JEE Exam  >  JEE Notes  >  I. E. Irodov Solutions for Physics Class 11 & Class 12  >  Irodov Solutions: Kinematics - 3

Irodov Solutions: Kinematics - 3 | I. E. Irodov Solutions for Physics Class 11 & Class 12 - JEE PDF Download

Q. 31. A ball starts falling with zero initial velocity on a smooth inclined plane forming an angle a with the horizontal. Having fallen the distance h, the ball rebounds elastically off the inclined plane. At what distance from the impact point will the -ball rebound for the second time? 

Ans. The ball strikes the inclined plane (Ox) at point O (origin) with velocity  Irodov Solutions: Kinematics - 3 | I. E. Irodov Solutions for Physics Class 11 & Class 12 - JEE As the ball elastically rebounds, it recalls with same velocity v0, at the same angle a from the normal or y axis (Fig.). Let the ball strikes the incline second time at P, which is at a distance l (say) from the point O, along the incline. From the equation Irodov Solutions: Kinematics - 3 | I. E. Irodov Solutions for Physics Class 11 & Class 12 - JEE

Irodov Solutions: Kinematics - 3 | I. E. Irodov Solutions for Physics Class 11 & Class 12 - JEE

where τ is the time of motion of ball in air while moving from O to P.

Irodov Solutions: Kinematics - 3 | I. E. Irodov Solutions for Physics Class 11 & Class 12 - JEE  (2) 

Irodov Solutions: Kinematics - 3 | I. E. Irodov Solutions for Physics Class 11 & Class 12 - JEE

Now from me equation.

Irodov Solutions: Kinematics - 3 | I. E. Irodov Solutions for Physics Class 11 & Class 12 - JEE

so, Irodov Solutions: Kinematics - 3 | I. E. Irodov Solutions for Physics Class 11 & Class 12 - JEE

Irodov Solutions: Kinematics - 3 | I. E. Irodov Solutions for Physics Class 11 & Class 12 - JEE

Hence the sought distance,  Irodov Solutions: Kinematics - 3 | I. E. Irodov Solutions for Physics Class 11 & Class 12 - JEE


Q. 32. A cannon and a target are 5.10 km apart and located at the same level. How soon will the shell launched with the initial velocity 240 m/s reach the target in the absence of air drag? 

Ans. Total time of motion

Irodov Solutions: Kinematics - 3 | I. E. Irodov Solutions for Physics Class 11 & Class 12 - JEE   (1)

and horizontal range 

Irodov Solutions: Kinematics - 3 | I. E. Irodov Solutions for Physics Class 11 & Class 12 - JEE    (2)

From Eqs. (1) and (2) 

Irodov Solutions: Kinematics - 3 | I. E. Irodov Solutions for Physics Class 11 & Class 12 - JEE

On simplifying Irodov Solutions: Kinematics - 3 | I. E. Irodov Solutions for Physics Class 11 & Class 12 - JEE

Irodov Solutions: Kinematics - 3 | I. E. Irodov Solutions for Physics Class 11 & Class 12 - JEE

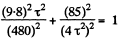
Solving for τ2 wc get :

Thus

τ =  42.39 s = 0.71 min and
τ = 24-55 s = 0.41 min depending on the angle α.


Q. 33. A cannon fires successively two shells with velocity v0  = 250 m/s; the first at the angle θ1 =  60° and the second at the angle θ2  = 45° to the horizontal, the azimuth being the same. Neglecting the air drag, find the time interval between firings leading to the collision of the shells. 

Ans. Let the shells collide at the point P (x, y). If the first shell takes t s to collide with second and Δt be the time interval between the firings, then 

Irodov Solutions: Kinematics - 3 | I. E. Irodov Solutions for Physics Class 11 & Class 12 - JEE

Irodov Solutions: Kinematics - 3 | I. E. Irodov Solutions for Physics Class 11 & Class 12 - JEE

Irodov Solutions: Kinematics - 3 | I. E. Irodov Solutions for Physics Class 11 & Class 12 - JEE

Irodov Solutions: Kinematics - 3 | I. E. Irodov Solutions for Physics Class 11 & Class 12 - JEE

Irodov Solutions: Kinematics - 3 | I. E. Irodov Solutions for Physics Class 11 & Class 12 - JEE

Irodov Solutions: Kinematics - 3 | I. E. Irodov Solutions for Physics Class 11 & Class 12 - JEE


Q. 34. A balloon starts rising from the surface of the Earth. The ascension rate is constant and equal to v0. Due to the wind the balloon gathers the horizontal velocity component vx  = ay, where a is a constant and y is the height of ascent. Find how the following quantities depend on the height of ascent:
 (a) the horizontal drift of the balloon x (y);
 (b) the total, tangential, and normal accelerations of the balloon. 

Ans. According to the problem

Irodov Solutions: Kinematics - 3 | I. E. Irodov Solutions for Physics Class 11 & Class 12 - JEE

Integrating  Irodov Solutions: Kinematics - 3 | I. E. Irodov Solutions for Physics Class 11 & Class 12 - JEE    (1)

And also we have  Irodov Solutions: Kinematics - 3 | I. E. Irodov Solutions for Physics Class 11 & Class 12 - JEE

So,  Irodov Solutions: Kinematics - 3 | I. E. Irodov Solutions for Physics Class 11 & Class 12 - JEE

(b) According to the problem

Irodov Solutions: Kinematics - 3 | I. E. Irodov Solutions for Physics Class 11 & Class 12 - JEE     (2)

So, Irodov Solutions: Kinematics - 3 | I. E. Irodov Solutions for Physics Class 11 & Class 12 - JEE

Therefore Irodov Solutions: Kinematics - 3 | I. E. Irodov Solutions for Physics Class 11 & Class 12 - JEE

Diff. Eq. (2) with respect to time.

Irodov Solutions: Kinematics - 3 | I. E. Irodov Solutions for Physics Class 11 & Class 12 - JEE

So,  Irodov Solutions: Kinematics - 3 | I. E. Irodov Solutions for Physics Class 11 & Class 12 - JEE

Hence Irodov Solutions: Kinematics - 3 | I. E. Irodov Solutions for Physics Class 11 & Class 12 - JEE


Q. 35. A particle moves in the plane xy with velocity v = ai + bxj, where i and j are the unit vectors of the x and y axes, and a and b are constants. At the initial moment of time the particle was located at the point x = y = 0. Find:
 (a) the equation of the particle's trajectory y (x);
 (b) the curvature radius of trajectory as a function of x. 

Ans. (a) The velocity vector of the particle

Irodov Solutions: Kinematics - 3 | I. E. Irodov Solutions for Physics Class 11 & Class 12 - JEE

So,  Irodov Solutions: Kinematics - 3 | I. E. Irodov Solutions for Physics Class 11 & Class 12 - JEE   (1)

From (1) Irodov Solutions: Kinematics - 3 | I. E. Irodov Solutions for Physics Class 11 & Class 12 - JEE    (2)

And Irodov Solutions: Kinematics - 3 | I. E. Irodov Solutions for Physics Class 11 & Class 12 - JEE

Integrating  Irodov Solutions: Kinematics - 3 | I. E. Irodov Solutions for Physics Class 11 & Class 12 - JEE     (3)

From Eqs. (2) and (3) , we get,   Irodov Solutions: Kinematics - 3 | I. E. Irodov Solutions for Physics Class 11 & Class 12 - JEE (4)

Irodov Solutions: Kinematics - 3 | I. E. Irodov Solutions for Physics Class 11 & Class 12 - JEE

Let us differentiate the path Eq.  Irodov Solutions: Kinematics - 3 | I. E. Irodov Solutions for Physics Class 11 & Class 12 - JEE w ith resp ect to x,

Irodov Solutions: Kinematics - 3 | I. E. Irodov Solutions for Physics Class 11 & Class 12 - JEE

From Eqs. (5) and (6), the sought curvature radius :

Irodov Solutions: Kinematics - 3 | I. E. Irodov Solutions for Physics Class 11 & Class 12 - JEE


Q. 36. A particle A moves in one direction along a given trajectory with a tangential acceleration wτ = aτ, where a is a constant vector coinciding in direction with the x axis (Fig. 1.4), and τ is a unit vector coinciding in direction with the velocity vector at a given point. Find how the velocity of the particle depends on x provided that its velocity is negligible at the point x = 0. 

Ans. In accordance with the problem  Irodov Solutions: Kinematics - 3 | I. E. Irodov Solutions for Physics Class 11 & Class 12 - JEE

But  Irodov Solutions: Kinematics - 3 | I. E. Irodov Solutions for Physics Class 11 & Class 12 - JEE

So,   Irodov Solutions: Kinematics - 3 | I. E. Irodov Solutions for Physics Class 11 & Class 12 - JEE

or,   Irodov Solutions: Kinematics - 3 | I. E. Irodov Solutions for Physics Class 11 & Class 12 - JEE (because  Irodov Solutions: Kinematics - 3 | I. E. Irodov Solutions for Physics Class 11 & Class 12 - JEE  directed towards the jc-axis)

So,   Irodov Solutions: Kinematics - 3 | I. E. Irodov Solutions for Physics Class 11 & Class 12 - JEE

Hence  Irodov Solutions: Kinematics - 3 | I. E. Irodov Solutions for Physics Class 11 & Class 12 - JEE


Q. 37. A point moves along a circle with a velocity v = at, where a = 0.50 m/s2. Find the total acceleration of the point at the mo- merit when it covered the n-th (n = 0.10) fraction of the circle after the beginning of motion. 

Ans. The velocity of the particle v = at

So,   Irodov Solutions: Kinematics - 3 | I. E. Irodov Solutions for Physics Class 11 & Class 12 - JEE      (1)

And  Irodov Solutions: Kinematics - 3 | I. E. Irodov Solutions for Physics Class 11 & Class 12 - JEE    (2)

From  Irodov Solutions: Kinematics - 3 | I. E. Irodov Solutions for Physics Class 11 & Class 12 - JEE

Irodov Solutions: Kinematics - 3 | I. E. Irodov Solutions for Physics Class 11 & Class 12 - JEE

So,  Irodov Solutions: Kinematics - 3 | I. E. Irodov Solutions for Physics Class 11 & Class 12 - JEE    (3)

From Eqs. (2) and (3) wn = 4πaη

Irodov Solutions: Kinematics - 3 | I. E. Irodov Solutions for Physics Class 11 & Class 12 - JEE

Irodov Solutions: Kinematics - 3 | I. E. Irodov Solutions for Physics Class 11 & Class 12 - JEE


Q. 38. A point moves with deceleration along the circle of radius R so that at any moment of time its tangential and normal accelerations are equal in moduli. At the initial moment t = 0 the velocity of the point equals v0. Find:
 (a) the velocity of the point as a function of time and as a function of the distance covered s;
 (b) the total acceleration of the point as a function of velocity and the distance covered. 

Irodov Solutions: Kinematics - 3 | I. E. Irodov Solutions for Physics Class 11 & Class 12 - JEE

Ans.  (a) According to the problem

Irodov Solutions: Kinematics - 3 | I. E. Irodov Solutions for Physics Class 11 & Class 12 - JEE

For v (t),  Irodov Solutions: Kinematics - 3 | I. E. Irodov Solutions for Physics Class 11 & Class 12 - JEE

Integrating this equation from  Irodov Solutions: Kinematics - 3 | I. E. Irodov Solutions for Physics Class 11 & Class 12 - JEE

Irodov Solutions: Kinematics - 3 | I. E. Irodov Solutions for Physics Class 11 & Class 12 - JEE

Irodov Solutions: Kinematics - 3 | I. E. Irodov Solutions for Physics Class 11 & Class 12 - JEE Integrating this equation from Irodov Solutions: Kinematics - 3 | I. E. Irodov Solutions for Physics Class 11 & Class 12 - JEE

So,   Irodov Solutions: Kinematics - 3 | I. E. Irodov Solutions for Physics Class 11 & Class 12 - JEE

Hence  Irodov Solutions: Kinematics - 3 | I. E. Irodov Solutions for Physics Class 11 & Class 12 - JEE

(b) The normal acceleration of the point 

Irodov Solutions: Kinematics - 3 | I. E. Irodov Solutions for Physics Class 11 & Class 12 - JEE

And as accordance with the problem  

Irodov Solutions: Kinematics - 3 | I. E. Irodov Solutions for Physics Class 11 & Class 12 - JEE

so, Irodov Solutions: Kinematics - 3 | I. E. Irodov Solutions for Physics Class 11 & Class 12 - JEE


Q. 39. A point moves along an arc of a circle of radius R. Its velocity depends on the distance covered Irodov Solutions: Kinematics - 3 | I. E. Irodov Solutions for Physics Class 11 & Class 12 - JEE where a is a constant. Find the angle α between the vector of the total acceleration and the vector of velocity as a function of s.

Ans. From the equation  Irodov Solutions: Kinematics - 3 | I. E. Irodov Solutions for Physics Class 11 & Class 12 - JEE

Irodov Solutions: Kinematics - 3 | I. E. Irodov Solutions for Physics Class 11 & Class 12 - JEE

Irodov Solutions: Kinematics - 3 | I. E. Irodov Solutions for Physics Class 11 & Class 12 - JEE

As w, is a positive constant, the speed of the particle increases with time, and the tangential acceleration vector and velocity vector coincides in direction.

Hence the angle between  Irodov Solutions: Kinematics - 3 | I. E. Irodov Solutions for Physics Class 11 & Class 12 - JEE is equal to between Irodov Solutions: Kinematics - 3 | I. E. Irodov Solutions for Physics Class 11 & Class 12 - JEE can be found by means of the formula  Irodov Solutions: Kinematics - 3 | I. E. Irodov Solutions for Physics Class 11 & Class 12 - JEE


Q. 40. A particle moves along an arc of a circle of radius R according to the law l = a sin ωt, where l is the displacement from the initial position measured along the arc, and a and ω are constants. Assuming R = 1.00 m, a = 0.80 m, and co = 2.00 rad/s, find:
 (a) the magnitude of the total acceleration of the particle at the points l = 0 and l = ±a;
 (b) the minimum value of the total acceleration wmin  and the corresponding displacement lm.

Ans. From the equation    Irodov Solutions: Kinematics - 3 | I. E. Irodov Solutions for Physics Class 11 & Class 12 - JEE

Irodov Solutions: Kinematics - 3 | I. E. Irodov Solutions for Physics Class 11 & Class 12 - JEE

Irodov Solutions: Kinematics - 3 | I. E. Irodov Solutions for Physics Class 11 & Class 12 - JEE     (1)

Irodov Solutions: Kinematics - 3 | I. E. Irodov Solutions for Physics Class 11 & Class 12 - JEE   (2)

(a) At the point Irodov Solutions: Kinematics - 3 | I. E. Irodov Solutions for Physics Class 11 & Class 12 - JEE

Hence  Irodov Solutions: Kinematics - 3 | I. E. Irodov Solutions for Physics Class 11 & Class 12 - JEE

Similarly  Irodov Solutions: Kinematics - 3 | I. E. Irodov Solutions for Physics Class 11 & Class 12 - JEE

Hence Irodov Solutions: Kinematics - 3 | I. E. Irodov Solutions for Physics Class 11 & Class 12 - JEE


Q. 41. A point moves in the plane so that its tangential acceleration wτ = a, and its normal acceleration wn  = bt4, where a and b are positive constants, and t is time. At the moment t = 0 the point was at rest. Find how the curvature radius R of the point's trajectory and the total acceleration w depend on the distance covered s. 

Ans. As wt = a and at t = 0, the point is at rest

So,  Irodov Solutions: Kinematics - 3 | I. E. Irodov Solutions for Physics Class 11 & Class 12 - JEE     (1)

Let R be the curvature radius, then 

Irodov Solutions: Kinematics - 3 | I. E. Irodov Solutions for Physics Class 11 & Class 12 - JEE

But according to the problem

Irodov Solutions: Kinematics - 3 | I. E. Irodov Solutions for Physics Class 11 & Class 12 - JEE

Irodov Solutions: Kinematics - 3 | I. E. Irodov Solutions for Physics Class 11 & Class 12 - JEE

Therefore  Irodov Solutions: Kinematics - 3 | I. E. Irodov Solutions for Physics Class 11 & Class 12 - JEE

Hence  Irodov Solutions: Kinematics - 3 | I. E. Irodov Solutions for Physics Class 11 & Class 12 - JEE


Q. 42. A particle moves along the plane trajectory y (x) with velocity v whose modulus is constant. Find the acceleration of the particle at the point x = 0 and the curvature radius of the trajectory at that point if the trajectory has the form 

(a) of a parabola y = ax2;
 (b) of an ellipse (xla)2  (y/b)2  = 1; a and b are constants here.

Ans. (a) Let us differentiate twice the path equation y (x) with respect to time.

Irodov Solutions: Kinematics - 3 | I. E. Irodov Solutions for Physics Class 11 & Class 12 - JEE

Since the particle moves uniformly, its acceleration at all points of the path is normal and at the point  x = 0 it coincides with the direction of derivative Irodov Solutions: Kinematics - 3 | I. E. Irodov Solutions for Physics Class 11 & Class 12 - JEE Keeping in mind that at the point  Irodov Solutions: Kinematics - 3 | I. E. Irodov Solutions for Physics Class 11 & Class 12 - JEE

We get  Irodov Solutions: Kinematics - 3 | I. E. Irodov Solutions for Physics Class 11 & Class 12 - JEE

So, Irodov Solutions: Kinematics - 3 | I. E. Irodov Solutions for Physics Class 11 & Class 12 - JEE

Note that we can also calculate it from the formula of problem (1.35 b)

(b) Differentiating the equation of the trajectory with respect to time we see that

Irodov Solutions: Kinematics - 3 | I. E. Irodov Solutions for Physics Class 11 & Class 12 - JEE  (1)

which implies that the vector Irodov Solutions: Kinematics - 3 | I. E. Irodov Solutions for Physics Class 11 & Class 12 - JEE is normal to the velocity vector  Irodov Solutions: Kinematics - 3 | I. E. Irodov Solutions for Physics Class 11 & Class 12 - JEE which, of course, is along the tangent. Thus the former vactor is along the normal and the normal component of acceleration is clearly

Irodov Solutions: Kinematics - 3 | I. E. Irodov Solutions for Physics Class 11 & Class 12 - JEE

on using  Irodov Solutions: Kinematics - 3 | I. E. Irodov Solutions for Physics Class 11 & Class 12 - JEE

Irodov Solutions: Kinematics - 3 | I. E. Irodov Solutions for Physics Class 11 & Class 12 - JEE

Differentiating (1)

Irodov Solutions: Kinematics - 3 | I. E. Irodov Solutions for Physics Class 11 & Class 12 - JEE

Also from (1) Irodov Solutions: Kinematics - 3 | I. E. Irodov Solutions for Physics Class 11 & Class 12 - JEE

So,   Irodov Solutions: Kinematics - 3 | I. E. Irodov Solutions for Physics Class 11 & Class 12 - JEE (since tangential velocity is constant = v)

Irodov Solutions: Kinematics - 3 | I. E. Irodov Solutions for Physics Class 11 & Class 12 - JEE

and  Irodov Solutions: Kinematics - 3 | I. E. Irodov Solutions for Physics Class 11 & Class 12 - JEE

This gives R = a2/ b .


Q. 43. A particle A moves along a circle of radius R = 50 cm so that its radius vector r relative to the point O (Fig. 1.5) rotates with the constant angular velocity ω = 0.40 rad/s. Find the modulus of the velocity of the particle, and the modulus and direction of its total acceleration. 

Ans. Let us fix the co-ordinate system at the point O as shown in the figure, such that the radius vector  Irodov Solutions: Kinematics - 3 | I. E. Irodov Solutions for Physics Class 11 & Class 12 - JEE makes an angle θ with x axis at the moment shown.
Note that the radius vector of the particle A rotates clockwise and we here take line ox as reference line, so in this case obviously the angular velocity  Irodov Solutions: Kinematics - 3 | I. E. Irodov Solutions for Physics Class 11 & Class 12 - JEE taking anticlockwise sense of angular displacement as positive.

Also from the geometry of the triangle OAC  Irodov Solutions: Kinematics - 3 | I. E. Irodov Solutions for Physics Class 11 & Class 12 - JEE

Let us write, 

Irodov Solutions: Kinematics - 3 | I. E. Irodov Solutions for Physics Class 11 & Class 12 - JEE

Differentiating with respect to time. 

Irodov Solutions: Kinematics - 3 | I. E. Irodov Solutions for Physics Class 11 & Class 12 - JEE

Irodov Solutions: Kinematics - 3 | I. E. Irodov Solutions for Physics Class 11 & Class 12 - JEE

As ω is constant, v is also constant and Irodov Solutions: Kinematics - 3 | I. E. Irodov Solutions for Physics Class 11 & Class 12 - JEE

So,  Irodov Solutions: Kinematics - 3 | I. E. Irodov Solutions for Physics Class 11 & Class 12 - JEE

Alternate : From the Fig. the angular velocity of the point A, with respect to centre of the circle C becomes

Irodov Solutions: Kinematics - 3 | I. E. Irodov Solutions for Physics Class 11 & Class 12 - JEE

Thus we have the problem of finding the velocity and acceleration of a particle moving along a circle of radius R with constant angular velocity 2 ω

Hence

. Irodov Solutions: Kinematics - 3 | I. E. Irodov Solutions for Physics Class 11 & Class 12 - JEE

Irodov Solutions: Kinematics - 3 | I. E. Irodov Solutions for Physics Class 11 & Class 12 - JEE


Q. 44. A wheel rotates around a stationary axis so that the rotation angle φ varies with time as φ = at2, where a = 0.20 rad/s2. Find the total acceleration w of the point A at the rim at the moment t = 2.5 s if the linear velocity of the point A at this moment v = 0.65 m/s. 

Ans. Differentiating φ (t) with respect to time

Irodov Solutions: Kinematics - 3 | I. E. Irodov Solutions for Physics Class 11 & Class 12 - JEE   (1)

For fixed axis rotation, the speed of the point A:  

Irodov Solutions: Kinematics - 3 | I. E. Irodov Solutions for Physics Class 11 & Class 12 - JEE   (2)

Differentiating with respect to time 

Irodov Solutions: Kinematics - 3 | I. E. Irodov Solutions for Physics Class 11 & Class 12 - JEE

But    Irodov Solutions: Kinematics - 3 | I. E. Irodov Solutions for Physics Class 11 & Class 12 - JEE

So,  Irodov Solutions: Kinematics - 3 | I. E. Irodov Solutions for Physics Class 11 & Class 12 - JEE

Irodov Solutions: Kinematics - 3 | I. E. Irodov Solutions for Physics Class 11 & Class 12 - JEE    


Q. 45. A shell acquires the initial velocity v = 320 m/s, having made n = 2.0 turns inside the barrel whose length is equal to l = 2.0 m. Assuming that the shell moves inside the barrel with a uniform acceleration, find the angular velocity of its axial rotation at the moment when the shell escapes the barrel. 

Ans. The shell acquires a constant angular acceleration at the same time as it accelerates linearly. The two are related by (assuming both are constant)

Irodov Solutions: Kinematics - 3 | I. E. Irodov Solutions for Physics Class 11 & Class 12 - JEE

Where w = linear acceleration and β = angular acceleration 

Irodov Solutions: Kinematics - 3 | I. E. Irodov Solutions for Physics Class 11 & Class 12 - JEE



Q. 46. A solid body rotates about a stationary axis according to the law φ = at - bt3, where a = 6.0 rad/s and b = 2.0 rad/s3. Find:
 (a) the mean values of the angular velocity and angular acceleration averaged over the time interval between t = 0 and the complete stop;
 (b) the angular acceleration at the moment when the body stops. 

Ans. Let us take the rotation axis as z-axis whose positive direction is associated with the positive direction o f the cordinate <p, the rotation angle, in accordance w ith the right-hand screw rule (Fig.)

(a) Defferentiating φ (t) with respect to time.

Irodov Solutions: Kinematics - 3 | I. E. Irodov Solutions for Physics Class 11 & Class 12 - JEE

From (1) the solid comes to stop at  Irodov Solutions: Kinematics - 3 | I. E. Irodov Solutions for Physics Class 11 & Class 12 - JEE
The angular velocity  Irodov Solutions: Kinematics - 3 | I. E. Irodov Solutions for Physics Class 11 & Class 12 - JEE

Irodov Solutions: Kinematics - 3 | I. E. Irodov Solutions for Physics Class 11 & Class 12 - JEE

Irodov Solutions: Kinematics - 3 | I. E. Irodov Solutions for Physics Class 11 & Class 12 - JEEIrodov Solutions: Kinematics - 3 | I. E. Irodov Solutions for Physics Class 11 & Class 12 - JEE

Sim ilarly  Irodov Solutions: Kinematics - 3 | I. E. Irodov Solutions for Physics Class 11 & Class 12 - JEE for all values of t.

So, Irodov Solutions: Kinematics - 3 | I. E. Irodov Solutions for Physics Class 11 & Class 12 - JEE

Irodov Solutions: Kinematics - 3 | I. E. Irodov Solutions for Physics Class 11 & Class 12 - JEE
So,  Irodov Solutions: Kinematics - 3 | I. E. Irodov Solutions for Physics Class 11 & Class 12 - JEE
Hence  Irodov Solutions: Kinematics - 3 | I. E. Irodov Solutions for Physics Class 11 & Class 12 - JEE


Q. 47. A solid body starts rotating about a stationary axis with an angular acceleration β = at, where a = 2.0.10-2  rad/s3. How soon after the beginning of rotation will the total acceleration vector of an arbitrary point of the body form an angle α = 60° with its velocity vector?

Ans. Angle a is related with |wt| and wn by means of the fomula :

Irodov Solutions: Kinematics - 3 | I. E. Irodov Solutions for Physics Class 11 & Class 12 - JEE    (1)

where R is die radius of die circle which an arbitrary point of the body circumscribes. From die given equation Irodov Solutions: Kinematics - 3 | I. E. Irodov Solutions for Physics Class 11 & Class 12 - JEE is positive for all values of t)

Integrating within the limit  Irodov Solutions: Kinematics - 3 | I. E. Irodov Solutions for Physics Class 11 & Class 12 - JEE

So,  Irodov Solutions: Kinematics - 3 | I. E. Irodov Solutions for Physics Class 11 & Class 12 - JEE
and  Irodov Solutions: Kinematics - 3 | I. E. Irodov Solutions for Physics Class 11 & Class 12 - JEE

Putting the values of |wt| and wn in Eq. (1), we get,

Irodov Solutions: Kinematics - 3 | I. E. Irodov Solutions for Physics Class 11 & Class 12 - JEE


Q. 48. A solid body rotates with deceleration about a stationary axis with an angular deceleration Irodov Solutions: Kinematics - 3 | I. E. Irodov Solutions for Physics Class 11 & Class 12 - JEE where ω is its angular velocity. Find the mean angular velocity of the body averaged over the whole time of rotation if at the initial moment of time its angular velocity was equal to ω0

Ans. In accordance with the problem, βz < 0

Thus Irodov Solutions: Kinematics - 3 | I. E. Irodov Solutions for Physics Class 11 & Class 12 - JEE where A: is proportionality constant

or,  Irodov Solutions: Kinematics - 3 | I. E. Irodov Solutions for Physics Class 11 & Class 12 - JEE    (1)

When ω = 0 , total time o f rotation  Irodov Solutions: Kinematics - 3 | I. E. Irodov Solutions for Physics Class 11 & Class 12 - JEE

Average angular velocity   Irodov Solutions: Kinematics - 3 | I. E. Irodov Solutions for Physics Class 11 & Class 12 - JEE

Irodov Solutions: Kinematics - 3 | I. E. Irodov Solutions for Physics Class 11 & Class 12 - JEE


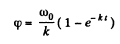
Q.49. A solid body rotates about a stationary axis so that its angular velocity depends on the rotation angle φ as ω = ω0  — aφ, where ω0 and a are positive constants. At the moment t = 0 the angle = 0. Find the time dependence of
 (a) the rotation angle;
 (b) the angular velocity. 

Ans. We have  Irodov Solutions: Kinematics - 3 | I. E. Irodov Solutions for Physics Class 11 & Class 12 - JEE

Integratin this Eq. within its limit for (φ) f

Irodov Solutions: Kinematics - 3 | I. E. Irodov Solutions for Physics Class 11 & Class 12 - JEE

Hence  Irodov Solutions: Kinematics - 3 | I. E. Irodov Solutions for Physics Class 11 & Class 12 - JEE   (1)

(b) From the Irodov Solutions: Kinematics - 3 | I. E. Irodov Solutions for Physics Class 11 & Class 12 - JEE or by differentiating Eq. (1)

Irodov Solutions: Kinematics - 3 | I. E. Irodov Solutions for Physics Class 11 & Class 12 - JEE 


Q.50. A solid body starts rotating about a stationary axis with an angular acceleration β = β0  cos φ, where β0  is a constant vector and φ is an angle of rotation from the initial position. Find the angular velocity of the body as a function of the angle φ. Draw the plot of this dependence. 

Ans. Let us choose the positive direction of z-axis (stationary rotation axis) along the vector  Irodov Solutions: Kinematics - 3 | I. E. Irodov Solutions for Physics Class 11 & Class 12 - JEE

In accordance with the equation  Irodov Solutions: Kinematics - 3 | I. E. Irodov Solutions for Physics Class 11 & Class 12 - JEE

Irodov Solutions: Kinematics - 3 | I. E. Irodov Solutions for Physics Class 11 & Class 12 - JEE

Integrating this Eq. within its limit for

Irodov Solutions: Kinematics - 3 | I. E. Irodov Solutions for Physics Class 11 & Class 12 - JEE

Irodov Solutions: Kinematics - 3 | I. E. Irodov Solutions for Physics Class 11 & Class 12 - JEE

The plot  Irodov Solutions: Kinematics - 3 | I. E. Irodov Solutions for Physics Class 11 & Class 12 - JEE is shown in the Fig. It can be seen that as the angle qp grows, the vector  Irodov Solutions: Kinematics - 3 | I. E. Irodov Solutions for Physics Class 11 & Class 12 - JEE increases, coinciding with the direction of the vector Irodov Solutions: Kinematics - 3 | I. E. Irodov Solutions for Physics Class 11 & Class 12 - JEE reaches the maximum at  Irodov Solutions: Kinematics - 3 | I. E. Irodov Solutions for Physics Class 11 & Class 12 - JEE then starts decreasing and finally turns into zero at φ = π. After that the body starts rotating in the opposite direction in a similar fashion (ωz < 0). As a result, the body will oscillate about the position Irodov Solutions: Kinematics - 3 | I. E. Irodov Solutions for Physics Class 11 & Class 12 - JEE with an amplitude equal to π/2.


Q. 51. A rotating disc (Fig. 1.6) moves in the positive direction of the x axis. Find the equation y (x) describing the position of the instantaneous axis of rotation, if at the initial moment the axis C of the disc was located at the point O after which it moved
 (a) with a constant velocity v, while the disc started rotating counterclockwise with a constant angular acceleration β (the initial angular velocity is equal to zero);
 (b) with a constant acceleration w (and the zero initial velocity), while the disc rotates counterclockwise with a constant angular velo- city ω.

Ans.  Rotating disc moves along the x-axis, in plane motion in x - y plane. Plane motion of a solid can be imagined to be in pure rotation about a point (say 7) at a certain instant known as instantaneous centre of rotation. The instantaneous axis whose positive sense is directed along Irodov Solutions: Kinematics - 3 | I. E. Irodov Solutions for Physics Class 11 & Class 12 - JEE the solid and which passes through the point/, is known as instantaneous axis of rotation.

Therefore the velocity vector of an aibitrary point (P) of the solid can be represented as :

Irodov Solutions: Kinematics - 3 | I. E. Irodov Solutions for Physics Class 11 & Class 12 - JEE    (1)

On the basis of Eq. (1) for the C. M. (C) of the disc

Irodov Solutions: Kinematics - 3 | I. E. Irodov Solutions for Physics Class 11 & Class 12 - JEE   (2)

According to the problem Irodov Solutions: Kinematics - 3 | I. E. Irodov Solutions for Physics Class 11 & Class 12 - JEE and Irodov Solutions: Kinematics - 3 | I. E. Irodov Solutions for Physics Class 11 & Class 12 - JEE plane, so to satisy the  Irodov Solutions: Kinematics - 3 | I. E. Irodov Solutions for Physics Class 11 & Class 12 - JEE Hence point  l is at a distance  Irodov Solutions: Kinematics - 3 | I. E. Irodov Solutions for Physics Class 11 & Class 12 - JEE  above the centre of the disc along y - axis. Using all these facts in Eq. (2), we get

Irodov Solutions: Kinematics - 3 | I. E. Irodov Solutions for Physics Class 11 & Class 12 - JEE  (3)

(a) From the angular kinematical equation 

Irodov Solutions: Kinematics - 3 | I. E. Irodov Solutions for Physics Class 11 & Class 12 - JEE

Irodov Solutions: Kinematics - 3 | I. E. Irodov Solutions for Physics Class 11 & Class 12 - JEE    (4)

On the other hand x = v t, (where x is the x coordinate of the C.M.) 

or, t = x/y    (5)

From Eqs. (4) and (5), Irodov Solutions: Kinematics - 3 | I. E. Irodov Solutions for Physics Class 11 & Class 12 - JEE

Using this value o f co in Eq. (3) w e get Irodov Solutions: Kinematics - 3 | I. E. Irodov Solutions for Physics Class 11 & Class 12 - JEE

(b) As centre C moves with constant acceleration w, with zero initial velocity 

So,  Irodov Solutions: Kinematics - 3 | I. E. Irodov Solutions for Physics Class 11 & Class 12 - JEE

Therefore,  Irodov Solutions: Kinematics - 3 | I. E. Irodov Solutions for Physics Class 11 & Class 12 - JEE

Hence  Irodov Solutions: Kinematics - 3 | I. E. Irodov Solutions for Physics Class 11 & Class 12 - JEE


Q. 52.  A point A is located on the rim of a wheel of radius R = 0.50 m which rolls without slipping along a horizontal surface with velocity v = 1.00 m/s. Find:
 (a) the modulus and the direction of the acceleration vector of the point A;
 (b) the total distance s traversed by the point A between the two successive moments at which it touches the surface. 

Ans. The plane motion of a solid can be imagined as the combination of translation of the C.M . and rotation about C.M.

Irodov Solutions: Kinematics - 3 | I. E. Irodov Solutions for Physics Class 11 & Class 12 - JEE

Irodov Solutions: Kinematics - 3 | I. E. Irodov Solutions for Physics Class 11 & Class 12 - JEE

Irodov Solutions: Kinematics - 3 | I. E. Irodov Solutions for Physics Class 11 & Class 12 - JEE is the position o f vector o f A with respect to C.

In the problem  Irodov Solutions: Kinematics - 3 | I. E. Irodov Solutions for Physics Class 11 & Class 12 - JEE constant, and the rolling is without slipping Irodov Solutions: Kinematics - 3 | I. E. Irodov Solutions for Physics Class 11 & Class 12 - JEE

Irodov Solutions: Kinematics - 3 | I. E. Irodov Solutions for Physics Class 11 & Class 12 - JEE Using these conditions in Eq. (2)

Irodov Solutions: Kinematics - 3 | I. E. Irodov Solutions for Physics Class 11 & Class 12 - JEE

Here,  Irodov Solutions: Kinematics - 3 | I. E. Irodov Solutions for Physics Class 11 & Class 12 - JEE is the unit vector directed along Irodov Solutions: Kinematics - 3 | I. E. Irodov Solutions for Physics Class 11 & Class 12 - JEE

Hence  Irodov Solutions: Kinematics - 3 | I. E. Irodov Solutions for Physics Class 11 & Class 12 - JEE or directed toward the centre of the wheel.

(b) Let the centre o f the wheel m ove toward right (positive jc-axis) then for pure tolling on the rigid horizontal surface, wheel will have to rotate in clockwise sense. If co be the angular velocity o f the wheel then Irodov Solutions: Kinematics - 3 | I. E. Irodov Solutions for Physics Class 11 & Class 12 - JEE

Let the point A touches the horizontal surface at t = 0, further let us locate the point A at t = ty

When it makes θ = ω t at the centre of the wheel.

Irodov Solutions: Kinematics - 3 | I. E. Irodov Solutions for Physics Class 11 & Class 12 - JEE
Irodov Solutions: Kinematics - 3 | I. E. Irodov Solutions for Physics Class 11 & Class 12 - JEE
H ence distance covered b y the point A during Irodov Solutions: Kinematics - 3 | I. E. Irodov Solutions for Physics Class 11 & Class 12 - JEE

Irodov Solutions: Kinematics - 3 | I. E. Irodov Solutions for Physics Class 11 & Class 12 - JEE


Q. 53. A ball of radius R = 10.0 cm rolls without slipping down an inclined plane so that its centre moves with constant acceleration w = 2.50 cm/s2; t = 2.00 s after the beginning of motion its position corresponds to that shown in Fig. 1.7. Find:
 (a) the velocities of the points A, B, and 0;
 (b) the accelerations of these points. 

Irodov Solutions: Kinematics - 3 | I. E. Irodov Solutions for Physics Class 11 & Class 12 - JEEIrodov Solutions: Kinematics - 3 | I. E. Irodov Solutions for Physics Class 11 & Class 12 - JEE

Ans. Let us fix the co-ordinate axis xyz as shown in the fig. As the ball rolls without slipping along the rigid surface so, on the basis o f the solution o f problem Q.52 :

Irodov Solutions: Kinematics - 3 | I. E. Irodov Solutions for Physics Class 11 & Class 12 - JEE

Irodov Solutions: Kinematics - 3 | I. E. Irodov Solutions for Physics Class 11 & Class 12 - JEE

At the position corresponding to that of Fig., in accordance with the problem, 

Irodov Solutions: Kinematics - 3 | I. E. Irodov Solutions for Physics Class 11 & Class 12 - JEE

and Irodov Solutions: Kinematics - 3 | I. E. Irodov Solutions for Physics Class 11 & Class 12 - JEE

Irodov Solutions: Kinematics - 3 | I. E. Irodov Solutions for Physics Class 11 & Class 12 - JEE

(a) Let us fix the co-ordinate system with the frame attached with the rigid surface as shown in the Fig.

As point O is the instantaneous centre of rotation of the ball at the moment shown in Fig.

so,    Irodov Solutions: Kinematics - 3 | I. E. Irodov Solutions for Physics Class 11 & Class 12 - JEE
Now,  Irodov Solutions: Kinematics - 3 | I. E. Irodov Solutions for Physics Class 11 & Class 12 - JEE

So,  Irodov Solutions: Kinematics - 3 | I. E. Irodov Solutions for Physics Class 11 & Class 12 - JEE

Irodov Solutions: Kinematics - 3 | I. E. Irodov Solutions for Physics Class 11 & Class 12 - JEE

Irodov Solutions: Kinematics - 3 | I. E. Irodov Solutions for Physics Class 11 & Class 12 - JEE

Irodov Solutions: Kinematics - 3 | I. E. Irodov Solutions for Physics Class 11 & Class 12 - JEE

Irodov Solutions: Kinematics - 3 | I. E. Irodov Solutions for Physics Class 11 & Class 12 - JEE

Irodov Solutions: Kinematics - 3 | I. E. Irodov Solutions for Physics Class 11 & Class 12 - JEE

So,  Irodov Solutions: Kinematics - 3 | I. E. Irodov Solutions for Physics Class 11 & Class 12 - JEE
Similarly  Irodov Solutions: Kinematics - 3 | I. E. Irodov Solutions for Physics Class 11 & Class 12 - JEE

Irodov Solutions: Kinematics - 3 | I. E. Irodov Solutions for Physics Class 11 & Class 12 - JEE

Irodov Solutions: Kinematics - 3 | I. E. Irodov Solutions for Physics Class 11 & Class 12 - JEE

So,  Irodov Solutions: Kinematics - 3 | I. E. Irodov Solutions for Physics Class 11 & Class 12 - JEE


Q. 54. A cylinder rolls without slipping over a horizontal plane. The radius of the cylinder is equal to r. Find the curvature radii of trajectories traced out by the points A and B (see Fig. 1.7). 

Ans. Let us draw the kinematical diagram of the rolling cylinder on the basis of the solutioi of problem Q.53.

Irodov Solutions: Kinematics - 3 | I. E. Irodov Solutions for Physics Class 11 & Class 12 - JEEIrodov Solutions: Kinematics - 3 | I. E. Irodov Solutions for Physics Class 11 & Class 12 - JEE

As, an arbitrary point of the cylinder follows a curve, its normal acceleration and radius of curvature are related by the well known equation

Irodov Solutions: Kinematics - 3 | I. E. Irodov Solutions for Physics Class 11 & Class 12 - JEE

so, for point A,  Irodov Solutions: Kinematics - 3 | I. E. Irodov Solutions for Physics Class 11 & Class 12 - JEE

or,  Irodov Solutions: Kinematics - 3 | I. E. Irodov Solutions for Physics Class 11 & Class 12 - JEE

Similarly for point B, 

Irodov Solutions: Kinematics - 3 | I. E. Irodov Solutions for Physics Class 11 & Class 12 - JEE

or,  Irodov Solutions: Kinematics - 3 | I. E. Irodov Solutions for Physics Class 11 & Class 12 - JEE


Q. 55. Two solid bodies rotate about stationary mutually perpendicular intersecting axes with constant angular velocities ω1 = 3.0 rad/s and ω2  = 4.0 rad/s. Find the angular velocity and angular acceleration of one body relative to the other. 

Ans. The angular velocity is a vector as infinitesimal rotation commute. Then file relative angular velocity of the body 1 with respect to the body 2 is dearly.

Irodov Solutions: Kinematics - 3 | I. E. Irodov Solutions for Physics Class 11 & Class 12 - JEE

as fo r relative lin ear velocity. The relative acceleration of 1 w.r.t  2 is

Irodov Solutions: Kinematics - 3 | I. E. Irodov Solutions for Physics Class 11 & Class 12 - JEE

where S ' is a fram e corotating with the second body and S is a space fixed frame with origin coinciding with the point of intersection of the two axes,

but Irodov Solutions: Kinematics - 3 | I. E. Irodov Solutions for Physics Class 11 & Class 12 - JEE

Since S ' rotates with angular velocity  Irodov Solutions: Kinematics - 3 | I. E. Irodov Solutions for Physics Class 11 & Class 12 - JEE as the first b ody rotates with constant angular velocity in space, thus

Irodov Solutions: Kinematics - 3 | I. E. Irodov Solutions for Physics Class 11 & Class 12 - JEE

Note that for any vector  Irodov Solutions: Kinematics - 3 | I. E. Irodov Solutions for Physics Class 11 & Class 12 - JEE relation in space forced frame (k) and a frame (Jd) rotating with angular velocity Irodov Solutions: Kinematics - 3 | I. E. Irodov Solutions for Physics Class 11 & Class 12 - JEE

Irodov Solutions: Kinematics - 3 | I. E. Irodov Solutions for Physics Class 11 & Class 12 - JEE


Q. 56. A solid body rotates with angular velocity ω = ati + bt2j, where a = 0.50 rad/s2, b = 0.060 rad/s3, and i and j are the unit vectors of the x and y axes. Find:
 (a) the moduli of the angular velocity and the angular acceleration at the moment t = 10.0 s;
 (b) the angle between the vectors of the angular velocity and the angular acceleration at that moment. 

Ans. We have  Irodov Solutions: Kinematics - 3 | I. E. Irodov Solutions for Physics Class 11 & Class 12 - JEE    (1)

So,   Irodov Solutions: Kinematics - 3 | I. E. Irodov Solutions for Physics Class 11 & Class 12 - JEE

D ifferen tia tin g E q. (1) with respect to time

Irodov Solutions: Kinematics - 3 | I. E. Irodov Solutions for Physics Class 11 & Class 12 - JEE   (2)

So,  Irodov Solutions: Kinematics - 3 | I. E. Irodov Solutions for Physics Class 11 & Class 12 - JEE

and  Irodov Solutions: Kinematics - 3 | I. E. Irodov Solutions for Physics Class 11 & Class 12 - JEE

(b)  Irodov Solutions: Kinematics - 3 | I. E. Irodov Solutions for Physics Class 11 & Class 12 - JEE

Putting the values of (a) and (b) and ' taking t =10s, we get

α = 17°


Q. 57.  A round cone with half-angle α = 30° and the radius of the base R = 5.0 cm rolls uniformly and without slipping over a horizontal plane as shown in Fig. 1.8. The cone apex is hinged at the point O which is on the same level with the point C, the cone base centre. The velocity of point C is v = 10.0 cm/s. Find the moduli of  
(a) the vector of the angular velocity of the cone and the angle it forms with the vertical;
 (b) the vector of the angular acceleration of the cone.

Ans.  Let the axis of the cone (OC) rotates in an ticlockw ise sense w ith constant angular velocity Irodov Solutions: Kinematics - 3 | I. E. Irodov Solutions for Physics Class 11 & Class 12 - JEE and the cone itself about it’s own axis (OC) in clockwise sense with angular velocity  Irodov Solutions: Kinematics - 3 | I. E. Irodov Solutions for Physics Class 11 & Class 12 - JEE Then the resultant angular velocity of the cone.

Irodov Solutions: Kinematics - 3 | I. E. Irodov Solutions for Physics Class 11 & Class 12 - JEE     (1)

As the rolling is pure the magnitudes of the vectors 

Irodov Solutions: Kinematics - 3 | I. E. Irodov Solutions for Physics Class 11 & Class 12 - JEE  can be easily found from Fig.

Irodov Solutions: Kinematics - 3 | I. E. Irodov Solutions for Physics Class 11 & Class 12 - JEE

Irodov Solutions: Kinematics - 3 | I. E. Irodov Solutions for Physics Class 11 & Class 12 - JEE (2)

Irodov Solutions: Kinematics - 3 | I. E. Irodov Solutions for Physics Class 11 & Class 12 - JEE

Irodov Solutions: Kinematics - 3 | I. E. Irodov Solutions for Physics Class 11 & Class 12 - JEE

(b) Vector of angular acceleration

Irodov Solutions: Kinematics - 3 | I. E. Irodov Solutions for Physics Class 11 & Class 12 - JEE

The vector  Irodov Solutions: Kinematics - 3 | I. E. Irodov Solutions for Physics Class 11 & Class 12 - JEE which rotates about the OO' axis with the angular velocity Irodov Solutions: Kinematics - 3 | I. E. Irodov Solutions for Physics Class 11 & Class 12 - JEE retains i magnitude. This increment in the time interval dt is equal to

Irodov Solutions: Kinematics - 3 | I. E. Irodov Solutions for Physics Class 11 & Class 12 - JEE

Thus Irodov Solutions: Kinematics - 3 | I. E. Irodov Solutions for Physics Class 11 & Class 12 - JEE

The magnitude of the vector  Irodov Solutions: Kinematics - 3 | I. E. Irodov Solutions for Physics Class 11 & Class 12 - JEE

Irodov Solutions: Kinematics - 3 | I. E. Irodov Solutions for Physics Class 11 & Class 12 - JEE
So,  Irodov Solutions: Kinematics - 3 | I. E. Irodov Solutions for Physics Class 11 & Class 12 - JEE


Q. 58. A solid body rotates with a constant angular velocity ω0  = 0.50 rad/s about a horizontal axis AB. At the moment t = 0 the axis AB starts turning about the vertical with a constant angular acceleration β0 = 0.10 rad/s2. Find the angular velocity and angular acceleration of the body after t = 3.5 s. 

Irodov Solutions: Kinematics - 3 | I. E. Irodov Solutions for Physics Class 11 & Class 12 - JEE

Ans. The axis AB acquired the angular velocity

Irodov Solutions: Kinematics - 3 | I. E. Irodov Solutions for Physics Class 11 & Class 12 - JEE    (1)

Using the facts of the solution of 1.57, the angular velocity of the body

Irodov Solutions: Kinematics - 3 | I. E. Irodov Solutions for Physics Class 11 & Class 12 - JEE

Irodov Solutions: Kinematics - 3 | I. E. Irodov Solutions for Physics Class 11 & Class 12 - JEE

And the angular acceleration.

Irodov Solutions: Kinematics - 3 | I. E. Irodov Solutions for Physics Class 11 & Class 12 - JEE

But  Irodov Solutions: Kinematics - 3 | I. E. Irodov Solutions for Physics Class 11 & Class 12 - JEE

So,  Irodov Solutions: Kinematics - 3 | I. E. Irodov Solutions for Physics Class 11 & Class 12 - JEE

Irodov Solutions: Kinematics - 3 | I. E. Irodov Solutions for Physics Class 11 & Class 12 - JEE

The document Irodov Solutions: Kinematics - 3 | I. E. Irodov Solutions for Physics Class 11 & Class 12 - JEE is a part of the JEE Course I. E. Irodov Solutions for Physics Class 11 & Class 12.
All you need of JEE at this link: JEE
88 docs

FAQs on Irodov Solutions: Kinematics - 3 - I. E. Irodov Solutions for Physics Class 11 & Class 12 - JEE

1. What is kinematics in physics?
Kinematics is a branch of physics that deals with the motion of objects without considering the forces causing the motion. It focuses on the concepts of position, velocity, and acceleration to describe and analyze the motion of objects.
2. What are the three basic equations of motion in kinematics?
The three basic equations of motion in kinematics are: 1. v = u + at: This equation relates the final velocity (v) of an object to its initial velocity (u), acceleration (a), and time (t). 2. s = ut + 0.5at^2: This equation relates the displacement (s) of an object to its initial velocity (u), time (t), and acceleration (a). 3. v^2 = u^2 + 2as: This equation relates the final velocity (v) of an object to its initial velocity (u), acceleration (a), and displacement (s).
3. How is average speed different from average velocity in kinematics?
Average speed and average velocity are both measures of how fast an object is moving, but they have different meanings. Average speed is defined as the total distance traveled divided by the total time taken, regardless of the direction of motion. On the other hand, average velocity is defined as the displacement divided by the total time taken, taking into account the direction of motion. Therefore, average velocity includes information about both the speed and direction of motion.
4. What is projectile motion in kinematics?
Projectile motion refers to the motion of an object that is launched into the air and moves along a curved path under the influence of gravity. In projectile motion, the object follows a parabolic trajectory, with its horizontal motion being constant velocity and its vertical motion being influenced by the acceleration due to gravity.
5. How is instantaneous velocity different from average velocity in kinematics?
Instantaneous velocity and average velocity are both measures of an object's speed and direction, but they are calculated differently. Average velocity is calculated by dividing the total displacement by the total time taken. In contrast, instantaneous velocity is the velocity of an object at a specific moment in time. It is determined by calculating the slope of the object's position-time graph at that particular point. Instantaneous velocity provides information about an object's speed and direction at an exact moment, while average velocity gives an overall measure of an object's speed and direction over a given time interval.
Related Searches

MCQs

,

Important questions

,

Previous Year Questions with Solutions

,

Free

,

Irodov Solutions: Kinematics - 3 | I. E. Irodov Solutions for Physics Class 11 & Class 12 - JEE

,

pdf

,

Exam

,

Semester Notes

,

Irodov Solutions: Kinematics - 3 | I. E. Irodov Solutions for Physics Class 11 & Class 12 - JEE

,

shortcuts and tricks

,

past year papers

,

Irodov Solutions: Kinematics - 3 | I. E. Irodov Solutions for Physics Class 11 & Class 12 - JEE

,

mock tests for examination

,

video lectures

,

study material

,

Extra Questions

,

Objective type Questions

,

practice quizzes

,

Viva Questions

,

Sample Paper

,

Summary

,

ppt

;