Convolution - Operations on Signals | Signals and Systems - Electronics and Communication Engineering (ECE) PDF Download

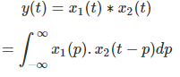
The convolution of two signals in the time domain is equivalent to the multiplication of their representation in frequency domain. Mathematically, we can write the convolution of two signals as

Convolution - Operations on Signals | Signals and Systems - Electronics and Communication Engineering (ECE)

Steps for convolution

  • Take signal x1(t) and put t = p there so that it will be x1(p).
  • Take the signal x2(t) and do the step 1 and make it x2(p).
  • Make the folding of the signal i.e. x2(-p).
  • Do the time shifting of the above signal x2[-(p-t)]
  • Then do the multiplication of both the signals. i.e.  Convolution - Operations on Signals | Signals and Systems - Electronics and Communication Engineering (ECE)

Example

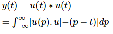
Let us do the convolution of a step signal u(t) with its own kind.

Convolution - Operations on Signals | Signals and Systems - Electronics and Communication Engineering (ECE)

Now this t can be greater than or less than zero, which are shown in below figures


Convolution - Operations on Signals | Signals and Systems - Electronics and Communication Engineering (ECE)

So, with the above case, the result arises with following possibilities

Convolution - Operations on Signals | Signals and Systems - Electronics and Communication Engineering (ECE)

Properties of Convolution

Commutative

It states that order of convolution does not matter, which can be shown mathematically as

Convolution - Operations on Signals | Signals and Systems - Electronics and Communication Engineering (ECE)

Associative

It states that order of convolution involving three signals, can be anything. Mathematically, it can be shown as;

Convolution - Operations on Signals | Signals and Systems - Electronics and Communication Engineering (ECE)

Distributive

Two signals can be added first, and then their convolution can be made to the third signal. This is equivalent to convolution of two signals individually with the third signal and added finally. Mathematically, this can be written as;

Convolution - Operations on Signals | Signals and Systems - Electronics and Communication Engineering (ECE)

Area

If a signal is the result of convolution of two signals then the area of the signal is the multiplication of those individual signals. Mathematically this can be written

If  Convolution - Operations on Signals | Signals and Systems - Electronics and Communication Engineering (ECE)

Then, Area of y(t) = Area of x1(t) X Area of x2(t) 

Scaling

If two signals are scaled to some unknown constant “a” and convolution is done then resultant signal will also be convoluted to same constant “a” and will be divided by that quantity as shown below.

If,   Convolution - Operations on Signals | Signals and Systems - Electronics and Communication Engineering (ECE)
Then,  Convolution - Operations on Signals | Signals and Systems - Electronics and Communication Engineering (ECE)

Delay

Suppose a signal y(t) is a result from the convolution of two signals x1(t) and x2(t). If the two signals are delayed by time t1 and t2 respectively, then the resultant signal y(t) will be delayed by (t1+t2). Mathematically, it can be written as −

If,  Convolution - Operations on Signals | Signals and Systems - Electronics and Communication Engineering (ECE)
Then,   Convolution - Operations on Signals | Signals and Systems - Electronics and Communication Engineering (ECE)

Solved Examples

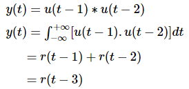
Example 1 − Find the convolution of the signals u(t-1) and u(t-2).

Solution − Given signals are u(t-1) and u(t-2). Their convolution can be done as shown below −

Convolution - Operations on Signals | Signals and Systems - Electronics and Communication Engineering (ECE)

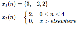
Example 2 − Find the convolution of two signals given by

Convolution - Operations on Signals | Signals and Systems - Electronics and Communication Engineering (ECE)

Solution

x2(n) can be decoded as x2(n) = {2,2,2,2,2} Original first

x1(n) is previously given = {3,−2,3} = 3−2Z−1 + 2Z−2

Similarly, x2(z) = 2 + 2Z−1 + 2Z−2 + 2Z−3 + 2Z−4

Resultant signal,

X(Z) = X1(Z)X2(z)

= {3−2Z−1 + 2Z−2} × {2+2Z−1 + 2Z−2 + 2Z−3 + 2Z−4}

= 6+2Z−1 + 6Z−2 + 6Z−3 + 6Z−4 + 6Z−5

Taking inverse Z-transformation of the above, we will get the resultant signal as

x(n) = {6,2,6,6,6,0,4} Origin at the first

Example 3 − Determine the convolution of following 2 signals -

x(n) = {2,1,0,1}

h(n) = {1,2,3,1}

Solution

Taking the Z-transformation of the signals, we get,

x(z) = 2 + 2Z−1 + 2Z−3

And h(n) = 1 + 2Z−1 + 3Z−2 + Z−3

Now convolution of two signal means multiplication of their Z-transformations

That is 

Y(Z) = X(Z) × h(Z)

= {2 + 2Z−1 + 2Z−3} × {1 + 2Z−1 + 3Z−2 + Z−3}

= {2 + 5Z−1 + 8Z−2 + 6Z−3 + 3Z−4 + 3Z−5 + Z−6}

Taking the inverse Z-transformation, the resultant signal can be written as;

y(n) = {2,5,8,6,6,1} Original first

The document Convolution - Operations on Signals | Signals and Systems - Electronics and Communication Engineering (ECE) is a part of the Electronics and Communication Engineering (ECE) Course Signals and Systems.
All you need of Electronics and Communication Engineering (ECE) at this link: Electronics and Communication Engineering (ECE)
36 videos|117 docs|63 tests

FAQs on Convolution - Operations on Signals - Signals and Systems - Electronics and Communication Engineering (ECE)

1. What is convolution and how is it related to operations on signals?
Ans. Convolution is a mathematical operation that combines two signals to create a third signal. It is commonly used in signal processing to analyze and modify signals. Convolution can be seen as a way to measure the overlapping or similarity between two signals, and it is performed by multiplying corresponding samples of the signals and summing the results.
2. What are some common applications of convolution in signal processing?
Ans. Convolution is widely used in various applications of signal processing. Some common applications include image processing, audio processing, speech recognition, pattern recognition, and telecommunications. It is used for tasks such as noise reduction, filtering, feature extraction, and signal analysis.
3. Can you explain the concept of impulse response in the context of convolution?
Ans. In the context of convolution, the impulse response refers to the response of a system to an impulse input signal. An impulse signal is a very short-duration signal that has an amplitude of 1 at a specific instant and 0 elsewhere. When an impulse signal is convolved with a system's impulse response, it produces the system's output signal. The impulse response provides valuable information about the characteristics and behavior of the system.
4. How does the length of the signals affect the convolution operation?
Ans. The length of the signals involved in the convolution operation affects the length of the resulting signal. When two signals of length N and M are convolved, the resulting signal will have a length of N+M-1. It is important to consider the length of the signals and handle any potential boundary effects or truncation issues that may arise during the convolution process.
5. Are there any efficient algorithms or techniques available for performing convolution on signals?
Ans. Yes, there are efficient algorithms and techniques available for performing convolution on signals. One commonly used technique is the Fast Fourier Transform (FFT) algorithm, which exploits the properties of the Fourier transform to efficiently compute the convolution of two signals. The FFT reduces the computational complexity from O(N^2) to O(N log N), making it suitable for real-time and large-scale signal processing applications. Other techniques, such as overlap-add and overlap-save methods, are also used to improve the efficiency of convolution operations.
Related Searches

past year papers

,

Convolution - Operations on Signals | Signals and Systems - Electronics and Communication Engineering (ECE)

,

shortcuts and tricks

,

practice quizzes

,

Important questions

,

study material

,

Convolution - Operations on Signals | Signals and Systems - Electronics and Communication Engineering (ECE)

,

Previous Year Questions with Solutions

,

Summary

,

Exam

,

Semester Notes

,

pdf

,

MCQs

,

Objective type Questions

,

mock tests for examination

,

Free

,

Extra Questions

,

video lectures

,

Convolution - Operations on Signals | Signals and Systems - Electronics and Communication Engineering (ECE)

,

Viva Questions

,

Sample Paper

,

ppt

;