Physics Exam  >  Physics Notes  >  Physics for IIT JAM, UGC - NET, CSIR NET  >  Laurent Series - Mathematical Methods of Physics, UGC - NET Physics

Laurent Series - Mathematical Methods of Physics, UGC - NET Physics | Physics for IIT JAM, UGC - NET, CSIR NET PDF Download

1. What is a Laurent series?

The Laurent series is a representation of a complex function f (z ) as a series. Unlike the Taylor series which expresses f (z) as a series of terms with non-negative powers of z, a Laurent series includes terms with negative powers. A consequence of this is that a Laurent series may be used in cases where a Taylor expansion is not possible.

2. Calculating the Laurent series expansion 

To calculate the Laurent series we use the standard and modi ed geometric series which are

Laurent Series - Mathematical Methods of Physics, UGC - NET Physics | Physics for IIT JAM, UGC - NET, CSIR NET (1)

Here f (z) = Laurent Series - Mathematical Methods of Physics, UGC - NET Physics | Physics for IIT JAM, UGC - NET, CSIR NET is analytic everywhere apart from the singularity at z = 1. Above are the expansions for f in the regions inside and outside the circle of radius 1, centred on z = 0, where | z | < 1 is the region inside the circle and | z | > 1 is the region outside the circle.

Laurent Series - Mathematical Methods of Physics, UGC - NET Physics | Physics for IIT JAM, UGC - NET, CSIR NET

 

2.1 Example

Determine the Laurent series for

Laurent Series - Mathematical Methods of Physics, UGC - NET Physics | Physics for IIT JAM, UGC - NET, CSIR NET      (2)

that are valid in the regions

Laurent Series - Mathematical Methods of Physics, UGC - NET Physics | Physics for IIT JAM, UGC - NET, CSIR NET

Solution: The region (i) is an open disk inside a circle of radius 5, centred on z = 0, and the region (ii) is an open annulus outside a circle of radius 5, centred on z = 0. To make the series expansion easier to calculate we can manipulate our f (z) into a form similar to the series expansion shown in equation (1).
So

Laurent Series - Mathematical Methods of Physics, UGC - NET Physics | Physics for IIT JAM, UGC - NET, CSIR NET

Laurent Series - Mathematical Methods of Physics, UGC - NET Physics | Physics for IIT JAM, UGC - NET, CSIR NET

Now using the standard and modi ed geometric series, equation (1), we can calculate that

Laurent Series - Mathematical Methods of Physics, UGC - NET Physics | Physics for IIT JAM, UGC - NET, CSIR NET

Hence, for part (i) the series expansion is

Laurent Series - Mathematical Methods of Physics, UGC - NET Physics | Physics for IIT JAM, UGC - NET, CSIR NET

which is a Taylor series. And for part (ii) the series expansion is

Laurent Series - Mathematical Methods of Physics, UGC - NET Physics | Physics for IIT JAM, UGC - NET, CSIR NET


2.2 Example Determine the Laurent series for

Laurent Series - Mathematical Methods of Physics, UGC - NET Physics | Physics for IIT JAM, UGC - NET, CSIR NET(3)

valid in the region Laurent Series - Mathematical Methods of Physics, UGC - NET Physics | Physics for IIT JAM, UGC - NET, CSIR NET
Solution We know from example 2.1 that for

Laurent Series - Mathematical Methods of Physics, UGC - NET Physics | Physics for IIT JAM, UGC - NET, CSIR NETthe series expansion is Laurent Series - Mathematical Methods of Physics, UGC - NET Physics | Physics for IIT JAM, UGC - NET, CSIR NET

It follows from this that we can calculate the series expansion of f (z ) as

Laurent Series - Mathematical Methods of Physics, UGC - NET Physics | Physics for IIT JAM, UGC - NET, CSIR NET

Laurent Series - Mathematical Methods of Physics, UGC - NET Physics | Physics for IIT JAM, UGC - NET, CSIR NET

 

2.3 Example 

For the following function f determine the Laurent series that is valid within the stated region R.

Laurent Series - Mathematical Methods of Physics, UGC - NET Physics | Physics for IIT JAM, UGC - NET, CSIR NET             (4)

Solution : The region R is an open annulus between circles of radius 1 and 3, centred on z = 1.
We want a series expansion about z = 1; to do this we make a substitution w = z 1 and look for the expansion in w where 1 < jwj < 3. In terms of w

Laurent Series - Mathematical Methods of Physics, UGC - NET Physics | Physics for IIT JAM, UGC - NET, CSIR NET  Laurent Series - Mathematical Methods of Physics, UGC - NET Physics | Physics for IIT JAM, UGC - NET, CSIR NET

Laurent Series - Mathematical Methods of Physics, UGC - NET Physics | Physics for IIT JAM, UGC - NET, CSIR NET

To make the series expansion easier to calculate we can manipulate our f (z) into a form similar to the series expansion shown in equation (1). To do this we will split the function using partial fractions, and then manipulate each of the fractions into a form based on equation (1), so we get

Laurent Series - Mathematical Methods of Physics, UGC - NET Physics | Physics for IIT JAM, UGC - NET, CSIR NET

Using the the standard and modi ed geometric series, equation (1), we can calculate that

Laurent Series - Mathematical Methods of Physics, UGC - NET Physics | Physics for IIT JAM, UGC - NET, CSIR NET

and

Laurent Series - Mathematical Methods of Physics, UGC - NET Physics | Physics for IIT JAM, UGC - NET, CSIR NET

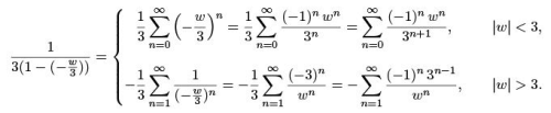
We require the expansion in w where 1 < |w| < 3, so we use the expansions for jwj > 1 and |w| < 3, which we can substitute back into our f (z ) in partial fraction form to get

Laurent Series - Mathematical Methods of Physics, UGC - NET Physics | Physics for IIT JAM, UGC - NET, CSIR NET

Substituting back in w = z 1 we get the Laurent series, valid within the region 1 < |z 1| < 3,

Laurent Series - Mathematical Methods of Physics, UGC - NET Physics | Physics for IIT JAM, UGC - NET, CSIR NET

 

2.4 Example

Obtain the series expansion for

Laurent Series - Mathematical Methods of Physics, UGC - NET Physics | Physics for IIT JAM, UGC - NET, CSIR NET             (5)

valid in the region jz 2ij > 4.

Solution The region here is the open region outside a circle of radius 4, centred on z = 2i. We want a series expansion about z = 2i, to do this we make a substitution w = z 2i and look for the expansion in w where jwj > 4. In terms of w

Laurent Series - Mathematical Methods of Physics, UGC - NET Physics | Physics for IIT JAM, UGC - NET, CSIR NET

Laurent Series - Mathematical Methods of Physics, UGC - NET Physics | Physics for IIT JAM, UGC - NET, CSIR NET

To make the series expansion easier to calculate we can manipulate our f (z) into a form similar to the series expansion shown in equation (1). To do this we will manipulate the fraction into a form based on equation (1). We get

Laurent Series - Mathematical Methods of Physics, UGC - NET Physics | Physics for IIT JAM, UGC - NET, CSIR NET

Using the the standard and modi ed geometric series, equation (1), we can calculate that

Laurent Series - Mathematical Methods of Physics, UGC - NET Physics | Physics for IIT JAM, UGC - NET, CSIR NET

We require the expansion in w where |w|> 4, so

Laurent Series - Mathematical Methods of Physics, UGC - NET Physics | Physics for IIT JAM, UGC - NET, CSIR NET

Substituting back in w = z 2i we get the Laurent series valid within the region |z 2i| > 4

Laurent Series - Mathematical Methods of Physics, UGC - NET Physics | Physics for IIT JAM, UGC - NET, CSIR NET

 

3 Key points

  • First check to see if you need to make a substitution for the region you are working with, a substitution is useful if the region is not centred on z = 0.
  • Then you will need to manipulate the function into a form where you can use the series expansions shown in example (1): this may involve splitting by partial fractions rst.
  • Find the series expansions for each of the fractions you have in your function within the speci ed region, then substitute these back into your function.
  • Finally, simplify the function and, if you made a substitution, change it back into the original variable.
The document Laurent Series - Mathematical Methods of Physics, UGC - NET Physics | Physics for IIT JAM, UGC - NET, CSIR NET is a part of the Physics Course Physics for IIT JAM, UGC - NET, CSIR NET.
All you need of Physics at this link: Physics
158 docs

FAQs on Laurent Series - Mathematical Methods of Physics, UGC - NET Physics - Physics for IIT JAM, UGC - NET, CSIR NET

1. What is a Laurent series and how is it used in mathematical methods of physics?
Ans. A Laurent series is a representation of a complex function as an infinite sum of two parts: a power series, which represents the regular behavior of the function near a point, and a Laurent series, which represents the behavior of the function when it has singularities or poles. In mathematical methods of physics, Laurent series are used to analyze and understand the behavior of physical systems with singularities, such as systems with resonances or poles in their complex frequency response.
2. How is the Laurent series different from a Taylor series?
Ans. While both the Laurent series and Taylor series are representations of functions as infinite sums, they differ in their application and range of convergence. A Taylor series represents a function as a power series around a point, and it converges within a finite radius around that point. On the other hand, a Laurent series can represent a function both as a power series and as a Laurent series, allowing for the representation of the function's behavior near singular points or poles. The Laurent series converges either in an annulus or in a punctured disk around the singular point.
3. Can a Laurent series be used to approximate any function?
Ans. No, a Laurent series cannot approximate any function. It can only approximate functions that have singularities or poles. Functions without singularities can be represented by Taylor series instead. The choice between using a Taylor series or a Laurent series depends on the behavior of the function near the point of interest.
4. How is the convergence of a Laurent series determined?
Ans. The convergence of a Laurent series is determined by the behavior of the function near the singular point or pole. If the function has a singularity at a point, the Laurent series converges in an annulus around that point. If the function has a pole at a point, the Laurent series converges in a punctured disk around that point. The radius of convergence depends on the distance between the point and the nearest singularity or pole.
5. In what ways are Laurent series useful in physics?
Ans. Laurent series are useful in physics for a variety of reasons. They allow for the analysis of physical systems with singularities, such as systems with resonances or poles in their complex frequency response. They provide a mathematical tool to study the behavior of functions near singular points or poles, which is often crucial in understanding the behavior of physical phenomena. Additionally, Laurent series are used in complex analysis, a branch of mathematics that has many applications in physics, including quantum mechanics, electromagnetism, and fluid dynamics.
Related Searches

Sample Paper

,

study material

,

shortcuts and tricks

,

UGC - NET Physics | Physics for IIT JAM

,

MCQs

,

Laurent Series - Mathematical Methods of Physics

,

Summary

,

Important questions

,

past year papers

,

Free

,

UGC - NET

,

UGC - NET

,

CSIR NET

,

Laurent Series - Mathematical Methods of Physics

,

pdf

,

UGC - NET

,

CSIR NET

,

Objective type Questions

,

practice quizzes

,

Previous Year Questions with Solutions

,

ppt

,

mock tests for examination

,

Extra Questions

,

CSIR NET

,

UGC - NET Physics | Physics for IIT JAM

,

Laurent Series - Mathematical Methods of Physics

,

Semester Notes

,

video lectures

,

Exam

,

Viva Questions

,

UGC - NET Physics | Physics for IIT JAM

;