In-Place Computation | Signals and Systems - Electronics and Communication Engineering (ECE) PDF Download

This efficient use of memory is important for designing fast hardware to calculate the FFT. The term in-place computation is used to describe this memory usage.

Decimation in Time Sequence

In this structure, we represent all the points in binary format i.e. in 0 and 1. Then, we reverse those structures. The sequence we get after that is known as bit reversal sequence. This is also known as decimation in time sequence. In-place computation of an eight-point DFT is shown in a tabular format as shown below −

 

POINTSBINARY FORMATREVERSALEQUIVALENT POINTS
00000000
10011004
20100102
30111106
41000011
51011015
61100113
71111117

 

In-Place Computation | Signals and Systems - Electronics and Communication Engineering (ECE)

Decimation in Frequency Sequence

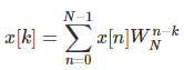
Apart from time sequence, an N-point sequence can also be represented in frequency. Let us take a four-point sequence to understand it better.

Let the sequence be  In-Place Computation | Signals and Systems - Electronics and Communication Engineering (ECE) 

We will group two points into one group, initially. Mathematically, this sequence can be written as;

In-Place Computation | Signals and Systems - Electronics and Communication Engineering (ECE)

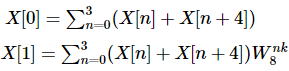
Now let us make one group of sequence number 0 to 3 and another group of sequence 4 to 7. Now, mathematically this can be shown as;

In-Place Computation | Signals and Systems - Electronics and Communication Engineering (ECE)

Let us replace n by r, where r = 0, 1 , 2….(N/2-1). Mathematically,

In-Place Computation | Signals and Systems - Electronics and Communication Engineering (ECE)

We take the first four points (x[0], x[1], x[2], x[3]) initially, and try to represent them mathematically as follows −

In-Place Computation | Signals and Systems - Electronics and Communication Engineering (ECE)

In-Place Computation | Signals and Systems - Electronics and Communication Engineering (ECE)

In-Place Computation | Signals and Systems - Electronics and Communication Engineering (ECE)

We can further break it into two more parts, which means instead of breaking them as 4-point sequence, we can break them into 2-point sequence.

The document In-Place Computation | Signals and Systems - Electronics and Communication Engineering (ECE) is a part of the Electronics and Communication Engineering (ECE) Course Signals and Systems.
All you need of Electronics and Communication Engineering (ECE) at this link: Electronics and Communication Engineering (ECE)
36 videos|117 docs|63 tests

FAQs on In-Place Computation - Signals and Systems - Electronics and Communication Engineering (ECE)

1. What is in-place computation?
Ans. In-place computation refers to a method of performing calculations or operations on data without requiring additional memory space to store the results. The computations are done directly on the existing data, modifying it in-place, which can save memory and improve efficiency.
2. How does in-place computation work?
Ans. In in-place computation, algorithms and operations are designed to modify the input data directly without the need for extra memory. This is achieved by carefully rearranging and reusing the existing memory locations to store intermediate and final results. It requires careful handling of the data and can involve swapping, shifting, or overwriting elements to perform the desired calculations.
3. What are the advantages of in-place computation?
Ans. In-place computation offers several advantages. Firstly, it saves memory as there is no need to allocate additional space for the results. This is particularly beneficial when working with large datasets or limited memory resources. Secondly, it reduces the need for data copying, leading to faster execution times. Additionally, in-place computation can also help in reducing the complexity of the code and enhancing code readability.
4. Are there any limitations or challenges with in-place computation?
Ans. Yes, there are some limitations and challenges associated with in-place computation. One major challenge is the potential for data corruption or loss. Since the original data is modified during the computation, there is a risk of unintentional changes or overwriting of important information. Another challenge is the complexity of designing algorithms that can effectively operate in-place, as it often requires careful management and manipulation of the data. Additionally, in-place computation may not always be feasible or efficient for certain types of operations or data structures.
5. How is in-place computation used in real-world applications?
Ans. In-place computation is widely used in various real-world applications. For example, in image processing, algorithms are designed to modify the image data directly without storing intermediate results, which helps conserve memory and improve performance. In sorting algorithms, such as in-place quicksort, elements are rearranged within the given array itself, reducing the need for additional memory. In-place computation is also utilized in certain data compression techniques, where the original data is transformed and compressed directly, reducing the overall storage requirements.
Related Searches

Free

,

Viva Questions

,

study material

,

ppt

,

Semester Notes

,

Extra Questions

,

pdf

,

Previous Year Questions with Solutions

,

practice quizzes

,

Exam

,

MCQs

,

shortcuts and tricks

,

In-Place Computation | Signals and Systems - Electronics and Communication Engineering (ECE)

,

mock tests for examination

,

In-Place Computation | Signals and Systems - Electronics and Communication Engineering (ECE)

,

video lectures

,

past year papers

,

Sample Paper

,

In-Place Computation | Signals and Systems - Electronics and Communication Engineering (ECE)

,

Objective type Questions

,

Important questions

,

Summary

;