Mathematics Exam  >  Mathematics Notes  >  Mathematics for IIT JAM, GATE, CSIR NET, UGC NET  >  Orthonormal Basis - Matrix Algebra, CSIR-NET Mathematical Sciences

Orthonormal Basis - Matrix Algebra, CSIR-NET Mathematical Sciences | Mathematics for IIT JAM, GATE, CSIR NET, UGC NET PDF Download

Orthonormal Bases

The canonical/standard basis has many useful properties.

Orthonormal Basis - Matrix Algebra, CSIR-NET Mathematical Sciences | Mathematics for IIT JAM, GATE, CSIR NET, UGC NET

Each of the standard basis vectors has unit length:

Orthonormal Basis - Matrix Algebra, CSIR-NET Mathematical Sciences | Mathematics for IIT JAM, GATE, CSIR NET, UGC NET

The standard basis vectors are orthogonal (in other words, at right angles or perpendicular).

Orthonormal Basis - Matrix Algebra, CSIR-NET Mathematical Sciences | Mathematics for IIT JAM, GATE, CSIR NET, UGC NET

This is summarized by

Orthonormal Basis - Matrix Algebra, CSIR-NET Mathematical Sciences | Mathematics for IIT JAM, GATE, CSIR NET, UGC NET

where δij is the Kronecker delta. Notice that the Kronecker delta gives the entries of the identity matrix.
Given column vectors v and w, we have seen that the dot product v • w is the same as the matrix multiplication vT w. This is the inner product on Rn. We can also form the outer product vwT , which gives a square matrix.

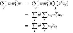
The outer product on the standard basis vectors is interesting. Set

Orthonormal Basis - Matrix Algebra, CSIR-NET Mathematical Sciences | Mathematics for IIT JAM, GATE, CSIR NET, UGC NET

Orthonormal Basis - Matrix Algebra, CSIR-NET Mathematical Sciences | Mathematics for IIT JAM, GATE, CSIR NET, UGC NET

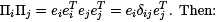
In short, IIi is the diagonal square matrix with a 1 in the ith diagonal position and zeros everywhere else.1

Notice that  Orthonormal Basis - Matrix Algebra, CSIR-NET Mathematical Sciences | Mathematics for IIT JAM, GATE, CSIR NET, UGC NET

Orthonormal Basis - Matrix Algebra, CSIR-NET Mathematical Sciences | Mathematics for IIT JAM, GATE, CSIR NET, UGC NET

Moreover, for a diagonal matrix D with diagonal entries λ1 ..... λn, we can write

Orthonormal Basis - Matrix Algebra, CSIR-NET Mathematical Sciences | Mathematics for IIT JAM, GATE, CSIR NET, UGC NET

Other bases that share these properties should behave in many of the same ways as the standard basis. As such, we will study:

This is reminiscent of an older notation, where vectors are written in juxtaposition.
 This is called a `dyadic tensor,' and is still used in some applications.


Orthogonal bases {v1,.....vn}:

vi vj = 0 if i ≠ j

In other words, all vectors in the basis are perpendicular.

Orthonormal bases {u1 ,..... un}:

ui uj = δij :

In addition to being orthogonal, each vector has unit length.

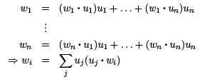
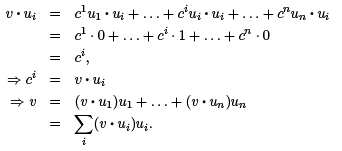
Suppose T = {u1,......, un} is an orthonormal basis for Rn. Since T is a basis, we can write any vector v uniquely as a linear combination of the vectors in T :

v = c1u1 + .... cnun:

Since T is orthonormal, there is a very easy way to nd the coecients of this linear combination. By taking the dot product of v with any of the vectors in T , we get:

Orthonormal Basis - Matrix Algebra, CSIR-NET Mathematical Sciences | Mathematics for IIT JAM, GATE, CSIR NET, UGC NET

This proves the theorem:

Theorem. For an orthonormal basis {u1,....un} any, any vector v can be expressed

Orthonormal Basis - Matrix Algebra, CSIR-NET Mathematical Sciences | Mathematics for IIT JAM, GATE, CSIR NET, UGC NET

Relating Orthonormal Bases

Suppose T = {u1,.... un} and R = {w1,.... wn} are two orthonormal bases for Rn. Then:

Orthonormal Basis - Matrix Algebra, CSIR-NET Mathematical Sciences | Mathematics for IIT JAM, GATE, CSIR NET, UGC NET

As such, the matrix for the change of basis from T to R is given by

Orthonormal Basis - Matrix Algebra, CSIR-NET Mathematical Sciences | Mathematics for IIT JAM, GATE, CSIR NET, UGC NET

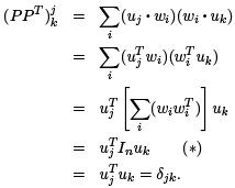
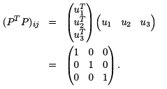
Consider the product PPT in this case.

Orthonormal Basis - Matrix Algebra, CSIR-NET Mathematical Sciences | Mathematics for IIT JAM, GATE, CSIR NET, UGC NET

In the equality (*) is explained below. So assuming (*) holds, we have shown that PPT = In, which implies that

PT = P -1.

The equality in the line (*) says that  Orthonormal Basis - Matrix Algebra, CSIR-NET Mathematical Sciences | Mathematics for IIT JAM, GATE, CSIR NET, UGC NET To see this, we examine  Orthonormal Basis - Matrix Algebra, CSIR-NET Mathematical Sciences | Mathematics for IIT JAM, GATE, CSIR NET, UGC NET for an arbitrary vector v. We can nd constants cj such that Orthonormal Basis - Matrix Algebra, CSIR-NET Mathematical Sciences | Mathematics for IIT JAM, GATE, CSIR NET, UGC NET so that: 

Orthonormal Basis - Matrix Algebra, CSIR-NET Mathematical Sciences | Mathematics for IIT JAM, GATE, CSIR NET, UGC NET
Orthonormal Basis - Matrix Algebra, CSIR-NET Mathematical Sciences | Mathematics for IIT JAM, GATE, CSIR NET, UGC NETsince all terms with i ≠ j vanish

= v.

Then as a linear transformation, Orthonormal Basis - Matrix Algebra, CSIR-NET Mathematical Sciences | Mathematics for IIT JAM, GATE, CSIR NET, UGC NET xes every vector, and thus must be the identity In.

Definition A matrix P is orthogonal if P-1 = PT.

Then to summarize,

Theorem : A change of basis matrix P relating two orthonormal bases is an orthogonal matrix. i.e.

P-1 = PT.

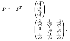
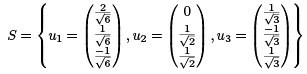
Example : Consider R3 with the orthonormal basis

Orthonormal Basis - Matrix Algebra, CSIR-NET Mathematical Sciences | Mathematics for IIT JAM, GATE, CSIR NET, UGC NET

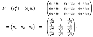
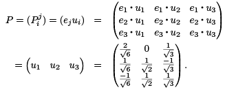
Let R be the standard basis {e1, e2, e3}. Since we are changing from the standard basis to a new basis, then the columns of the change of basis matrix are exactly the images of the standard basis vectors. Then the change of basis matrix from R to S is given by:

Orthonormal Basis - Matrix Algebra, CSIR-NET Mathematical Sciences | Mathematics for IIT JAM, GATE, CSIR NET, UGC NET

From our theorem, we observe that:

Orthonormal Basis - Matrix Algebra, CSIR-NET Mathematical Sciences | Mathematics for IIT JAM, GATE, CSIR NET, UGC NET

We can check that P T P = In by a lengthy computation, or more simply, notice that

Orthonormal Basis - Matrix Algebra, CSIR-NET Mathematical Sciences | Mathematics for IIT JAM, GATE, CSIR NET, UGC NET

We are using orthonormality of the ui for the matrix multiplication above.

Orthonormal Change of Basis and Diagonal Matrices. Suppose D is a diagonal matrix, and we use an orthogonal matrix P to change to a new basis. Then the matrix M of D in the new basis is:

M = P DP-1 = P DPT :

Now we calculate the transpose of M .

Orthonormal Basis - Matrix Algebra, CSIR-NET Mathematical Sciences | Mathematics for IIT JAM, GATE, CSIR NET, UGC NET

So we see the matrix P DPT is symmetric!

The document Orthonormal Basis - Matrix Algebra, CSIR-NET Mathematical Sciences | Mathematics for IIT JAM, GATE, CSIR NET, UGC NET is a part of the Mathematics Course Mathematics for IIT JAM, GATE, CSIR NET, UGC NET.
All you need of Mathematics at this link: Mathematics
556 videos|198 docs

FAQs on Orthonormal Basis - Matrix Algebra, CSIR-NET Mathematical Sciences - Mathematics for IIT JAM, GATE, CSIR NET, UGC NET

1. What is an orthonormal basis in matrix algebra?
Ans. In matrix algebra, an orthonormal basis refers to a set of vectors in a vector space such that each vector is unit length (norm equal to 1) and all vectors are mutually perpendicular (orthogonal) to each other.
2. Why are orthonormal bases important in matrix algebra?
Ans. Orthonormal bases are important in matrix algebra because they provide a convenient way to represent vectors and perform calculations. With an orthonormal basis, the coordinates of a vector can be easily computed by taking the dot product of the vector with each basis vector. Additionally, orthonormal bases simplify matrix operations such as matrix multiplication and finding inverses.
3. How can we determine if a set of vectors form an orthonormal basis?
Ans. To determine if a set of vectors form an orthonormal basis, we need to check two conditions: - Each vector in the set should have a norm (length) of 1. - All vectors in the set should be mutually orthogonal to each other, meaning their dot products should be zero.
4. Can a matrix have multiple orthonormal bases?
Ans. Yes, a matrix can have multiple orthonormal bases. In fact, any basis can be transformed into an orthonormal basis using techniques like Gram-Schmidt orthogonalization. The choice of which orthonormal basis to use may depend on the specific problem or application.
5. What are the advantages of using an orthonormal basis in solving matrix equations?
Ans. Using an orthonormal basis in solving matrix equations has several advantages: - It simplifies calculations by reducing the number of operations required. - It allows for easier interpretation of the results, as the coefficients of the basis vectors correspond to the coordinates of the solution vector. - It helps in finding orthogonal complements and projections, which have various applications in fields such as signal processing and data compression.
Related Searches

Free

,

practice quizzes

,

CSIR-NET Mathematical Sciences | Mathematics for IIT JAM

,

Summary

,

Exam

,

shortcuts and tricks

,

Sample Paper

,

pdf

,

mock tests for examination

,

CSIR-NET Mathematical Sciences | Mathematics for IIT JAM

,

GATE

,

Viva Questions

,

UGC NET

,

past year papers

,

UGC NET

,

video lectures

,

GATE

,

Semester Notes

,

CSIR NET

,

ppt

,

CSIR NET

,

UGC NET

,

CSIR NET

,

Orthonormal Basis - Matrix Algebra

,

Previous Year Questions with Solutions

,

Orthonormal Basis - Matrix Algebra

,

GATE

,

study material

,

Orthonormal Basis - Matrix Algebra

,

Extra Questions

,

Objective type Questions

,

CSIR-NET Mathematical Sciences | Mathematics for IIT JAM

,

Important questions

,

MCQs

;