Physics Exam  >  Physics Notes  >  Physics for IIT JAM, UGC - NET, CSIR NET  >  Dynamical systems - 3

Dynamical systems - 3 | Physics for IIT JAM, UGC - NET, CSIR NET PDF Download

Classi cation of critical points

In the previous idea we de ned the critical points and sketched how these points can be divided to stable and unstable points. We have seen that mathematical pendulum has two critical points, one is stable, the other is not. In the next example we have seen a system with two unstable critical points. The classi cation of critical points, however, is more subtle and we discuss all possibilities in this section.
Let us first recapitulate our goal. We study planar dynamical system described by equations

Dynamical systems - 3 | Physics for IIT JAM, UGC - NET, CSIR NET

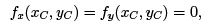
 We assume that we have found critical point of this system, i.e. point (xC, yC ) such that

Dynamical systems - 3 | Physics for IIT JAM, UGC - NET, CSIR NET

and study the behaviour of the system near this critical point. We linearize the equations in the neighbourhood of critical point so that we obtain equations2

Dynamical systems - 3 | Physics for IIT JAM, UGC - NET, CSIR NET

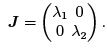
This system can be written also in the matrix form

Dynamical systems - 3 | Physics for IIT JAM, UGC - NET, CSIR NET

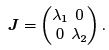
where

Dynamical systems - 3 | Physics for IIT JAM, UGC - NET, CSIR NET

Now we discuss several forms of matrix J and classify the critical points. Finally we will show how the analysis can be done for general matrix J .


Stable and unstable nodes, saddle points

Consider linear planar system of the form

Dynamical systems - 3 | Physics for IIT JAM, UGC - NET, CSIR NET (8.17)

 which corresponds to matrix

Dynamical systems - 3 | Physics for IIT JAM, UGC - NET, CSIR NET         (8.18)

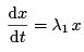
 System (8.17) can be easily solved. Equations for x and y are independent; we say that these equations are decoupled which means that equation for x_ does not contain y and vice versa.

Let us solve equation

Dynamical systems - 3 | Physics for IIT JAM, UGC - NET, CSIR NET

first. In usual mathematical notation, this equation reads

Dynamical systems - 3 | Physics for IIT JAM, UGC - NET, CSIR NET

which is separable dierential equation. We can rewrite it as

Dynamical systems - 3 | Physics for IIT JAM, UGC - NET, CSIR NET

This form of equation is called separated because the left hand side of the equations contains only x and the right hand side contains only time t. We can integrate the equation,

Dynamical systems - 3 | Physics for IIT JAM, UGC - NET, CSIR NET

to obtain

Dynamical systems - 3 | Physics for IIT JAM, UGC - NET, CSIR NET

where C is an integration constant. It is customary that if the logarithm appears in the solution, we write the constant as a logarithm as well3:

Dynamical systems - 3 | Physics for IIT JAM, UGC - NET, CSIR NET

Exponentiating the last equation we arrive at

Dynamical systems - 3 | Physics for IIT JAM, UGC - NET, CSIR NET

By the same procedure we solve equation for y to get

Dynamical systems - 3 | Physics for IIT JAM, UGC - NET, CSIR NET

where L is an integration constant again. Notice that, according to the solution, we have

x(0) = K and y(0) = L:

Hence, K and L are values of x and y at time t = 0, respectively. Therefore, we can write the solution of (8.17) in the form

Dynamical systems - 3 | Physics for IIT JAM, UGC - NET, CSIR NET (8.19)

Clearly, the only critical point of system (8.17) is (0; 0). Having derived solution of this system, we can analyze its behaviour near the critical point. Useful function to visualise properties of the system near critical point is StreamPlot which takes the vector eld and plots tra jectories. In the following example we choose λ= λ2 = 1.

Dynamical systems - 3 | Physics for IIT JAM, UGC - NET, CSIR NET

In this figure we can see tra jectories (8.19) for initial points (x0, y0) chosen by Mathematica. Notice that we have inserted the right hand side of (8.17) as an argument of function StreamPlot. We can see that the trajectories are straight lines emanating from the origin (critical point) and tending to in nity exponentially.

What about other choices of λ1,2? It is clear that function eλt is increasing for λ > 0 and decreasing for λ < 0. We can conclude that qualitative behaviour of the system depends on signs of λ1,2 and four possibilities are shown in gure 8.8 which was created by following commands in Mathematica. We distinguish three cases.

Dynamical systems - 3 | Physics for IIT JAM, UGC - NET, CSIR NET

In addition to this classi cation, critical points with distinct values λ 1 = λ 2 are called singular while critical points with the same values λ 1 = λ 2 are called degenerate.
Clearly, the saddle points cannot be singular.

Dynamical systems - 3 | Physics for IIT JAM, UGC - NET, CSIR NET

Dynamical systems - 3 | Physics for IIT JAM, UGC - NET, CSIR NET

Recall that planar dynamical system (8.17) can be represented by the matrix (8.18),

Dynamical systems - 3 | Physics for IIT JAM, UGC - NET, CSIR NET

 From elementary linear algebra we know that with matrix J we can associate a set of eigenvalues λ defined by equation

J . e = λ e

where e is called an eigenvector. It is easy to show that the eigenvalues of matrix (8.18) are λand λ2 and corresponding eigenvectors are

Dynamical systems - 3 | Physics for IIT JAM, UGC - NET, CSIR NET

In other words, vectors e1 and e2 satisfy equations

Dynamical systems - 3 | Physics for IIT JAM, UGC - NET, CSIR NET

We can see that tra jectories starting on lines determined by vectors ei, i = 1, 2, always remain in these lines. If the tra jectory is being repelled from the critical point along direction e, the line determined by vector e is called unstable manifold. If the tra jectory is attracted to the critical point along the vector e, the line determined by e is called stable manifold. For matrix (8.18), vectors e1 and e2 are always eigenvectors.
We can see that elies on the x axis and e2 lies on the y axis. Hence, the axes are stable or unstable manifolds of system (8.17), depending on the sign of λ1,2.

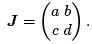
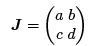
The classi cation introduced above can be reformulated in the following way. Let

Dynamical systems - 3 | Physics for IIT JAM, UGC - NET, CSIR NET

be a matrix of general linear dynamical system

Dynamical systems - 3 | Physics for IIT JAM, UGC - NET, CSIR NET

If matrix J has two real eigenvalues λ1 and λ2, then critical point is stable/unstable node or a saddle point, depending on the signs of these eigenvalues.

We illustrate this classi cation on the example. Consider dynamical system

Dynamical systems - 3 | Physics for IIT JAM, UGC - NET, CSIR NET(8.20)

with the matrix

Dynamical systems - 3 | Physics for IIT JAM, UGC - NET, CSIR NET

This matrix is not of the form (8.18) but we can apply the second criterion. Eigenvalues and eigenvectors can be found in Mathematica using

Dynamical systems - 3 | Physics for IIT JAM, UGC - NET, CSIR NET

which shows that eigenvalues are

Dynamical systems - 3 | Physics for IIT JAM, UGC - NET, CSIR NET

and corresponding eigenvectors are

Dynamical systems - 3 | Physics for IIT JAM, UGC - NET, CSIR NET

Since λ1 > 0 and λ2 < 0, vector e1 de nes the stable manifold and ede nes unstable manifold. Since both eigenvalues have different signs, the critical point is a saddle point and it is regular. Phase tra jectories together with stable and unstable manifolds can be plotted by

Dynamical systems - 3 | Physics for IIT JAM, UGC - NET, CSIR NET

The result is plotted in gure 8.9.

The document Dynamical systems - 3 | Physics for IIT JAM, UGC - NET, CSIR NET is a part of the Physics Course Physics for IIT JAM, UGC - NET, CSIR NET.
All you need of Physics at this link: Physics
158 docs

FAQs on Dynamical systems - 3 - Physics for IIT JAM, UGC - NET, CSIR NET

1. What are dynamical systems in physics?
Ans. Dynamical systems in physics refer to mathematical models used to describe the behavior and evolution of physical systems over time. These systems can range from simple ones like a pendulum to complex ones like the motion of planets in a solar system. They involve studying the equations of motion and understanding how various factors influence the system's behavior.
2. How are dynamical systems analyzed in physics?
Ans. Dynamical systems in physics are analyzed using mathematical tools and techniques. This typically involves solving differential equations that describe the system's behavior. Analytical methods, such as finding exact solutions or using approximation techniques, are often employed. Additionally, numerical simulations and computer modeling play a crucial role in understanding the dynamics of complex systems.
3. What is the significance of studying dynamical systems in physics?
Ans. Studying dynamical systems in physics is significant as it allows us to understand and predict the behavior of physical systems. By analyzing the equations of motion, we can gain insights into the system's stability, periodicity, chaos, and other important characteristics. This knowledge helps in various fields, including astrophysics, fluid dynamics, quantum mechanics, and many others.
4. Can dynamical systems exhibit chaotic behavior?
Ans. Yes, dynamical systems can exhibit chaotic behavior. Chaotic systems are highly sensitive to initial conditions, which means that even small changes in the starting conditions can lead to drastically different outcomes. This behavior is often characterized by a lack of long-term predictability and the presence of a "butterfly effect," where tiny perturbations can amplify over time. Examples of chaotic systems in physics include weather patterns, turbulent flows, and certain types of mechanical systems.
5. How do bifurcations occur in dynamical systems?
Ans. Bifurcations occur in dynamical systems when there is a qualitative change in the system's behavior as a parameter is varied. This change can involve the creation or disappearance of periodic orbits, limit cycles, or fixed points. Bifurcations are often associated with transitions between different dynamical regimes, such as stable to unstable behavior or the onset of chaos. They provide insights into the underlying structure and complexity of the system's dynamics.
Related Searches

Dynamical systems - 3 | Physics for IIT JAM

,

Dynamical systems - 3 | Physics for IIT JAM

,

video lectures

,

Extra Questions

,

CSIR NET

,

Dynamical systems - 3 | Physics for IIT JAM

,

Important questions

,

Semester Notes

,

ppt

,

practice quizzes

,

Summary

,

mock tests for examination

,

UGC - NET

,

shortcuts and tricks

,

study material

,

Objective type Questions

,

Viva Questions

,

CSIR NET

,

CSIR NET

,

MCQs

,

Free

,

Exam

,

Previous Year Questions with Solutions

,

UGC - NET

,

Sample Paper

,

past year papers

,

UGC - NET

,

pdf

;