisymmetry Principle - Atomic Structure, Physical Chemistry, CSIR-NET - Government Jobs (190)

a process which can obviously be extended for $\Phi(x_1, x_2, \ldots, x_N)$.

We can extend these arguments to the case of having a complete set of functions of the variable ${\bf x}$ (recall ${\bf x}$ represents x, y, and z and also $\omega$). In that case, we obtain an analogous result, 

Antisymmetry Principle - Atomic Structure, Physical Chemistry, CSIR-NET - Government Jobs (191)

Now we must make sure that the antisymmetry principle is obeyed. For the two-particle case, the requirement 

Antisymmetry Principle - Atomic Structure, Physical Chemistry, CSIR-NET - Government Jobs (192)

implies that $b_{ij} = -b_{ji}$ and $b_{ii} = 0$, or

Antisymmetry Principle - Atomic Structure, Physical Chemistry, CSIR-NET - Government Jobs

Antisymmetry Principle - Atomic Structure, Physical Chemistry, CSIR-NET - Government Jobs (193)

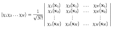
where we have used the symbol $\vert\chi_i \chi_j \rangle$ to represent a Slater determinant, which in the genreral case is written 

Antisymmetry Principle - Atomic Structure, Physical Chemistry, CSIR-NET - Government Jobs (194)

We can extend the reasoning applied here to the case of $N$ electrons; any $N$-electron wavefunction can be expressed exactly as a linear combination of all possible $N$-electron Slater determinants formed from a complete set of spin orbitals $\{\chi_i({\bf x})\}$.

The document Antisymmetry Principle - Atomic Structure, Physical Chemistry, CSIR-NET - Government Jobs is a part of Government Jobs category.
All you need of Government Jobs at this link: Government Jobs

FAQs on Antisymmetry Principle - Atomic Structure, Physical Chemistry, CSIR-NET - Government Jobs

1. What is the antisymmetry principle in atomic structure?
Ans. The antisymmetry principle in atomic structure states that the wave function of a system of identical particles must change sign under the exchange of any two particles. This principle arises from the indistinguishability of identical particles, such as electrons in an atom. It plays a crucial role in determining the behavior and properties of these particles in quantum mechanics.
2. How does the antisymmetry principle affect the electron configuration of atoms?
Ans. The antisymmetry principle, also known as the Pauli exclusion principle, affects the electron configuration of atoms by imposing restrictions on how electrons can occupy atomic orbitals. According to this principle, no two electrons in an atom can have the same set of quantum numbers, which means that each electron must have a unique combination of quantum numbers. This leads to the filling of orbitals in a specific order, following the Aufbau principle.
3. Why is the antisymmetry principle important in physical chemistry?
Ans. The antisymmetry principle is important in physical chemistry because it governs the behavior of identical particles, such as electrons, in quantum systems. It ensures that the wave function describing the state of these particles satisfies the requirement of being antisymmetric under particle exchange. This principle allows for the prediction of electron configurations, the determination of atomic and molecular properties, and the understanding of chemical bonding and reactivity.
4. How does the antisymmetry principle relate to the CSIR-NET exam?
Ans. The antisymmetry principle is a fundamental concept in quantum mechanics, which is an essential topic in the CSIR-NET exam for physical chemistry. Understanding this principle is crucial for solving problems related to atomic structure, electron configurations, and chemical bonding. Questions testing the knowledge and application of the antisymmetry principle are likely to appear in the exam, requiring candidates to demonstrate their understanding of its implications in atomic and molecular systems.
5. What are some examples of the antisymmetry principle in action?
Ans. The antisymmetry principle can be observed in various phenomena in atomic and molecular systems. One example is the filling of electron shells in atoms, where each orbital can accommodate a maximum of two electrons with opposite spins due to the antisymmetry requirement. Another example is the formation of chemical bonds, where the overlap of atomic orbitals leads to the creation of molecular orbitals that obey the antisymmetry principle. These examples highlight the fundamental role played by the antisymmetry principle in understanding the behavior of particles in quantum systems.
Download as PDF

Top Courses for Government Jobs

Related Searches

Exam

,

Physical Chemistry

,

CSIR-NET - Government Jobs

,

Important questions

,

past year papers

,

shortcuts and tricks

,

CSIR-NET - Government Jobs

,

Physical Chemistry

,

Sample Paper

,

Antisymmetry Principle - Atomic Structure

,

Objective type Questions

,

video lectures

,

Antisymmetry Principle - Atomic Structure

,

Physical Chemistry

,

Semester Notes

,

MCQs

,

Extra Questions

,

Viva Questions

,

Free

,

CSIR-NET - Government Jobs

,

pdf

,

Antisymmetry Principle - Atomic Structure

,

Previous Year Questions with Solutions

,

practice quizzes

,

ppt

,

Summary

,

mock tests for examination

,

study material

;