Physics Exam  >  Physics Notes  >  Physics for IIT JAM, UGC - NET, CSIR NET  >  Examples : Euler-Lagrange Equation - 2

Examples : Euler-Lagrange Equation - 2 | Physics for IIT JAM, UGC - NET, CSIR NET PDF Download

Example 8 : Show that the time taken by a particle moving along a curve y = y ( x )
with velocity Examples : Euler-Lagrange Equation - 2 | Physics for IIT JAM, UGC - NET, CSIR NETom the point (0,0) to the point (1,1) is minimum if the curve is a circle having its center on the x-axis. 

Solution: Let a particle be moving along a curve y = y(x) from the point (0, 0) to the point  (1, 1) with velocity  

Examples : Euler-Lagrange Equation - 2 | Physics for IIT JAM, UGC - NET, CSIR NET

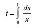
Therefore the total time required for the particle to move from the point (0, 0) to the point (1, 1) is given by 

Examples : Euler-Lagrange Equation - 2 | Physics for IIT JAM, UGC - NET, CSIR NET. . . (1) 
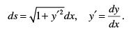
where the infinitesimal distance between two points on the path is given by

Examples : Euler-Lagrange Equation - 2 | Physics for IIT JAM, UGC - NET, CSIR NET

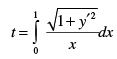
Hence the equation (1) becomes 

Examples : Euler-Lagrange Equation - 2 | Physics for IIT JAM, UGC - NET, CSIR NET. . . (2) 

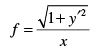
Time t is minimum if the integrand  

Examples : Euler-Lagrange Equation - 2 | Physics for IIT JAM, UGC - NET, CSIR NET. . . (3) 
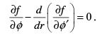
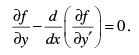
must satisfy the Euler-Lagrange’s equation 

Examples : Euler-Lagrange Equation - 2 | Physics for IIT JAM, UGC - NET, CSIR NET. . . (4) 

Examples : Euler-Lagrange Equation - 2 | Physics for IIT JAM, UGC - NET, CSIR NET

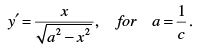
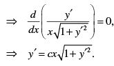
Solving for y′ we get  

Examples : Euler-Lagrange Equation - 2 | Physics for IIT JAM, UGC - NET, CSIR NET

Integrating we get 

Examples : Euler-Lagrange Equation - 2 | Physics for IIT JAM, UGC - NET, CSIR NET

Put Examples : Euler-Lagrange Equation - 2 | Physics for IIT JAM, UGC - NET, CSIR NET. . . (5)

Therefore, 

Examples : Euler-Lagrange Equation - 2 | Physics for IIT JAM, UGC - NET, CSIR NET. . . (6)

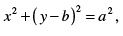
Squaring and adding equations (5) and (6) we get 

Examples : Euler-Lagrange Equation - 2 | Physics for IIT JAM, UGC - NET, CSIR NET

which is the circle having center on y –axis. 

 

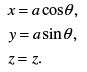
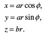
Example 9 : Show that the geodesic on a right circular cylinder is a helix. Solution: We know the right circular cylinder is characterized by the equations 

Examples : Euler-Lagrange Equation - 2 | Physics for IIT JAM, UGC - NET, CSIR NET. . . (1) 

The parametric equations of the right circular cylinder are 

Examples : Euler-Lagrange Equation - 2 | Physics for IIT JAM, UGC - NET, CSIR NET

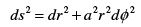
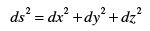
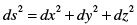
where a is a constant. The element of the distance (metric) 

Examples : Euler-Lagrange Equation - 2 | Physics for IIT JAM, UGC - NET, CSIR NET

on the surface of the cylinder becomes 

 

Examples : Euler-Lagrange Equation - 2 | Physics for IIT JAM, UGC - NET, CSIR NET

 Hence the total length of the curve on the surface of the cylinder is given by 

Examples : Euler-Lagrange Equation - 2 | Physics for IIT JAM, UGC - NET, CSIR NET. . . (2) 
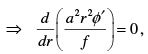
 For s to be extremum, the integrand  

Examples : Euler-Lagrange Equation - 2 | Physics for IIT JAM, UGC - NET, CSIR NET. . . (3) 

must satisfy the Euler-Lagrange’s equation 

Examples : Euler-Lagrange Equation - 2 | Physics for IIT JAM, UGC - NET, CSIR NET . . . (4) 

Examples : Euler-Lagrange Equation - 2 | Physics for IIT JAM, UGC - NET, CSIR NET

Integrating the equation and solving for z′ we get 

Examples : Euler-Lagrange Equation - 2 | Physics for IIT JAM, UGC - NET, CSIR NET(constant). 
Integrating we get  

Examples : Euler-Lagrange Equation - 2 | Physics for IIT JAM, UGC - NET, CSIR NET. . . (5)

where a, b are constants. Equation (5) gives the required equation of helix. Thus the geodesic on the surface of a cylinder is a helix. 

 

Example 10 : Find the differential equation of the geodesic on the surface of an inverted cone with semi-vertical angle θ .

Solution: The surface of the cone is characterized by the equation

Examples : Euler-Lagrange Equation - 2 | Physics for IIT JAM, UGC - NET, CSIR NET. . . (1) 

The parametric equations of the cone are given by 

Examples : Euler-Lagrange Equation - 2 | Physics for IIT JAM, UGC - NET, CSIR NET . . . (2) 

where for a = sinθ , b = cosθ are constant. Thus the metric 

Examples : Euler-Lagrange Equation - 2 | Physics for IIT JAM, UGC - NET, CSIR NET

on the surface of the cone becomes 

Examples : Euler-Lagrange Equation - 2 | Physics for IIT JAM, UGC - NET, CSIR NET. . . (3) 

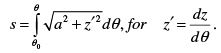
Hence the total length of the curve Examples : Euler-Lagrange Equation - 2 | Physics for IIT JAM, UGC - NET, CSIR NETon the surface of the cone is given by 

Examples : Euler-Lagrange Equation - 2 | Physics for IIT JAM, UGC - NET, CSIR NET. . . (4) 

The length s is stationary if the integrand  

Examples : Euler-Lagrange Equation - 2 | Physics for IIT JAM, UGC - NET, CSIR NET. . . (5) 

must satisfy the Euler-Lagrange’s equation

Examples : Euler-Lagrange Equation - 2 | Physics for IIT JAM, UGC - NET, CSIR NET. . . (6) 

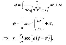
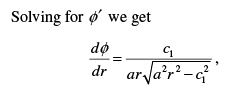
Examples : Euler-Lagrange Equation - 2 | Physics for IIT JAM, UGC - NET, CSIR NET

Examples : Euler-Lagrange Equation - 2 | Physics for IIT JAM, UGC - NET, CSIR NET. . . (7) 

where  c1 = constant. This is the required differential equation of geodesic, and the geodesic on the surface of the cone is obtained by integrating equation (7). This gives

Examples : Euler-Lagrange Equation - 2 | Physics for IIT JAM, UGC - NET, CSIR NET

 

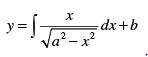
Example 11 : Find the curve for which the functional  

Examples : Euler-Lagrange Equation - 2 | Physics for IIT JAM, UGC - NET, CSIR NET

can have extrema, given that y(0)=0, while the right –hand end point can vary along 
the line Examples : Euler-Lagrange Equation - 2 | Physics for IIT JAM, UGC - NET, CSIR NET

Solution:  To find the extremal curve of the functional  

Examples : Euler-Lagrange Equation - 2 | Physics for IIT JAM, UGC - NET, CSIR NET. . . (1) 
we must solve Euler’s equation 

Examples : Euler-Lagrange Equation - 2 | Physics for IIT JAM, UGC - NET, CSIR NET. . . (2) 
where   

Examples : Euler-Lagrange Equation - 2 | Physics for IIT JAM, UGC - NET, CSIR NET. . . (3) 

Examples : Euler-Lagrange Equation - 2 | Physics for IIT JAM, UGC - NET, CSIR NET . . . (4) 

This is the second order differential equation, whose solution is given by 

Examples : Euler-Lagrange Equation - 2 | Physics for IIT JAM, UGC - NET, CSIR NET. . . (5)

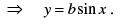
The boundary condition y ( 0 ) = 0 gives a = 0. 

Examples : Euler-Lagrange Equation - 2 | Physics for IIT JAM, UGC - NET, CSIR NET. . . (6) 
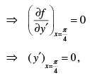
The second boundary point moves along the line  Examples : Euler-Lagrange Equation - 2 | Physics for IIT JAM, UGC - NET, CSIR NET

Examples : Euler-Lagrange Equation - 2 | Physics for IIT JAM, UGC - NET, CSIR NET

where from equation (6) we have y′ = b cos x . Thus Examples : Euler-Lagrange Equation - 2 | Physics for IIT JAM, UGC - NET, CSIR NET gives  

b= 0. This implies the extremal is attained on the line y = 0.

 

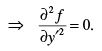
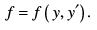
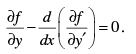
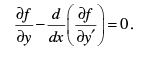
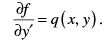
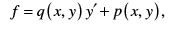
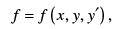
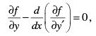
Example 12 : If f satisfies Euler-Lagrange’s equation 

Examples : Euler-Lagrange Equation - 2 | Physics for IIT JAM, UGC - NET, CSIR NET

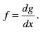
Then show that f is the total derivative Examples : Euler-Lagrange Equation - 2 | Physics for IIT JAM, UGC - NET, CSIR NETof some function of x and y and conversely. 


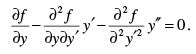
Solution:  Given that f satisfies Euler-Lagrange’s equation  

Examples : Euler-Lagrange Equation - 2 | Physics for IIT JAM, UGC - NET, CSIR NET. . . (1) 

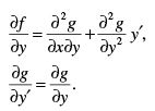
We claim that Examples : Euler-Lagrange Equation - 2 | Physics for IIT JAM, UGC - NET, CSIR NET

where   Examples : Euler-Lagrange Equation - 2 | Physics for IIT JAM, UGC - NET, CSIR NET

As   Examples : Euler-Lagrange Equation - 2 | Physics for IIT JAM, UGC - NET, CSIR NET

we write equation (1) explicitly as 

Examples : Euler-Lagrange Equation - 2 | Physics for IIT JAM, UGC - NET, CSIR NET. . . (2) 
We see from equation (2) that the first three terms on the l. h. s. of (2) contain at the highest the first derivative of y. Therefore equation (2) is satisfied identically if the coefficient of y′′ vanishes identically. 

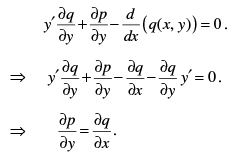
Examples : Euler-Lagrange Equation - 2 | Physics for IIT JAM, UGC - NET, CSIR NET

Integrating w. r. t. y′ we get  

Examples : Euler-Lagrange Equation - 2 | Physics for IIT JAM, UGC - NET, CSIR NET

Integrating once again we get 

Examples : Euler-Lagrange Equation - 2 | Physics for IIT JAM, UGC - NET, CSIR NET . . (3)

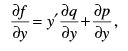
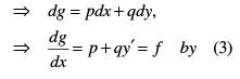
where p ( x, y ) and q ( x, y ) are constants of integration and may be function of x and y only. Then the function f so determined must satisfy the Euler –Lagrange’s equation (1). From equation (3) we find 

Examples : Euler-Lagrange Equation - 2 | Physics for IIT JAM, UGC - NET, CSIR NET
Examples : Euler-Lagrange Equation - 2 | Physics for IIT JAM, UGC - NET, CSIR NET

and

Therefore equation (1) becomes  

Examples : Euler-Lagrange Equation - 2 | Physics for IIT JAM, UGC - NET, CSIR NET.(4) 

This is the condition that the equation pdx + qdy is an exact differential  
equation dg . 

Examples : Euler-Lagrange Equation - 2 | Physics for IIT JAM, UGC - NET, CSIR NET

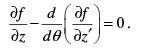
Therefore, 

Examples : Euler-Lagrange Equation - 2 | Physics for IIT JAM, UGC - NET, CSIR NET. . . (5) 
This proves the necessary part.

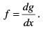
Conversely, assume that  Examples : Euler-Lagrange Equation - 2 | Physics for IIT JAM, UGC - NET, CSIR NETWe prove that f satisfies the Euler-Lagrange’s equation  

Examples : Euler-Lagrange Equation - 2 | Physics for IIT JAM, UGC - NET, CSIR NET

Since    Examples : Euler-Lagrange Equation - 2 | Physics for IIT JAM, UGC - NET, CSIR NET

Therefore, we find 

Examples : Euler-Lagrange Equation - 2 | Physics for IIT JAM, UGC - NET, CSIR NET

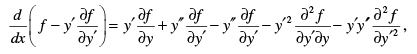
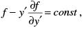
Consider now  

Examples : Euler-Lagrange Equation - 2 | Physics for IIT JAM, UGC - NET, CSIR NET

satisfies Euler-Lagrange’s equation. 


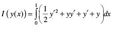
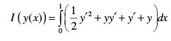
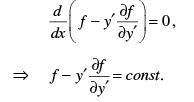
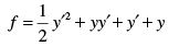
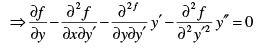
Example 13 : Show that the Euler-Lagrange’s equation of the functional 

Examples : Euler-Lagrange Equation - 2 | Physics for IIT JAM, UGC - NET, CSIR NET

has the first integral Examples : Euler-Lagrange Equation - 2 | Physics for IIT JAM, UGC - NET, CSIR NET  if the integrand does not depend on x. 
 

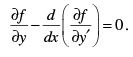
Solution: The Euler-Lagrange’s equation of the functional  

Examples : Euler-Lagrange Equation - 2 | Physics for IIT JAM, UGC - NET, CSIR NET

to be extremum is given by 

Examples : Euler-Lagrange Equation - 2 | Physics for IIT JAM, UGC - NET, CSIR NET . . . (1) 

Examples : Euler-Lagrange Equation - 2 | Physics for IIT JAM, UGC - NET, CSIR NET

If f does not involve x explicitly, thenExamples : Euler-Lagrange Equation - 2 | Physics for IIT JAM, UGC - NET, CSIR NET

Therefore, we have 

Examples : Euler-Lagrange Equation - 2 | Physics for IIT JAM, UGC - NET, CSIR NET. . . (2) 

Multiply equation (2) by y′ we get 

Examples : Euler-Lagrange Equation - 2 | Physics for IIT JAM, UGC - NET, CSIR NET . . . (3) 
But we know that 

Examples : Euler-Lagrange Equation - 2 | Physics for IIT JAM, UGC - NET, CSIR NET

Examples : Euler-Lagrange Equation - 2 | Physics for IIT JAM, UGC - NET, CSIR NET. . . (4) 

From equations (3) and (4) we see that 

Examples : Euler-Lagrange Equation - 2 | Physics for IIT JAM, UGC - NET, CSIR NET . . . (5) 
This is the first integral of Euler-Lagrange’s equation, when the functional 

Examples : Euler-Lagrange Equation - 2 | Physics for IIT JAM, UGC - NET, CSIR NET

 

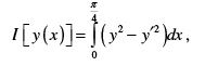
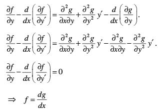
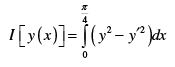
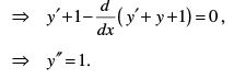
Example 14 : Find the minimum of the functional

Examples : Euler-Lagrange Equation - 2 | Physics for IIT JAM, UGC - NET, CSIR NET

if the values at the end points are not given. 

Solution: For the minimum of the functional 

Examples : Euler-Lagrange Equation - 2 | Physics for IIT JAM, UGC - NET, CSIR NET . . . (1) 
the integrand 

Examples : Euler-Lagrange Equation - 2 | Physics for IIT JAM, UGC - NET, CSIR NET. . . (2) 
must satisfy the Euler-Lagrange’s equation 

Examples : Euler-Lagrange Equation - 2 | Physics for IIT JAM, UGC - NET, CSIR NET. . . (3) 

Examples : Euler-Lagrange Equation - 2 | Physics for IIT JAM, UGC - NET, CSIR NET. . . (4) 
Integrating we get  

Examples : Euler-Lagrange Equation - 2 | Physics for IIT JAM, UGC - NET, CSIR NET. . . (5) 
Further integrating we get 

Examples : Euler-Lagrange Equation - 2 | Physics for IIT JAM, UGC - NET, CSIR NET. . . (6)

where c, c2 are constants of integration and are to be determined.

However, note that the values of y at the end points are not prescribed. In this case the constants are determined from the conditions. 

Examples : Euler-Lagrange Equation - 2 | Physics for IIT JAM, UGC - NET, CSIR NET . . . (7) 
These two conditions will determine the values of the constants.  

Examples : Euler-Lagrange Equation - 2 | Physics for IIT JAM, UGC - NET, CSIR NET. . . (8) 
where from equation (5) and (6) we have 

Examples : Euler-Lagrange Equation - 2 | Physics for IIT JAM, UGC - NET, CSIR NET

similarly, Examples : Euler-Lagrange Equation - 2 | Physics for IIT JAM, UGC - NET, CSIR NET

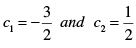
Thus the equations (8) become 

Examples : Euler-Lagrange Equation - 2 | Physics for IIT JAM, UGC - NET, CSIR NET

Solving these equations for cand c2 we obtain Examples : Euler-Lagrange Equation - 2 | Physics for IIT JAM, UGC - NET, CSIR NET

Hence the required curve for which the functional given in (1) becomes minimum is  

Examples : Euler-Lagrange Equation - 2 | Physics for IIT JAM, UGC - NET, CSIR NET . . . (9) 

The document Examples : Euler-Lagrange Equation - 2 | Physics for IIT JAM, UGC - NET, CSIR NET is a part of the Physics Course Physics for IIT JAM, UGC - NET, CSIR NET.
All you need of Physics at this link: Physics
158 docs

FAQs on Examples : Euler-Lagrange Equation - 2 - Physics for IIT JAM, UGC - NET, CSIR NET

1. What is the Euler-Lagrange equation and how is it used in physics?
Ans. The Euler-Lagrange equation is a mathematical equation used in classical mechanics to find the stationary points of a functional. In physics, it is commonly used to derive the equations of motion for a system by minimizing the action integral. The equation takes into account the Lagrangian of the system, which is a function describing the kinetic and potential energies of the system. By solving the Euler-Lagrange equation, one can find the equations of motion governing the behavior of a physical system.
2. Can you provide an example of how the Euler-Lagrange equation is applied in physics?
Ans. Sure! Let's consider a simple example of a pendulum. The Lagrangian for the pendulum can be written as the difference between the kinetic and potential energies. By applying the Euler-Lagrange equation to this Lagrangian, we can derive the equation of motion for the pendulum, which describes how the angle of the pendulum changes with time. This equation allows us to analyze the behavior of the pendulum and understand its oscillatory motion.
3. What are the advantages of using the Euler-Lagrange equation in physics?
Ans. The Euler-Lagrange equation provides a powerful mathematical tool for analyzing physical systems. It allows us to derive the equations of motion in a systematic and elegant manner by minimizing the action integral. This approach is more general than using Newton's laws of motion, as it can handle complex systems with multiple degrees of freedom. Additionally, the Euler-Lagrange equation is often used in variational principles, which play a fundamental role in many areas of physics, including classical mechanics, quantum mechanics, and field theory.
4. Are there any limitations or assumptions associated with the Euler-Lagrange equation?
Ans. Yes, there are a few limitations and assumptions associated with the Euler-Lagrange equation. Firstly, it assumes that the system under consideration can be described by a Lagrangian function, which may not always be the case for certain systems. Secondly, the equation is based on the principle of least action, which assumes that nature tends to minimize the action integral. While this principle is generally valid, there may be cases where it does not hold. Lastly, the Euler-Lagrange equation is a classical approach and does not incorporate quantum effects, so it may not be applicable in certain quantum mechanical scenarios.
5. Can the Euler-Lagrange equation be applied to relativistic physics?
Ans. Yes, the Euler-Lagrange equation can be applied to relativistic physics. In fact, it is a crucial tool in the formulation of field theories, such as the theory of general relativity. By considering appropriate Lagrangians that incorporate relativistic effects, the Euler-Lagrange equation can be used to derive the field equations that govern the behavior of spacetime and matter in the presence of gravity. This demonstrates the versatility and wide applicability of the Euler-Lagrange equation in various branches of physics.
Related Searches

Important questions

,

UGC - NET

,

Objective type Questions

,

CSIR NET

,

study material

,

past year papers

,

MCQs

,

Examples : Euler-Lagrange Equation - 2 | Physics for IIT JAM

,

Exam

,

Semester Notes

,

CSIR NET

,

mock tests for examination

,

Free

,

ppt

,

Examples : Euler-Lagrange Equation - 2 | Physics for IIT JAM

,

Viva Questions

,

practice quizzes

,

Sample Paper

,

pdf

,

Summary

,

CSIR NET

,

shortcuts and tricks

,

UGC - NET

,

Examples : Euler-Lagrange Equation - 2 | Physics for IIT JAM

,

Previous Year Questions with Solutions

,

video lectures

,

Extra Questions

,

UGC - NET

;