JEE Exam  >  JEE Notes  >  I. E. Irodov Solutions for Physics Class 11 & Class 12  >  Irodov Solutions: Constant Magnetic Field Magnetics

Irodov Solutions: Constant Magnetic Field Magnetics | I. E. Irodov Solutions for Physics Class 11 & Class 12 - JEE PDF Download

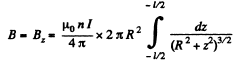
Q. 219. A current I = 1.00 A circulates in a round thin-wire loop of radius R = 100 mm. Find the magnetic induction
 (a) at the centre of the loop; 
 (b) at the point lying on the axis of the loop at a distance x = 100 mm from its centre.

Solution. 219. 

Irodov Solutions: Constant Magnetic Field Magnetics | I. E. Irodov Solutions for Physics Class 11 & Class 12 - JEE

Irodov Solutions: Constant Magnetic Field Magnetics | I. E. Irodov Solutions for Physics Class 11 & Class 12 - JEE
Irodov Solutions: Constant Magnetic Field Magnetics | I. E. Irodov Solutions for Physics Class 11 & Class 12 - JEE

(b) From Biot-Savart’s law : 

Irodov Solutions: Constant Magnetic Field Magnetics | I. E. Irodov Solutions for Physics Class 11 & Class 12 - JEE
Irodov Solutions: Constant Magnetic Field Magnetics | I. E. Irodov Solutions for Physics Class 11 & Class 12 - JEE
and  Irodov Solutions: Constant Magnetic Field Magnetics | I. E. Irodov Solutions for Physics Class 11 & Class 12 - JEE

Irodov Solutions: Constant Magnetic Field Magnetics | I. E. Irodov Solutions for Physics Class 11 & Class 12 - JEE

Here  Irodov Solutions: Constant Magnetic Field Magnetics | I. E. Irodov Solutions for Physics Class 11 & Class 12 - JEE is a unit vector perpendicular to the plane containing the current loop (Fig.) and in the direction of  Irodov Solutions: Constant Magnetic Field Magnetics | I. E. Irodov Solutions for Physics Class 11 & Class 12 - JEE

Thus we get  Irodov Solutions: Constant Magnetic Field Magnetics | I. E. Irodov Solutions for Physics Class 11 & Class 12 - JEE


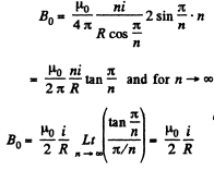
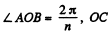
Q. 220. A current I flows along a thin wire shaped as a regular polygon with n sides which can be inscribed into a circle of radius R. Find the magnetic induction at the centre of the polygon. Analyse the obtained expression n → ∞

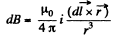
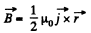
Solution. 220.  As  Irodov Solutions: Constant Magnetic Field Magnetics | I. E. Irodov Solutions for Physics Class 11 & Class 12 - JEE or perpendicular distance of any segment from centre equals Irodov Solutions: Constant Magnetic Field Magnetics | I. E. Irodov Solutions for Physics Class 11 & Class 12 - JEE Now magnetic induction at O, due to die right current carrying element AB

Irodov Solutions: Constant Magnetic Field Magnetics | I. E. Irodov Solutions for Physics Class 11 & Class 12 - JEE

(From Biot- Savart’s law, the magnetic field at O due to any section such as AB is perpendicular to the plane of the figure and has the magnitude.)

Irodov Solutions: Constant Magnetic Field Magnetics | I. E. Irodov Solutions for Physics Class 11 & Class 12 - JEE

As there are n number of sides and magnetic induction vectors, due to each side at O, are equal in magnitude and direction. So,

Irodov Solutions: Constant Magnetic Field Magnetics | I. E. Irodov Solutions for Physics Class 11 & Class 12 - JEEIrodov Solutions: Constant Magnetic Field Magnetics | I. E. Irodov Solutions for Physics Class 11 & Class 12 - JEE

Irodov Solutions: Constant Magnetic Field Magnetics | I. E. Irodov Solutions for Physics Class 11 & Class 12 - JEE


Q. 221. Find the magnetic induction at the centre of a rectangular wire frame whose diagonal is equal to d = 16 cm and the angle between the diagonals is equal to φ = 30°; the current flowing in the frame equals I = 5.0 A.

Solution. 221. We know that magnetic induction due to a straight current carrying wire at any point, at a perpendicular distance from it is given by :

Irodov Solutions: Constant Magnetic Field Magnetics | I. E. Irodov Solutions for Physics Class 11 & Class 12 - JEE

where r is the perpendicular distance of the wire from the point, considered, and θ1 is the angle between the line, joining the upper point of straight wire to the considered point and the perpendicular drawn to the wire and θ2 that from the lower point of the straight wire.

Here,  Irodov Solutions: Constant Magnetic Field Magnetics | I. E. Irodov Solutions for Physics Class 11 & Class 12 - JEE

and   Irodov Solutions: Constant Magnetic Field Magnetics | I. E. Irodov Solutions for Physics Class 11 & Class 12 - JEE

Irodov Solutions: Constant Magnetic Field Magnetics | I. E. Irodov Solutions for Physics Class 11 & Class 12 - JEE

Hence, the magnitude of total magnetic induction at O,

Irodov Solutions: Constant Magnetic Field Magnetics | I. E. Irodov Solutions for Physics Class 11 & Class 12 - JEE


Q. 222. A current l = 5.0 A flows along a thin wire shaped as shown in Fig. 3.59. The radius of a curved part of the wire is equal to R = 120 mm, the angle 2φ = 90°. Find the magnetic induction of the field at the point O. 

Irodov Solutions: Constant Magnetic Field Magnetics | I. E. Irodov Solutions for Physics Class 11 & Class 12 - JEE

Solution. 222. Magnetic induction due to the arc segment at O,

Irodov Solutions: Constant Magnetic Field Magnetics | I. E. Irodov Solutions for Physics Class 11 & Class 12 - JEE

Irodov Solutions: Constant Magnetic Field Magnetics | I. E. Irodov Solutions for Physics Class 11 & Class 12 - JEE

and magnetic induction due to the line segment at O,

Irodov Solutions: Constant Magnetic Field Magnetics | I. E. Irodov Solutions for Physics Class 11 & Class 12 - JEE

So, total magnetic induction at O,

Irodov Solutions: Constant Magnetic Field Magnetics | I. E. Irodov Solutions for Physics Class 11 & Class 12 - JEE


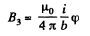
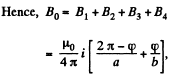
Q. 223. Find the magnetic induction of the field at the point O of a loop with current I, whose shape is illustrated
 (a) in Fig. 3.60a, the radii a and b, as well as the angle φ are known;
 (b) in Fig. 3.60b, the radius a and the side b are known. 

Irodov Solutions: Constant Magnetic Field Magnetics | I. E. Irodov Solutions for Physics Class 11 & Class 12 - JEE

Solution. 223. (a) From the Biot-Savart law,

Irodov Solutions: Constant Magnetic Field Magnetics | I. E. Irodov Solutions for Physics Class 11 & Class 12 - JEE

So, magnetic field induction due to the segment 1 at O,

Irodov Solutions: Constant Magnetic Field Magnetics | I. E. Irodov Solutions for Physics Class 11 & Class 12 - JEE

also  Irodov Solutions: Constant Magnetic Field Magnetics | I. E. Irodov Solutions for Physics Class 11 & Class 12 - JEE

and  Irodov Solutions: Constant Magnetic Field Magnetics | I. E. Irodov Solutions for Physics Class 11 & Class 12 - JEE

Irodov Solutions: Constant Magnetic Field Magnetics | I. E. Irodov Solutions for Physics Class 11 & Class 12 - JEE

Irodov Solutions: Constant Magnetic Field Magnetics | I. E. Irodov Solutions for Physics Class 11 & Class 12 - JEE

Irodov Solutions: Constant Magnetic Field Magnetics | I. E. Irodov Solutions for Physics Class 11 & Class 12 - JEE

Irodov Solutions: Constant Magnetic Field Magnetics | I. E. Irodov Solutions for Physics Class 11 & Class 12 - JEE

and B5 = 0

Irodov Solutions: Constant Magnetic Field Magnetics | I. E. Irodov Solutions for Physics Class 11 & Class 12 - JEE

Irodov Solutions: Constant Magnetic Field Magnetics | I. E. Irodov Solutions for Physics Class 11 & Class 12 - JEE

Irodov Solutions: Constant Magnetic Field Magnetics | I. E. Irodov Solutions for Physics Class 11 & Class 12 - JEE

Irodov Solutions: Constant Magnetic Field Magnetics | I. E. Irodov Solutions for Physics Class 11 & Class 12 - JEE


Q. 224. A current I flows along a lengthy thin-walled tube of radius R with longitudinal slit of width h. Find the induction of the magnetic field inside the tube under the condition h ≪ R. 

Solution. 224. The thin walled tube with a longitudinal slit can be considered equivalent to a full tube and a strip carrying the same current density in the opposite direction. Inside the tube, the former does not contribute so the total magnetic field is simply that due to the strip. It is

Irodov Solutions: Constant Magnetic Field Magnetics | I. E. Irodov Solutions for Physics Class 11 & Class 12 - JEE

where r is the distance of the field point from the strip.


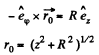
Q. 225. A current I flows in a long straight wire with cross-section having the form of a thin half-ring of radius R (Fig. 3.61). Find the induction of the magnetic field at the point O. 

Irodov Solutions: Constant Magnetic Field Magnetics | I. E. Irodov Solutions for Physics Class 11 & Class 12 - JEE

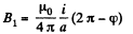
Solution. 225. First of all let us find out the direction of vector  Irodov Solutions: Constant Magnetic Field Magnetics | I. E. Irodov Solutions for Physics Class 11 & Class 12 - JEE point O. For this purpose, we divide the entire conductor into elementary fragments with current di. It is obvious that the sum of any two symmetric fragments gives a resultant along  Irodov Solutions: Constant Magnetic Field Magnetics | I. E. Irodov Solutions for Physics Class 11 & Class 12 - JEE shown in the figure and consequently, vector Irodov Solutions: Constant Magnetic Field Magnetics | I. E. Irodov Solutions for Physics Class 11 & Class 12 - JEE  will also be directed as shown

So,  Irodov Solutions: Constant Magnetic Field Magnetics | I. E. Irodov Solutions for Physics Class 11 & Class 12 - JEE   (1)

Irodov Solutions: Constant Magnetic Field Magnetics | I. E. Irodov Solutions for Physics Class 11 & Class 12 - JEE

Irodov Solutions: Constant Magnetic Field Magnetics | I. E. Irodov Solutions for Physics Class 11 & Class 12 - JEE

Irodov Solutions: Constant Magnetic Field Magnetics | I. E. Irodov Solutions for Physics Class 11 & Class 12 - JEE

Hence   Irodov Solutions: Constant Magnetic Field Magnetics | I. E. Irodov Solutions for Physics Class 11 & Class 12 - JEE


Q. 226. Find the magnetic induction of the field at the point O if a current-carrying wire has the shape shown in Fig. 3.62 a, b, c. The radius of the curved part of the wire is R, the linear parts are assumed to be very long.

Irodov Solutions: Constant Magnetic Field Magnetics | I. E. Irodov Solutions for Physics Class 11 & Class 12 - JEE 

Solution. 226. (a) From symmetry

Irodov Solutions: Constant Magnetic Field Magnetics | I. E. Irodov Solutions for Physics Class 11 & Class 12 - JEE

(b) From symmetry

Irodov Solutions: Constant Magnetic Field Magnetics | I. E. Irodov Solutions for Physics Class 11 & Class 12 - JEE

Irodov Solutions: Constant Magnetic Field Magnetics | I. E. Irodov Solutions for Physics Class 11 & Class 12 - JEE

Irodov Solutions: Constant Magnetic Field Magnetics | I. E. Irodov Solutions for Physics Class 11 & Class 12 - JEE


Q. 227. A very long wire carrying a current I = 5.0 A is bent at right angles. Find the magnetic induction at a point lying on a perpendicular to the wire, drawn through the point of bending, at a distance l = 35 cm from it.

Solution. 227.

Irodov Solutions: Constant Magnetic Field Magnetics | I. E. Irodov Solutions for Physics Class 11 & Class 12 - JEE

Irodov Solutions: Constant Magnetic Field Magnetics | I. E. Irodov Solutions for Physics Class 11 & Class 12 - JEE

Irodov Solutions: Constant Magnetic Field Magnetics | I. E. Irodov Solutions for Physics Class 11 & Class 12 - JEE


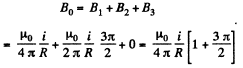
Q. 228. Find the magnetic induction at the point 0 if the wire carrying a current I = 8.0 A has the shape shown in Fig. 3.63 a, b, c. The radius of the curved part of the wire is R = 100 mm, the linear parts of the wire are very long. 

Irodov Solutions: Constant Magnetic Field Magnetics | I. E. Irodov Solutions for Physics Class 11 & Class 12 - JEE

Solution. 228. 

(a)  Irodov Solutions: Constant Magnetic Field Magnetics | I. E. Irodov Solutions for Physics Class 11 & Class 12 - JEE

Irodov Solutions: Constant Magnetic Field Magnetics | I. E. Irodov Solutions for Physics Class 11 & Class 12 - JEE

So,  Irodov Solutions: Constant Magnetic Field Magnetics | I. E. Irodov Solutions for Physics Class 11 & Class 12 - JEE

Irodov Solutions: Constant Magnetic Field Magnetics | I. E. Irodov Solutions for Physics Class 11 & Class 12 - JEE

Irodov Solutions: Constant Magnetic Field Magnetics | I. E. Irodov Solutions for Physics Class 11 & Class 12 - JEE

So,

Irodov Solutions: Constant Magnetic Field Magnetics | I. E. Irodov Solutions for Physics Class 11 & Class 12 - JEE


(c) Here using tbe law of parallel resistances 

Irodov Solutions: Constant Magnetic Field Magnetics | I. E. Irodov Solutions for Physics Class 11 & Class 12 - JEE

So,  Irodov Solutions: Constant Magnetic Field Magnetics | I. E. Irodov Solutions for Physics Class 11 & Class 12 - JEE

Hence  Irodov Solutions: Constant Magnetic Field Magnetics | I. E. Irodov Solutions for Physics Class 11 & Class 12 - JEE

Thus  Irodov Solutions: Constant Magnetic Field Magnetics | I. E. Irodov Solutions for Physics Class 11 & Class 12 - JEEIrodov Solutions: Constant Magnetic Field Magnetics | I. E. Irodov Solutions for Physics Class 11 & Class 12 - JEE

Irodov Solutions: Constant Magnetic Field Magnetics | I. E. Irodov Solutions for Physics Class 11 & Class 12 - JEE

Thus,  Irodov Solutions: Constant Magnetic Field Magnetics | I. E. Irodov Solutions for Physics Class 11 & Class 12 - JEE


Q. 229. Find the magnitude and direction of the magnetic induction vector B
 (a) of an infinite plane carrying a current of linear density i; the vector i is the same at all points of the plane;
 (b) of two parallel infinite planes carrying currents of linear densities i and —i; the vectors i and —i are constant at all points of the corresponding planes. 

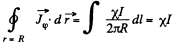
Solution. 229. (a) We apply circulation theorem as shown. The current is vertically upwards in the plane and the magnetic field is horizontal and parallel to file plane.

Irodov Solutions: Constant Magnetic Field Magnetics | I. E. Irodov Solutions for Physics Class 11 & Class 12 - JEE

Irodov Solutions: Constant Magnetic Field Magnetics | I. E. Irodov Solutions for Physics Class 11 & Class 12 - JEE

(b) Each plane contributes  Irodov Solutions: Constant Magnetic Field Magnetics | I. E. Irodov Solutions for Physics Class 11 & Class 12 - JEE between the planes and outside the plane that cancel.

Thus Irodov Solutions: Constant Magnetic Field Magnetics | I. E. Irodov Solutions for Physics Class 11 & Class 12 - JEE


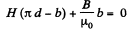
Q. 230. A uniform current of density j flows inside an infinite plate of thickness 2d parallel to its surface. Find the magnetic induction induced by this current as a function of the distance x from the median plane of the plate. The magnetic permeability is assumed to be equal to unity both inside and outside the plate.

Solution. 230. We assume that the current flows perpendicular to the plane of the paper, by circulation theorem,

Irodov Solutions: Constant Magnetic Field Magnetics | I. E. Irodov Solutions for Physics Class 11 & Class 12 - JEE

or,  Irodov Solutions: Constant Magnetic Field Magnetics | I. E. Irodov Solutions for Physics Class 11 & Class 12 - JEE

Irodov Solutions: Constant Magnetic Field Magnetics | I. E. Irodov Solutions for Physics Class 11 & Class 12 - JEE

Irodov Solutions: Constant Magnetic Field Magnetics | I. E. Irodov Solutions for Physics Class 11 & Class 12 - JEE


Q. 231. A direct current I flows along a lengthy straight wire. From the point O (Fig. 3.64) the current spreads radially all over an infinite conducting plane perpendicu- lar to the wire. Find the magnetic induction at all points of space.

Irodov Solutions: Constant Magnetic Field Magnetics | I. E. Irodov Solutions for Physics Class 11 & Class 12 - JEE

Solution. 231. It is easy to convince oneself that both in the regions. 1 and 2, there can only be a circuital magnetic field (i.e. the component Bφ). Any radial field in region 1 or any Bz away from the current plane will imply a violation of Gauss’ law of magnetostatics, Bφ must obviously be symmetrical about the straight wire. Then in 1,

Irodov Solutions: Constant Magnetic Field Magnetics | I. E. Irodov Solutions for Physics Class 11 & Class 12 - JEE

Irodov Solutions: Constant Magnetic Field Magnetics | I. E. Irodov Solutions for Physics Class 11 & Class 12 - JEE

or,   Irodov Solutions: Constant Magnetic Field Magnetics | I. E. Irodov Solutions for Physics Class 11 & Class 12 - JEE

In 2,  Irodov Solutions: Constant Magnetic Field Magnetics | I. E. Irodov Solutions for Physics Class 11 & Class 12 - JEE


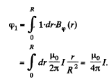
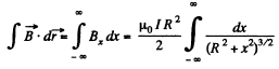
Q. 232. A current I flows along a round loop. Find the integral Irodov Solutions: Constant Magnetic Field Magnetics | I. E. Irodov Solutions for Physics Class 11 & Class 12 - JEE along the axis of the loop within the range from  Irodov Solutions: Constant Magnetic Field Magnetics | I. E. Irodov Solutions for Physics Class 11 & Class 12 - JEE Explain the result obtained. 

Solution. 232. Irodov Solutions: Constant Magnetic Field Magnetics | I. E. Irodov Solutions for Physics Class 11 & Class 12 - JEE

Thus,  Irodov Solutions: Constant Magnetic Field Magnetics | I. E. Irodov Solutions for Physics Class 11 & Class 12 - JEE

Irodov Solutions: Constant Magnetic Field Magnetics | I. E. Irodov Solutions for Physics Class 11 & Class 12 - JEE

The physical interpretation of this result is that  Irodov Solutions: Constant Magnetic Field Magnetics | I. E. Irodov Solutions for Physics Class 11 & Class 12 - JEE dx can be thought of as the circulation of B over a closed loop by imaging that the two ends of the axis are connected, by a line at infinity (e.g. a semicircle of infinite radius).


Q. 233. A direct current of density j flows along a round uniform straight wire with cross-section radius R. Find the magnetic induction vector of this current at the point whose position relative to the axis of the wire is defined by a radius vector r. The magnetic permeability is assumed to be equal to unity throughout all the space. 

Solution. 233. By circulation theorem inside the conductor

Irodov Solutions: Constant Magnetic Field Magnetics | I. E. Irodov Solutions for Physics Class 11 & Class 12 - JEE

i.e.,     Irodov Solutions: Constant Magnetic Field Magnetics | I. E. Irodov Solutions for Physics Class 11 & Class 12 - JEE

Similarly outside the conductor,

Irodov Solutions: Constant Magnetic Field Magnetics | I. E. Irodov Solutions for Physics Class 11 & Class 12 - JEE

So, Irodov Solutions: Constant Magnetic Field Magnetics | I. E. Irodov Solutions for Physics Class 11 & Class 12 - JEE


Q. 234. Inside a long straight uniform wire of round cross-section there is a long round cylindrical cavity whose axis is parallel to the axis of the wire and displaced from the latter by a distance 1. A direct current of density j flows along the wire. Find the magnetic induction inside the cavity. Consider, in particular, the case I = 0. 

Solution. 234. We can think of the given current which will be assumed uniform, as arising due to a negative current, flowing in the cavity, superimposed on the true current, everywhere including the cavity. Then from the previous problem, by superposition.

Irodov Solutions: Constant Magnetic Field Magnetics | I. E. Irodov Solutions for Physics Class 11 & Class 12 - JEE

Irodov Solutions: Constant Magnetic Field Magnetics | I. E. Irodov Solutions for Physics Class 11 & Class 12 - JEE

Irodov Solutions: Constant Magnetic Field Magnetics | I. E. Irodov Solutions for Physics Class 11 & Class 12 - JEE so that the cavity is concentric with the conductor, there is no magnetic field in the cavity.


Q. 235. Find the current density as a function of distance r from the axis of a radially symmetrical parallel stream of electrons if the magnetic induction inside the stream varies as B = brα, where b and α are positive constants. 

Solution. 235. By Circulation theorem, 

Irodov Solutions: Constant Magnetic Field Magnetics | I. E. Irodov Solutions for Physics Class 11 & Class 12 - JEE

or using Bφ = brα inside the stream,

Irodov Solutions: Constant Magnetic Field Magnetics | I. E. Irodov Solutions for Physics Class 11 & Class 12 - JEE

So by differentiation,

Irodov Solutions: Constant Magnetic Field Magnetics | I. E. Irodov Solutions for Physics Class 11 & Class 12 - JEE

Hence,  Irodov Solutions: Constant Magnetic Field Magnetics | I. E. Irodov Solutions for Physics Class 11 & Class 12 - JEE


Q. 236. A single-layer coil (solenoid) has length l and cross-section radius R, A number of turns per unit length is equal to n. Find the magnetic induction at the centre of the coil when a current I flows through it. 

Solution. 236. On the surface of the solenoid there is a surface current density

Irodov Solutions: Constant Magnetic Field Magnetics | I. E. Irodov Solutions for Physics Class 11 & Class 12 - JEE

Then,  Irodov Solutions: Constant Magnetic Field Magnetics | I. E. Irodov Solutions for Physics Class 11 & Class 12 - JEE

where  Irodov Solutions: Constant Magnetic Field Magnetics | I. E. Irodov Solutions for Physics Class 11 & Class 12 - JEE is the vector from the current element to the field point, which is the centre of the solenoid, 

Now , 

Irodov Solutions: Constant Magnetic Field Magnetics | I. E. Irodov Solutions for Physics Class 11 & Class 12 - JEE

Thus.  Irodov Solutions: Constant Magnetic Field Magnetics | I. E. Irodov Solutions for Physics Class 11 & Class 12 - JEE

Irodov Solutions: Constant Magnetic Field Magnetics | I. E. Irodov Solutions for Physics Class 11 & Class 12 - JEE

Irodov Solutions: Constant Magnetic Field Magnetics | I. E. Irodov Solutions for Physics Class 11 & Class 12 - JEE


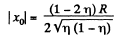
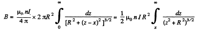
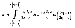
Q. 237. A very long straight solenoid has a cross-section radius R and n turns per unit length. A direct current I flows through the solenoid. Suppose that x is the distance from the end of the solenoid, measured along its axis. Find:
 (a) the magnetic induction B on the axis as a function of x; draw an approximate plot of B vs the ratio x/R;
 (b) the distance xo  to the point on the axis at which the value of B differs by η = 1% from that in the middle section of the solenoid.

Solution. 237. We proceed exactly as in the previous problem. Then (a) the magnetic induction on the axis at a distance x from one end is clearly,

Irodov Solutions: Constant Magnetic Field Magnetics | I. E. Irodov Solutions for Physics Class 11 & Class 12 - JEE

Irodov Solutions: Constant Magnetic Field Magnetics | I. E. Irodov Solutions for Physics Class 11 & Class 12 - JEE

x > 0 menas that the field point is outside the solenoid. B then falls with x. x < 0 means that the field point gets more and more inside the solenoid. B then increases with (x) and eventually becomes constant, equal to μ0 nI. The B - x graph is as given in the answer script.

Irodov Solutions: Constant Magnetic Field Magnetics | I. E. Irodov Solutions for Physics Class 11 & Class 12 - JEE

or,  Irodov Solutions: Constant Magnetic Field Magnetics | I. E. Irodov Solutions for Physics Class 11 & Class 12 - JEE

Since η is small Irodov Solutions: Constant Magnetic Field Magnetics | I. E. Irodov Solutions for Physics Class 11 & Class 12 - JEE must be negative. Irodov Solutions: Constant Magnetic Field Magnetics | I. E. Irodov Solutions for Physics Class 11 & Class 12 - JEE

and Irodov Solutions: Constant Magnetic Field Magnetics | I. E. Irodov Solutions for Physics Class 11 & Class 12 - JEE

Irodov Solutions: Constant Magnetic Field Magnetics | I. E. Irodov Solutions for Physics Class 11 & Class 12 - JEE

or,  Irodov Solutions: Constant Magnetic Field Magnetics | I. E. Irodov Solutions for Physics Class 11 & Class 12 - JEE


Q. 238. A thin conducting strip of width h = 2.0 cm is tightly wound in the shape of a very long coil with cross-section radius R = 2.5 cm to make a single-layer straight solenoid. A direct current I = 5.0 A flows through the strip. Find the magnetic induction inside and outside the solenoid as a function of the distance r from its axis. 

Solution. 238. If the strip is tightly wound, it must have a pitch of A. This means that the current will flow obliquely, partly along Irodov Solutions: Constant Magnetic Field Magnetics | I. E. Irodov Solutions for Physics Class 11 & Class 12 - JEE and partly along Irodov Solutions: Constant Magnetic Field Magnetics | I. E. Irodov Solutions for Physics Class 11 & Class 12 - JEE Obviously, the surface current density is,

Irodov Solutions: Constant Magnetic Field Magnetics | I. E. Irodov Solutions for Physics Class 11 & Class 12 - JEE

By comparision with the case of a solenoid and a hollow straight conductor, we see that field inside the coil

Irodov Solutions: Constant Magnetic Field Magnetics | I. E. Irodov Solutions for Physics Class 11 & Class 12 - JEE

Irodov Solutions: Constant Magnetic Field Magnetics | I. E. Irodov Solutions for Physics Class 11 & Class 12 - JEE

Outside, only the other term contributes, so

Irodov Solutions: Constant Magnetic Field Magnetics | I. E. Irodov Solutions for Physics Class 11 & Class 12 - JEE

or,  Irodov Solutions: Constant Magnetic Field Magnetics | I. E. Irodov Solutions for Physics Class 11 & Class 12 - JEE

Note - Surface current density is defined as current flowing normally acrpss a unit length over a surface.


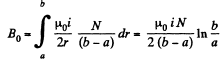
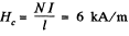
Q. 239. N = 2.5.103  wire turns are uniformly wound on a wooden toroidal core of very small cross-section. A current I flows through the wire. Find the ratio η of the magnetic induction inside the core to that at the centre of the toroid.

Solution. 239. Suppose a is the radius of cross section of the core. The winding has a pitch 2πR/N, so the surface current density is

Irodov Solutions: Constant Magnetic Field Magnetics | I. E. Irodov Solutions for Physics Class 11 & Class 12 - JEE

where  Irodov Solutions: Constant Magnetic Field Magnetics | I. E. Irodov Solutions for Physics Class 11 & Class 12 - JEE  a unit vector along the cross section of the core and Irodov Solutions: Constant Magnetic Field Magnetics | I. E. Irodov Solutions for Physics Class 11 & Class 12 - JEE a unit vector along its length. The magnetic field inside the cross section of the core is due to first term above, and is given byIrodov Solutions: Constant Magnetic Field Magnetics | I. E. Irodov Solutions for Physics Class 11 & Class 12 - JEE

(NI is total current due to the above surface current (first term.))

Thus, Irodov Solutions: Constant Magnetic Field Magnetics | I. E. Irodov Solutions for Physics Class 11 & Class 12 - JEE

The magnetic field at the centre of the core can be obtained from the basic formula. 

Irodov Solutions: Constant Magnetic Field Magnetics | I. E. Irodov Solutions for Physics Class 11 & Class 12 - JEE and is due to the second term.

So, Irodov Solutions: Constant Magnetic Field Magnetics | I. E. Irodov Solutions for Physics Class 11 & Class 12 - JEE

or,  Irodov Solutions: Constant Magnetic Field Magnetics | I. E. Irodov Solutions for Physics Class 11 & Class 12 - JEE

The ratio of the two magnetic field, is  Irodov Solutions: Constant Magnetic Field Magnetics | I. E. Irodov Solutions for Physics Class 11 & Class 12 - JEE


Q. 240. A direct current I = 10 A flows in a long straight round conductor. Find the magnetic flux through a half of wire's crosssection per one metre of its length.

Solution. 240. We need the flux through the shaded area.

Irodov Solutions: Constant Magnetic Field Magnetics | I. E. Irodov Solutions for Physics Class 11 & Class 12 - JEE

Now by Ampere's theorem; 

Irodov Solutions: Constant Magnetic Field Magnetics | I. E. Irodov Solutions for Physics Class 11 & Class 12 - JEE

or,    Irodov Solutions: Constant Magnetic Field Magnetics | I. E. Irodov Solutions for Physics Class 11 & Class 12 - JEE

The flux through the shaded region is,

Irodov Solutions: Constant Magnetic Field Magnetics | I. E. Irodov Solutions for Physics Class 11 & Class 12 - JEE


Q. 241. A very long straight solenoid carries a current I. The cross-sectional area of the solenoid is equal to S, the number of turns per unit length is equal to n. Find the flux of the vector B through the end plane of the solenoid.

Solution. 241. Using Q.237, the magnetic field is given by,

Irodov Solutions: Constant Magnetic Field Magnetics | I. E. Irodov Solutions for Physics Class 11 & Class 12 - JEE

At the end  Irodov Solutions: Constant Magnetic Field Magnetics | I. E. Irodov Solutions for Physics Class 11 & Class 12 - JEE

is the field deep inside the solenoid. Thus,

Irodov Solutions: Constant Magnetic Field Magnetics | I. E. Irodov Solutions for Physics Class 11 & Class 12 - JEE

is the flux of the vector B through the cross section deep inside the solenid. 



Q. 242. Fig. 3.65 shows a toroidal solenoid whose cross-section is rectangular. Find the magnetic flux through this cross-section if the current through the winding equals I = 1.7 A, the total number of turns is N = 1000, the ratio of the outside diameter to the inside one is η = 1.6, and the height is equal to h = 5.0 cm. 

Irodov Solutions: Constant Magnetic Field Magnetics | I. E. Irodov Solutions for Physics Class 11 & Class 12 - JEE

Solution. 242. Irodov Solutions: Constant Magnetic Field Magnetics | I. E. Irodov Solutions for Physics Class 11 & Class 12 - JEE

or,   Irodov Solutions: Constant Magnetic Field Magnetics | I. E. Irodov Solutions for Physics Class 11 & Class 12 - JEE

Then,  Irodov Solutions: Constant Magnetic Field Magnetics | I. E. Irodov Solutions for Physics Class 11 & Class 12 - JEE


Q. 243. Find the magnetic moment of a thin round loop with current if the radius of the loop is equal to R = 100 mm and the magnetic induction at its centre is equal to B = 6.0 μT. 

Solution. 243. Magnetic moment of a current loop is given by pm - n i S ( where n is the number of turns and 5, the cross sectional area.) In our problem,

Irodov Solutions: Constant Magnetic Field Magnetics | I. E. Irodov Solutions for Physics Class 11 & Class 12 - JEE

So,  Irodov Solutions: Constant Magnetic Field Magnetics | I. E. Irodov Solutions for Physics Class 11 & Class 12 - JEE


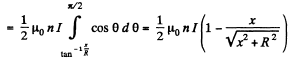
Q. 244. Calculate the magnetic moment of a thin wire with a current I = 0.8 A, wound tightly on half a tore (Fig. 3.66). The diameter of the cross-section of the tore is equal to d = 5.0 cm, the number of turns is N = 500. 

Irodov Solutions: Constant Magnetic Field Magnetics | I. E. Irodov Solutions for Physics Class 11 & Class 12 - JEE

Solution. 244. Take an element of length rd θ containing  Irodov Solutions: Constant Magnetic Field Magnetics | I. E. Irodov Solutions for Physics Class 11 & Class 12 - JEE turns. Its magnetic moment is

Irodov Solutions: Constant Magnetic Field Magnetics | I. E. Irodov Solutions for Physics Class 11 & Class 12 - JEE

normal to the plane of cross section. We resolve it along OA and OB. The moment along OA integrates to

Irodov Solutions: Constant Magnetic Field Magnetics | I. E. Irodov Solutions for Physics Class 11 & Class 12 - JEE

Irodov Solutions: Constant Magnetic Field Magnetics | I. E. Irodov Solutions for Physics Class 11 & Class 12 - JEE

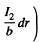
Q. 245. A thin insulated wire forms a plane spiral of N = 100 tight turns carrying a current I = 8 mA. The radii of inside and outside turns (Fig. 3.67) are equal to a = 50 mm and b = 100 mm. Find:
 (a) the magnetic induction at the centre of the spiral;
 (b) the magnetic moment of the spiral with a given current. 

Irodov Solutions: Constant Magnetic Field Magnetics | I. E. Irodov Solutions for Physics Class 11 & Class 12 - JEE

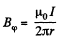
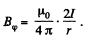
Solution. 245. (a) From Biot-Savart’s law, the magnetic induction due to a circular current carrying wire loop at its centre is given by,

Irodov Solutions: Constant Magnetic Field Magnetics | I. E. Irodov Solutions for Physics Class 11 & Class 12 - JEE

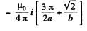
The plane spiral is made up of concentric circular loops, having different radii, varying from a to b. Therefore, the total magnetic induction at the centre,

Irodov Solutions: Constant Magnetic Field Magnetics | I. E. Irodov Solutions for Physics Class 11 & Class 12 - JEE    (1)

where Irodov Solutions: Constant Magnetic Field Magnetics | I. E. Irodov Solutions for Physics Class 11 & Class 12 - JEEis the contribution of one turn of radius r and dN is the number of turns in the interval (r, r + dr)

i.e.    Irodov Solutions: Constant Magnetic Field Magnetics | I. E. Irodov Solutions for Physics Class 11 & Class 12 - JEE

Substituting in equation (1) and integrating the result over r between a and b, we obtain, 

Irodov Solutions: Constant Magnetic Field Magnetics | I. E. Irodov Solutions for Physics Class 11 & Class 12 - JEE

(b) The m agnetic moment of a turn of radius   Irodov Solutions: Constant Magnetic Field Magnetics | I. E. Irodov Solutions for Physics Class 11 & Class 12 - JEE and of all turns,

Irodov Solutions: Constant Magnetic Field Magnetics | I. E. Irodov Solutions for Physics Class 11 & Class 12 - JEE


Q. 246. A non-conducting thin disc of radius R charged uniformly over one side with surface density σ rotates about its axis with an angular velocity ω. Find:
 (a) the magnetic induction at the centre of the disc;
 (b) the magnetic moment of the disc. 

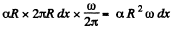
Solution. 246. (a) Let us take a ring element of radius r and thickness dr, then charge on the ring element., d q = σ 2 π r dr

and current, due to this element,  Irodov Solutions: Constant Magnetic Field Magnetics | I. E. Irodov Solutions for Physics Class 11 & Class 12 - JEE

So, magnetic induction at the centre, due to this element :  Irodov Solutions: Constant Magnetic Field Magnetics | I. E. Irodov Solutions for Physics Class 11 & Class 12 - JEE

and hence, from symmetry    Irodov Solutions: Constant Magnetic Field Magnetics | I. E. Irodov Solutions for Physics Class 11 & Class 12 - JEE

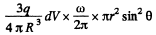
(b) Magnetic moment of the element, considered,

Irodov Solutions: Constant Magnetic Field Magnetics | I. E. Irodov Solutions for Physics Class 11 & Class 12 - JEE

Hence, the sought magnetic moment,

Irodov Solutions: Constant Magnetic Field Magnetics | I. E. Irodov Solutions for Physics Class 11 & Class 12 - JEE


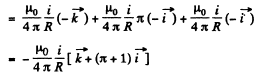
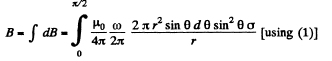
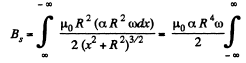
Q. 247. A non-conducting sphere of radius R = 50 mm charged uniformly with surface density σ = 10.0 µC/m2  rotates with an angular velocity ω = 70 rad/s about the axis passing through its centre. Find the magnetic induction at the centre of the sphere. 

Solution. 247. As only the outer surface of the sphere is charged, consider the element as a ring, as shown in the figure.

Irodov Solutions: Constant Magnetic Field Magnetics | I. E. Irodov Solutions for Physics Class 11 & Class 12 - JEE

The equivalent current due to the ring element,

Irodov Solutions: Constant Magnetic Field Magnetics | I. E. Irodov Solutions for Physics Class 11 & Class 12 - JEE

and magnetic induction due to this loop element at the centre of the sphere, O,

Irodov Solutions: Constant Magnetic Field Magnetics | I. E. Irodov Solutions for Physics Class 11 & Class 12 - JEE

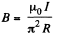
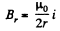
[Using Q.219 (b)]

Hence, the total magnetic induction due to the sphere at the centre, O,

Irodov Solutions: Constant Magnetic Field Magnetics | I. E. Irodov Solutions for Physics Class 11 & Class 12 - JEE

Hence,  Irodov Solutions: Constant Magnetic Field Magnetics | I. E. Irodov Solutions for Physics Class 11 & Class 12 - JEE


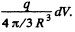
Q. 248. A charge q is uniformly distributed over the volume of a uniform ball of mass m and radius R which rotates with an angular velocity e.) about the axis passing through its centre. Find the respective magnetic moment and its ratio to the mechanical moment.

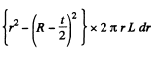
Solution. 248. The magnetic moment must clearly be along the axis of rotation. Consider a volume elem ent dV. It contains a charge  Irodov Solutions: Constant Magnetic Field Magnetics | I. E. Irodov Solutions for Physics Class 11 & Class 12 - JEE The rotation of the sphere causes this charge to revolve around the axis and constitute a current. 

Irodov Solutions: Constant Magnetic Field Magnetics | I. E. Irodov Solutions for Physics Class 11 & Class 12 - JEE

Its magnetic moment will be

Irodov Solutions: Constant Magnetic Field Magnetics | I. E. Irodov Solutions for Physics Class 11 & Class 12 - JEE

So the total magnetic moment is

Irodov Solutions: Constant Magnetic Field Magnetics | I. E. Irodov Solutions for Physics Class 11 & Class 12 - JEEIrodov Solutions: Constant Magnetic Field Magnetics | I. E. Irodov Solutions for Physics Class 11 & Class 12 - JEE

The mechanical moment is

Irodov Solutions: Constant Magnetic Field Magnetics | I. E. Irodov Solutions for Physics Class 11 & Class 12 - JEE


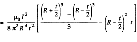
Q. 249. A long dielectric cylinder of radius R is statically polarized so that at all its points the polarization is equal to P = αr, where α is a positive constant, and r is the distance from the axis. The cylinder is set into rotation about its axis with an angular velocity ω. Find the magnetic induction B at the centre of the cylinder. 

Solution. 249. Because of polarization a space charge is present within the cylinder. It’s density is

Irodov Solutions: Constant Magnetic Field Magnetics | I. E. Irodov Solutions for Physics Class 11 & Class 12 - JEE

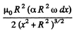
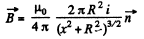
Since the cylinder as a whole is neutral a surface charge density σp must be present on the surface of the cylinder also. This has the magnitude (algebraically)

Irodov Solutions: Constant Magnetic Field Magnetics | I. E. Irodov Solutions for Physics Class 11 & Class 12 - JEE

When the cylinder rotates, currents are set up which give rise to magnetic fields. The contribution of Pp and σp can be calculated separately and then added.
For the surface charge the current is (for a particular element)

Irodov Solutions: Constant Magnetic Field Magnetics | I. E. Irodov Solutions for Physics Class 11 & Class 12 - JEE

Its contribution to the magnetic field at the centre is

Irodov Solutions: Constant Magnetic Field Magnetics | I. E. Irodov Solutions for Physics Class 11 & Class 12 - JEE

and the total magnetic field is

Irodov Solutions: Constant Magnetic Field Magnetics | I. E. Irodov Solutions for Physics Class 11 & Class 12 - JEEIrodov Solutions: Constant Magnetic Field Magnetics | I. E. Irodov Solutions for Physics Class 11 & Class 12 - JEE

As for the volume charge density consider a circle of radius r, radial thickness dr and length dx.

The current is Irodov Solutions: Constant Magnetic Field Magnetics | I. E. Irodov Solutions for Physics Class 11 & Class 12 - JEE

The total magnetic field due to the volume charge distribution is

Irodov Solutions: Constant Magnetic Field Magnetics | I. E. Irodov Solutions for Physics Class 11 & Class 12 - JEEIrodov Solutions: Constant Magnetic Field Magnetics | I. E. Irodov Solutions for Physics Class 11 & Class 12 - JEE

Irodov Solutions: Constant Magnetic Field Magnetics | I. E. Irodov Solutions for Physics Class 11 & Class 12 - JEE


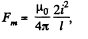
Q. 250. Two protons move parallel to each other with an equal velocity v = 300 km/s. Find the ratio of forces of magnetic and electrical interaction of the protons.

Solution. 250. Force of magnetic interaction,  Irodov Solutions: Constant Magnetic Field Magnetics | I. E. Irodov Solutions for Physics Class 11 & Class 12 - JEE

Where,  Irodov Solutions: Constant Magnetic Field Magnetics | I. E. Irodov Solutions for Physics Class 11 & Class 12 - JEE

So,   Irodov Solutions: Constant Magnetic Field Magnetics | I. E. Irodov Solutions for Physics Class 11 & Class 12 - JEE

Irodov Solutions: Constant Magnetic Field Magnetics | I. E. Irodov Solutions for Physics Class 11 & Class 12 - JEE

And   Irodov Solutions: Constant Magnetic Field Magnetics | I. E. Irodov Solutions for Physics Class 11 & Class 12 - JEE

Hence,  Irodov Solutions: Constant Magnetic Field Magnetics | I. E. Irodov Solutions for Physics Class 11 & Class 12 - JEE


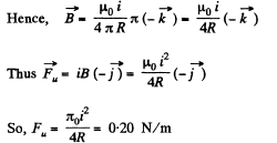
Q. 251. Find the magnitude and direction of a force vector acting on a unit length of a thin wire, carrying a current I = 8.0 A, at a point O, if the wire is bent as shown in
 (a) Fig. 3.68a, with curvature radius R = 10 cm;
 (b) Fig. 3.68b, the distance between the long parallel segments of the wire being equal to l = 20 cm.

Irodov Solutions: Constant Magnetic Field Magnetics | I. E. Irodov Solutions for Physics Class 11 & Class 12 - JEE

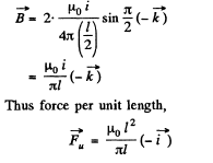
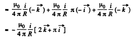
Solution. 251. (a) The magnetic field at O is only due to the curved path, as for the line element,  Irodov Solutions: Constant Magnetic Field Magnetics | I. E. Irodov Solutions for Physics Class 11 & Class 12 - JEE

Irodov Solutions: Constant Magnetic Field Magnetics | I. E. Irodov Solutions for Physics Class 11 & Class 12 - JEE

Irodov Solutions: Constant Magnetic Field Magnetics | I. E. Irodov Solutions for Physics Class 11 & Class 12 - JEE

(b) In this part, magnetic induction  Irodov Solutions: Constant Magnetic Field Magnetics | I. E. Irodov Solutions for Physics Class 11 & Class 12 - JEE will be effective only due to the two semi infinite segments of wire. Hence

Irodov Solutions: Constant Magnetic Field Magnetics | I. E. Irodov Solutions for Physics Class 11 & Class 12 - JEE

Irodov Solutions: Constant Magnetic Field Magnetics | I. E. Irodov Solutions for Physics Class 11 & Class 12 - JEE


Q. 252. A coil carrying a current I = 10 mA is placed in a uniform magnetic field so that its axis coincides with the field direction. The single-layer winding of the coil is made of copper wire with diameter d = 0.10 mm, radius of turns is equal to R = 30 mm. At what value of the induction of the external magnetic field can the coil winding be ruptured? 

Solution. 252. Each element of length dl experiences a force Bl dl. This causes a tension T in the wire.

Irodov Solutions: Constant Magnetic Field Magnetics | I. E. Irodov Solutions for Physics Class 11 & Class 12 - JEE

For equilibrium,

Irodov Solutions: Constant Magnetic Field Magnetics | I. E. Irodov Solutions for Physics Class 11 & Class 12 - JEE

where da is the angle subtended by the element at the centre.

Then,   Irodov Solutions: Constant Magnetic Field Magnetics | I. E. Irodov Solutions for Physics Class 11 & Class 12 - JEE

The wire experiences a stress

Irodov Solutions: Constant Magnetic Field Magnetics | I. E. Irodov Solutions for Physics Class 11 & Class 12 - JEE

This must equals the breaking stress σm for rupture. Thus,

Irodov Solutions: Constant Magnetic Field Magnetics | I. E. Irodov Solutions for Physics Class 11 & Class 12 - JEE


Q. 253. A copper wire with cross-sectional area S = 2.5 mm2 bent to make three sides of a square can turn about a horizontal axis OO' (Fig. 3.69). The wire is located in uniform vertical magnetic field. Find the magnetic induction if on passing a current I = 16 A through the wire the latter deflects by an angle θ = 20°. 

Irodov Solutions: Constant Magnetic Field Magnetics | I. E. Irodov Solutions for Physics Class 11 & Class 12 - JEE

Solution. 253. The Ampere forces on the sides OP and O'P' are directed along the same line, in opposite directions and have equal values, hence the net force as well as the net torque of these forces about the a x is OO ' is zero. The Am pere-force on the segm ent PP ’ and the corresponding moment of this force about the axis OO' is effective and is deflecting in nature.

Irodov Solutions: Constant Magnetic Field Magnetics | I. E. Irodov Solutions for Physics Class 11 & Class 12 - JEE

In equilibrium (in the dotted position) the deflecting torque must be equal to the restoring torque, developed due to the weight of the shape.
Let, the length of each side be l and p be the density of the material then,

Irodov Solutions: Constant Magnetic Field Magnetics | I. E. Irodov Solutions for Physics Class 11 & Class 12 - JEE
Irodov Solutions: Constant Magnetic Field Magnetics | I. E. Irodov Solutions for Physics Class 11 & Class 12 - JEE


Q. 254. A small coil C with N = 200 turns is mounted on one end of a balance beam and introduced between the poles of an electromagnet as shown in Fig. 3.70. The cross-sectional area of the coil is S = 1.0 cm2, the length of the arm OA of the balance beam is l = 30 cm. When there is no current in the coil the balance is hi equilibrium. On passing a current I = 22 mA through the coil the equilibrium is restored by putting the additional counterweight of mass Δm = 60 mg on the balance pan. Find the magnetic induction at the spot where the coil is located.

Irodov Solutions: Constant Magnetic Field Magnetics | I. E. Irodov Solutions for Physics Class 11 & Class 12 - JEE

Solution. 254. We know that the torque acting on a magnetic dipole.

Irodov Solutions: Constant Magnetic Field Magnetics | I. E. Irodov Solutions for Physics Class 11 & Class 12 - JEE

But,   Irodov Solutions: Constant Magnetic Field Magnetics | I. E. Irodov Solutions for Physics Class 11 & Class 12 - JEE is the normal on the plane of the loop and is directed in the direction of advancement of a right handed screw, if we rotate the screw in the sense of current in the loop.

Irodov Solutions: Constant Magnetic Field Magnetics | I. E. Irodov Solutions for Physics Class 11 & Class 12 - JEE

On passing a current through the coil, this torque acting on the magnetic dipol, is counterbalanced by the moment of additional weight, about O. Hence, the direction of current in the loop must be in the direction, shown in the figure.

Irodov Solutions: Constant Magnetic Field Magnetics | I. E. Irodov Solutions for Physics Class 11 & Class 12 - JEE

or,  Irodov Solutions: Constant Magnetic Field Magnetics | I. E. Irodov Solutions for Physics Class 11 & Class 12 - JEE

So,  Irodov Solutions: Constant Magnetic Field Magnetics | I. E. Irodov Solutions for Physics Class 11 & Class 12 - JEE  on putting the values.


Q. 255. A square frame carrying a current I = 0.90 A is located in the same plane as a long straight wire carrying a current I0 = 5.0 A. The frame side has a length α = 8.0 cm. The axis of the frame passing through the midpoints of opposite sides is parallel to the wire and is separated from it by the distance which is η = 1.5 times greater than the side of the frame. Find:
 (a) Ampere force acting on the frame;
 (b) the mechanical work to be performed in order to turn the frame through 180° about its axis, with the currents maintained constant.

Solution. 255. (a) As is clear from the condition, Ampere's forces on the sides (2) and (4) are equal in magnitude but opposite in direction. Hence the net effective force on the frame is the resultant of the forces, experienced by the sides (1) and (3).

Irodov Solutions: Constant Magnetic Field Magnetics | I. E. Irodov Solutions for Physics Class 11 & Class 12 - JEE

Now, the Ampere force on (1),

Irodov Solutions: Constant Magnetic Field Magnetics | I. E. Irodov Solutions for Physics Class 11 & Class 12 - JEE

and that on (3),

Irodov Solutions: Constant Magnetic Field Magnetics | I. E. Irodov Solutions for Physics Class 11 & Class 12 - JEE

So, the resultant force on the frame = F1 - F3, (as they are opposite in nature.)

Irodov Solutions: Constant Magnetic Field Magnetics | I. E. Irodov Solutions for Physics Class 11 & Class 12 - JEE

(b) Work done in turning the frame through some angle,  Irodov Solutions: Constant Magnetic Field Magnetics | I. E. Irodov Solutions for Physics Class 11 & Class 12 - JEE where Irodov Solutions: Constant Magnetic Field Magnetics | I. E. Irodov Solutions for Physics Class 11 & Class 12 - JEE is the flux through the frame in final position, and Irodov Solutions: Constant Magnetic Field Magnetics | I. E. Irodov Solutions for Physics Class 11 & Class 12 - JEE that in the the initial position.

Here,  Irodov Solutions: Constant Magnetic Field Magnetics | I. E. Irodov Solutions for Physics Class 11 & Class 12 - JEE

so,  Irodov Solutions: Constant Magnetic Field Magnetics | I. E. Irodov Solutions for Physics Class 11 & Class 12 - JEE

Hence,  Irodov Solutions: Constant Magnetic Field Magnetics | I. E. Irodov Solutions for Physics Class 11 & Class 12 - JEE

Irodov Solutions: Constant Magnetic Field Magnetics | I. E. Irodov Solutions for Physics Class 11 & Class 12 - JEE


Q. 256. Two long parallel wires of negligible resistance are connected at one end to a resistance R and at the other end to a de voltage source. The distance between the axes of the wires is η = 20 times greater than the cross-sectional radius of each wire. At what value of resistance R does the resultant force of interaction between the wires turn into zero? 

Solution. 256. There are excess surface charges on each wire (irrespective of whether the current is flowing through them or not). Hence in addition to the magnetic force  Irodov Solutions: Constant Magnetic Field Magnetics | I. E. Irodov Solutions for Physics Class 11 & Class 12 - JEE we must take into account the electric force  Irodov Solutions: Constant Magnetic Field Magnetics | I. E. Irodov Solutions for Physics Class 11 & Class 12 - JEE Suppose that an exc ess charge X corresponds to a unit length of the wire, then electric force exerted per unit length of the wire by other wire can be found with the help of Gauss’s theorem.

Irodov Solutions: Constant Magnetic Field Magnetics | I. E. Irodov Solutions for Physics Class 11 & Class 12 - JEE   (1)

Irodov Solutions: Constant Magnetic Field Magnetics | I. E. Irodov Solutions for Physics Class 11 & Class 12 - JEE

where l is the distance between the axes of the wires. The magnetic force acting per unit length of the wire can be found with the help of the theorem on circulation of vector  Irodov Solutions: Constant Magnetic Field Magnetics | I. E. Irodov Solutions for Physics Class 11 & Class 12 - JEE

Irodov Solutions: Constant Magnetic Field Magnetics | I. E. Irodov Solutions for Physics Class 11 & Class 12 - JEE    (2)

where i is the current in the wire. 

Now, from the relation,Irodov Solutions: Constant Magnetic Field Magnetics | I. E. Irodov Solutions for Physics Class 11 & Class 12 - JEE

λ, = C φ, where C is the capacitance of the wires per unit lengths and is given in problem Q.108 and φ = iR

Irodov Solutions: Constant Magnetic Field Magnetics | I. E. Irodov Solutions for Physics Class 11 & Class 12 - JEE    (3)

Dividing (2) by (1) and then substuting the value of Irodov Solutions: Constant Magnetic Field Magnetics | I. E. Irodov Solutions for Physics Class 11 & Class 12 - JEE

Irodov Solutions: Constant Magnetic Field Magnetics | I. E. Irodov Solutions for Physics Class 11 & Class 12 - JEE

The resultant force of interaction vanishes when this ratio equals unity. This is possible when R = R0, where

Irodov Solutions: Constant Magnetic Field Magnetics | I. E. Irodov Solutions for Physics Class 11 & Class 12 - JEE


Q. 257. A direct current I flows in a long straight conductor whose cross-section has the form of a thin half-ring of radius R. The same current flows in the opposite direction along a thin conductor located on the "axis" of the first conductor (point 0 in Fig. 3.61). Find the magnetic interaction force between the given con- ductors reduced to a unit of their length. 

Irodov Solutions: Constant Magnetic Field Magnetics | I. E. Irodov Solutions for Physics Class 11 & Class 12 - JEE

Solution. 257. Use Q.225

The magnetic field due to the conductor with semicircular cross section is

Irodov Solutions: Constant Magnetic Field Magnetics | I. E. Irodov Solutions for Physics Class 11 & Class 12 - JEE

Then   Irodov Solutions: Constant Magnetic Field Magnetics | I. E. Irodov Solutions for Physics Class 11 & Class 12 - JEE


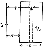
Q. 258. Two long thin parallel conductors of the shape shown in Fig. 3.71 carry direct currents I1 and I2. The separation between the conductors is a, the width of the right-hand conductor is equal to b. With both conductors lying in one plane, find the magnetic interaction force between them reduced to a unit of their length. 

Irodov Solutions: Constant Magnetic Field Magnetics | I. E. Irodov Solutions for Physics Class 11 & Class 12 - JEE

Solution. 258. We know that Ampere’s force per unit length on a wire element in a magnetic field is given by.

Irodov Solutions: Constant Magnetic Field Magnetics | I. E. Irodov Solutions for Physics Class 11 & Class 12 - JEE

Irodov Solutions: Constant Magnetic Field Magnetics | I. E. Irodov Solutions for Physics Class 11 & Class 12 - JEE is the unit vector along the direction of current.   (1)

Now, let us take an element of the conductor i2, as shown in the figure. This wire element is in the magnetic field, produced by the current i1, which is directed normally into the sheet of the paper and its magnitude is given by,

Irodov Solutions: Constant Magnetic Field Magnetics | I. E. Irodov Solutions for Physics Class 11 & Class 12 - JEE   (2)

From Eqs. (1) and (2)

Irodov Solutions: Constant Magnetic Field Magnetics | I. E. Irodov Solutions for Physics Class 11 & Class 12 - JEE (because the current through the element equals Irodov Solutions: Constant Magnetic Field Magnetics | I. E. Irodov Solutions for Physics Class 11 & Class 12 - JEE

So ,  Irodov Solutions: Constant Magnetic Field Magnetics | I. E. Irodov Solutions for Physics Class 11 & Class 12 - JEE

Hence the magnetic force on the conductor :

Irodov Solutions: Constant Magnetic Field Magnetics | I. E. Irodov Solutions for Physics Class 11 & Class 12 - JEEIrodov Solutions: Constant Magnetic Field Magnetics | I. E. Irodov Solutions for Physics Class 11 & Class 12 - JEE

Then according to the Newton’s third law the magnitude of sought magnetic interaction force

Irodov Solutions: Constant Magnetic Field Magnetics | I. E. Irodov Solutions for Physics Class 11 & Class 12 - JEE


Q. 259. A system consists of two parallel planes carrying currents producing a uniform magnetic field of induction B between the planes. Outside this space there is no magnetic field. Find the magnetic force acting per unit area of each plane.

Solution. 259. By the circulation theorem B = μi,

where i = current per unit length flowing along the plane perpendicular to the paper. Currents flow in the opposite sense in the two planes and produce the given field B by superposition.

The field due to one of the plates is just  Irodov Solutions: Constant Magnetic Field Magnetics | I. E. Irodov Solutions for Physics Class 11 & Class 12 - JEE The force on the plate is,

Irodov Solutions: Constant Magnetic Field Magnetics | I. E. Irodov Solutions for Physics Class 11 & Class 12 - JEE

(Recall the formula F = BIl on a straight wire)


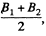
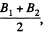
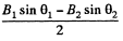
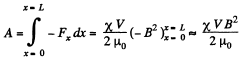
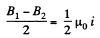
Q. 260. A conducting current-carrying plane is placed in an external uniform magnetic field. As a result, the magnetic induction becomes equal to B1 on one side of the plane and to B2, on the other. Find the magnetic force acting per unit area of the plane in the cases illustrated in Fig. 3.72. Determine the direction of the current in the plane in each case. 

Irodov Solutions: Constant Magnetic Field Magnetics | I. E. Irodov Solutions for Physics Class 11 & Class 12 - JEE

Solution. 260. (a) The external field must be  Irodov Solutions: Constant Magnetic Field Magnetics | I. E. Irodov Solutions for Physics Class 11 & Class 12 - JEE which when superposed with the internal field Irodov Solutions: Constant Magnetic Field Magnetics | I. E. Irodov Solutions for Physics Class 11 & Class 12 - JEE (of opposite sign on the two sides of the plate) must give actual field. Now

Irodov Solutions: Constant Magnetic Field Magnetics | I. E. Irodov Solutions for Physics Class 11 & Class 12 - JEE

Now

Irodov Solutions: Constant Magnetic Field Magnetics | I. E. Irodov Solutions for Physics Class 11 & Class 12 - JEE
or,  Irodov Solutions: Constant Magnetic Field Magnetics | I. E. Irodov Solutions for Physics Class 11 & Class 12 - JEE
Thus, Irodov Solutions: Constant Magnetic Field Magnetics | I. E. Irodov Solutions for Physics Class 11 & Class 12 - JEE

(b) Here, the external field must be  Irodov Solutions: Constant Magnetic Field Magnetics | I. E. Irodov Solutions for Physics Class 11 & Class 12 - JEE upward with an internal field, Irodov Solutions: Constant Magnetic Field Magnetics | I. E. Irodov Solutions for Physics Class 11 & Class 12 - JEE upward on the left and downward on the right Thus,

Irodov Solutions: Constant Magnetic Field Magnetics | I. E. Irodov Solutions for Physics Class 11 & Class 12 - JEE

Irodov Solutions: Constant Magnetic Field Magnetics | I. E. Irodov Solutions for Physics Class 11 & Class 12 - JEE

(c) Our boundary condition following from 

Irodov Solutions: Constant Magnetic Field Magnetics | I. E. Irodov Solutions for Physics Class 11 & Class 12 - JEE

The external field parallel to the plate must be  Irodov Solutions: Constant Magnetic Field Magnetics | I. E. Irodov Solutions for Physics Class 11 & Class 12 - JEE

(The perpendicular component B1 cos θ1, does not matter since the corresponding force is tangential)

Irodov Solutions: Constant Magnetic Field Magnetics | I. E. Irodov Solutions for Physics Class 11 & Class 12 - JEE

Irodov Solutions: Constant Magnetic Field Magnetics | I. E. Irodov Solutions for Physics Class 11 & Class 12 - JEE

The direction of the current in the plane conductor is perpendicular to the paper and beyond the drawing.


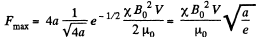
Q. 261. In an electromagnetic pump designed for transferring molten metals a pipe section with metal is located in a uniform magnetic field of induction B (Fig. 3.73). A current I is made to flow across this pipe section in the direction perpendicular both to the vector B and to the axis of the pipe. Find the gauge pressure produced by the pump if B = 0.10 T, I = 100 A, and a = 2.0 cm.

Irodov Solutions: Constant Magnetic Field Magnetics | I. E. Irodov Solutions for Physics Class 11 & Class 12 - JEE

Solution. 261. 

Irodov Solutions: Constant Magnetic Field Magnetics | I. E. Irodov Solutions for Physics Class 11 & Class 12 - JEE

The Current density is  Irodov Solutions: Constant Magnetic Field Magnetics | I. E. Irodov Solutions for Physics Class 11 & Class 12 - JEE is the length of the section. The difference in pressure produced must be, 

Irodov Solutions: Constant Magnetic Field Magnetics | I. E. Irodov Solutions for Physics Class 11 & Class 12 - JEE


Q. 262. A current I flows in a long thinwalled cylinder of radius R. What pressure do the walls of the cylinder experience? 

Solution. 262. Let t - thickness of the wall of the cylinder. Then, J = I / 2 π R t along z axis. The magnetic field due to this at a distance r

Irodov Solutions: Constant Magnetic Field Magnetics | I. E. Irodov Solutions for Physics Class 11 & Class 12 - JEE

Irodov Solutions: Constant Magnetic Field Magnetics | I. E. Irodov Solutions for Physics Class 11 & Class 12 - JEE

Irodov Solutions: Constant Magnetic Field Magnetics | I. E. Irodov Solutions for Physics Class 11 & Class 12 - JEE

Irodov Solutions: Constant Magnetic Field Magnetics | I. E. Irodov Solutions for Physics Class 11 & Class 12 - JEE

Irodov Solutions: Constant Magnetic Field Magnetics | I. E. Irodov Solutions for Physics Class 11 & Class 12 - JEEIrodov Solutions: Constant Magnetic Field Magnetics | I. E. Irodov Solutions for Physics Class 11 & Class 12 - JEE

Irodov Solutions: Constant Magnetic Field Magnetics | I. E. Irodov Solutions for Physics Class 11 & Class 12 - JEEIrodov Solutions: Constant Magnetic Field Magnetics | I. E. Irodov Solutions for Physics Class 11 & Class 12 - JEE

Irodov Solutions: Constant Magnetic Field Magnetics | I. E. Irodov Solutions for Physics Class 11 & Class 12 - JEE


Q. 263. What pressure does the lateral surface of a long straight solenoid with n turns per unit length experience when a current I flows through it? 

Solution. 263. When self-forces are involved, a typical factor of 1/2 comes into play. For example, the force on a current carrying straight wire in a magnetic induction B is BIl. If the magnetic induction B is due to the current itself then the force can be written as,

Irodov Solutions: Constant Magnetic Field Magnetics | I. E. Irodov Solutions for Physics Class 11 & Class 12 - JEE

If B (I') α I' , then this becomes,   Irodov Solutions: Constant Magnetic Field Magnetics | I. E. Irodov Solutions for Physics Class 11 & Class 12 - JEE

In the present case, Irodov Solutions: Constant Magnetic Field Magnetics | I. E. Irodov Solutions for Physics Class 11 & Class 12 - JEE and this acts on n l ampere turns per unit length, so,

pressur  Irodov Solutions: Constant Magnetic Field Magnetics | I. E. Irodov Solutions for Physics Class 11 & Class 12 - JEE


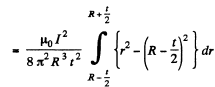
Q. 264. A current I flows in a long single-layer solenoid with crosssectional radius R. The number of turns per unit length of the solenoid equals n. Find the limiting current at which the winding may rupture if the tensile strength of the wire is equal to Flim

Solution. 264. The magnetic induction B in the solenoid is given by B = μ0 nl. The force on an element dl of the current carrying conductor is,

Irodov Solutions: Constant Magnetic Field Magnetics | I. E. Irodov Solutions for Physics Class 11 & Class 12 - JEE

This is radially outwards. The factor 1/2 is explained above.

To relate dF to the tensile strength Flim we proceed as follows. Consider the equilibrium of the element dl. The longitudinal forces F have a radial component equal to,

Irodov Solutions: Constant Magnetic Field Magnetics | I. E. Irodov Solutions for Physics Class 11 & Class 12 - JEE

Irodov Solutions: Constant Magnetic Field Magnetics | I. E. Irodov Solutions for Physics Class 11 & Class 12 - JEE

Irodov Solutions: Constant Magnetic Field Magnetics | I. E. Irodov Solutions for Physics Class 11 & Class 12 - JEE

Note that Flim, here, is actually a force and not a stress.



Q. 265. A parallel-plate capacitor with area of each plate equal to S and the separation between them to d is put into a stream of conducting liquid with resistivity p. The liquid moves parallel to the plates with a constant velocity v. The whole system is located in a uniform magnetic field of induction B, vector B being parallel to the plates and perpendicular to the stream direction. The capacitor plates are interconnected by means of an external resistance R. What amount of power is generated in that resistance? At what value of R is the generated power the highest? What is this highest power equal to?

Solution. 265. Resistance of the liquid between the plates = pd/S

Voltage between the plates = Ed = v Bd,

Current through the plates Irodov Solutions: Constant Magnetic Field Magnetics | I. E. Irodov Solutions for Physics Class 11 & Class 12 - JEE

Power, generated, in the external resistance R,

Irodov Solutions: Constant Magnetic Field Magnetics | I. E. Irodov Solutions for Physics Class 11 & Class 12 - JEEIrodov Solutions: Constant Magnetic Field Magnetics | I. E. Irodov Solutions for Physics Class 11 & Class 12 - JEE

This is maximum when  Irodov Solutions: Constant Magnetic Field Magnetics | I. E. Irodov Solutions for Physics Class 11 & Class 12 - JEE


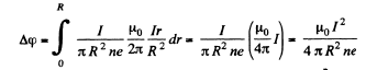
Q. 266. A straight round copper conductor of radius R = 5.0 mm carries a current I = 50 A. Find the potential difference between the axis of the conductor and its surface. The concentration of the conduction electrons in copper is equal to n = 0.9.1023  cm-3

Solution. 266. The electrons in the conductor are drifting with a speed of,

Irodov Solutions: Constant Magnetic Field Magnetics | I. E. Irodov Solutions for Physics Class 11 & Class 12 - JEE

where e = magnitude of the charge on the electron, n = concentration of the conduction electoms.
The magnetic field inside the conductor due to this current is given by,

Irodov Solutions: Constant Magnetic Field Magnetics | I. E. Irodov Solutions for Physics Class 11 & Class 12 - JEE

A radial electric field vBφ must come into being in equilibrium. Its P.D. is,

Irodov Solutions: Constant Magnetic Field Magnetics | I. E. Irodov Solutions for Physics Class 11 & Class 12 - JEE


Q. 267. In Hall effect measurements in a sodium conductor the strength of a transverse field was found to be equal to E = 5.0 µV/cm with a current density j = 200 A/cm2 and magnetic induction B = 1.00 T. Find the concentration of the conduction electrons and its ratio to the total number of atoms in the given conductor. 

Solution. 267. Irodov Solutions: Constant Magnetic Field Magnetics | I. E. Irodov Solutions for Physics Class 11 & Class 12 - JEE

Irodov Solutions: Constant Magnetic Field Magnetics | I. E. Irodov Solutions for Physics Class 11 & Class 12 - JEE

Atomic weight of Na being 23 and its density ≈ 1, molar volume is 23 c.c. Thus number o f atoms per unit volume is Irodov Solutions: Constant Magnetic Field Magnetics | I. E. Irodov Solutions for Physics Class 11 & Class 12 - JEE

Thus there is almost one conduction electron per atom.'


Q. 268. Find the mobility of the conduction electrons in a copper conductor if in Hall effect measurements performed in the magnetic field of induction B = 100 mT the transverse electric field strength of the given conductor turned out to be η = 3.1.103  times less than that of the longitudinal electric field. 

Solution. 268. By definition, mobility =  Irodov Solutions: Constant Magnetic Field Magnetics | I. E. Irodov Solutions for Physics Class 11 & Class 12 - JEE

On other hand,

Irodov Solutions: Constant Magnetic Field Magnetics | I. E. Irodov Solutions for Physics Class 11 & Class 12 - JEEIrodov Solutions: Constant Magnetic Field Magnetics | I. E. Irodov Solutions for Physics Class 11 & Class 12 - JEE


Q. 269. A small current-carrying loop is located at a distance r from a long straight conductor with current I. The magnetic moment of the loop is equal to pm. Find the magnitude and direction of the force vector applied to the loop if the vector pm
 (a) is parallel to the straight conductor;
 (b) is oriented along the radius vector r;
 (c) coincides in direction with the magnetic field produced by the current I at the point where the loop is located. 

Solution. 269. Due to the straight conductor,  Irodov Solutions: Constant Magnetic Field Magnetics | I. E. Irodov Solutions for Physics Class 11 & Class 12 - JEE

We use the formula,  Irodov Solutions: Constant Magnetic Field Magnetics | I. E. Irodov Solutions for Physics Class 11 & Class 12 - JEE

(a) The vector  Irodov Solutions: Constant Magnetic Field Magnetics | I. E. Irodov Solutions for Physics Class 11 & Class 12 - JEE is parallel to the straight conductor.

Irodov Solutions: Constant Magnetic Field Magnetics | I. E. Irodov Solutions for Physics Class 11 & Class 12 - JEE

because neither the direction nor the magnitude of   Irodov Solutions: Constant Magnetic Field Magnetics | I. E. Irodov Solutions for Physics Class 11 & Class 12 - JEE depends on z

(b) The vector  Irodov Solutions: Constant Magnetic Field Magnetics | I. E. Irodov Solutions for Physics Class 11 & Class 12 - JEE is oriented along the radius vector Irodov Solutions: Constant Magnetic Field Magnetics | I. E. Irodov Solutions for Physics Class 11 & Class 12 - JEE

Irodov Solutions: Constant Magnetic Field Magnetics | I. E. Irodov Solutions for Physics Class 11 & Class 12 - JEE

The direction of  Irodov Solutions: Constant Magnetic Field Magnetics | I. E. Irodov Solutions for Physics Class 11 & Class 12 - JEE is parallel to the direction at r. Thus only the cp component of Irodov Solutions: Constant Magnetic Field Magnetics | I. E. Irodov Solutions for Physics Class 11 & Class 12 - JEE survive.

Irodov Solutions: Constant Magnetic Field Magnetics | I. E. Irodov Solutions for Physics Class 11 & Class 12 - JEE

(c) The vector Irodov Solutions: Constant Magnetic Field Magnetics | I. E. Irodov Solutions for Physics Class 11 & Class 12 - JEE coincides in direction with the m agnetic field, produced by the conductor carrying current I

Irodov Solutions: Constant Magnetic Field Magnetics | I. E. Irodov Solutions for Physics Class 11 & Class 12 - JEE

So,  Irodov Solutions: Constant Magnetic Field Magnetics | I. E. Irodov Solutions for Physics Class 11 & Class 12 - JEE


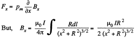
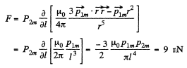
Q. 270. A small current-carrying coil having a magnetic moment pm  is located at the axis of a round loop of radius R with current I flowing through it. Find the magnitude of the vector force applied to the coil if its distance from the centre of the loop is equal to x and the vector pm, coincides in direction with the axis of the loop. 

Solution. 270.

Irodov Solutions: Constant Magnetic Field Magnetics | I. E. Irodov Solutions for Physics Class 11 & Class 12 - JEE

Irodov Solutions: Constant Magnetic Field Magnetics | I. E. Irodov Solutions for Physics Class 11 & Class 12 - JEE

Irodov Solutions: Constant Magnetic Field Magnetics | I. E. Irodov Solutions for Physics Class 11 & Class 12 - JEE


Q. 271. Find the interaction force of two coils with magnetic moments p1m = 4.0 mA• m2 and p2m = 6.0 mA• m2 and collinear axes if the separation between the coils is equal to l = 20 cm which exceeds considerably their linear dimensions. 

Solution. 271.

Irodov Solutions: Constant Magnetic Field Magnetics | I. E. Irodov Solutions for Physics Class 11 & Class 12 - JEE


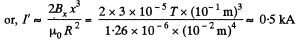
Q. 272. A permanent magnet has the shape of a sufficiently thin disc magnetized along its axis. The radius of the disc is R = 1.0 cm. Evaluate the magnitude of a molecular current I' flowing along the rim of the disc if the magnetic induction at the point on the axis of the disc, lying at a distance x = 10 cm from its centre, is equal to B = 30 μT. 

Solution. 272. From Q. 270, For x >> R, 

Irodov Solutions: Constant Magnetic Field Magnetics | I. E. Irodov Solutions for Physics Class 11 & Class 12 - JEE

Irodov Solutions: Constant Magnetic Field Magnetics | I. E. Irodov Solutions for Physics Class 11 & Class 12 - JEE


Q. 273. The magnetic induction in vacuum at a plane surface of a uniform isotropic magnetic is equal to B, the vector B forming an angle a with the normal of the surface. The permeability of the magnetic is equal to μ. Find the magnitude of the magnetic induction B' in the magnetic in the vicinity of its surface. 

Solution. 273.

Irodov Solutions: Constant Magnetic Field Magnetics | I. E. Irodov Solutions for Physics Class 11 & Class 12 - JEE

Irodov Solutions: Constant Magnetic Field Magnetics | I. E. Irodov Solutions for Physics Class 11 & Class 12 - JEE

so, 

Irodov Solutions: Constant Magnetic Field Magnetics | I. E. Irodov Solutions for Physics Class 11 & Class 12 - JEE


Q. 274. The magnetic induction in vacuum at a plane surface of a magnetic is equal to B and the vector B forms an angle θ with the normal n of the surface (Fig. 3.74). The permeability of the magnetic is equal to R. Find:
 (a) the flux of the vector H through the spherical surface S of radius R, whose centre lies on the surface of the magnetic;
 (b) the circulation of the vector B around the square path 
Irodov Solutions: Constant Magnetic Field Magnetics | I. E. Irodov Solutions for Physics Class 11 & Class 12 - JEE side l located as shown in the figure. 

Irodov Solutions: Constant Magnetic Field Magnetics | I. E. Irodov Solutions for Physics Class 11 & Class 12 - JEE

Solution. 274. 

Irodov Solutions: Constant Magnetic Field Magnetics | I. E. Irodov Solutions for Physics Class 11 & Class 12 - JEEIrodov Solutions: Constant Magnetic Field Magnetics | I. E. Irodov Solutions for Physics Class 11 & Class 12 - JEE

Irodov Solutions: Constant Magnetic Field Magnetics | I. E. Irodov Solutions for Physics Class 11 & Class 12 - JEE so, nonvanishing only in the bottom half of the spare.

 Irodov Solutions: Constant Magnetic Field Magnetics | I. E. Irodov Solutions for Physics Class 11 & Class 12 - JEE

Irodov Solutions: Constant Magnetic Field Magnetics | I. E. Irodov Solutions for Physics Class 11 & Class 12 - JEE

Irodov Solutions: Constant Magnetic Field Magnetics | I. E. Irodov Solutions for Physics Class 11 & Class 12 - JEE

Only Jn contributes the surface integral and

Irodov Solutions: Constant Magnetic Field Magnetics | I. E. Irodov Solutions for Physics Class 11 & Class 12 - JEE

Irodov Solutions: Constant Magnetic Field Magnetics | I. E. Irodov Solutions for Physics Class 11 & Class 12 - JEE


Q. 275. A direct current I flows in a long round uniform cylindrical wire made of paramagnetic with susceptibility χ. Find:
 (a) the surface molecular current I's;
 (b) the volume molecular current I'v.
 How are these currents directed toward each other? 

Solution. 275. Inside the cylindrical wire there is an external current of density  Irodov Solutions: Constant Magnetic Field Magnetics | I. E. Irodov Solutions for Physics Class 11 & Class 12 - JEE This gives a magnetic  field Hφ with

Irodov Solutions: Constant Magnetic Field Magnetics | I. E. Irodov Solutions for Physics Class 11 & Class 12 - JEE

From this  Irodov Solutions: Constant Magnetic Field Magnetics | I. E. Irodov Solutions for Physics Class 11 & Class 12 - JEE

Hence total volume molecular current is,

Irodov Solutions: Constant Magnetic Field Magnetics | I. E. Irodov Solutions for Physics Class 11 & Class 12 - JEE

The surface current is obtained by using the equivalence of the surface current density to Irodov Solutions: Constant Magnetic Field Magnetics | I. E. Irodov Solutions for Physics Class 11 & Class 12 - JEE this gives rise to a surface current density in the z-direction of Irodov Solutions: Constant Magnetic Field Magnetics | I. E. Irodov Solutions for Physics Class 11 & Class 12 - JEE

The total molecular surface current is,

Irodov Solutions: Constant Magnetic Field Magnetics | I. E. Irodov Solutions for Physics Class 11 & Class 12 - JEE

The two currents have opposite signs.


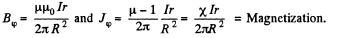
Q. 276. Half of an infinitely long straight current-carrying solenoid is filled with magnetic substance as shown in Fig. 3.75. Draw the approximate plots of magnetic induction B, strength H, and magnetization I on the axis as functions of x. 

Irodov Solutions: Constant Magnetic Field Magnetics | I. E. Irodov Solutions for Physics Class 11 & Class 12 - JEE

Solution. 276. We can obtain the form of the curves, required here, by qualitative arguments.

From  Irodov Solutions: Constant Magnetic Field Magnetics | I. E. Irodov Solutions for Physics Class 11 & Class 12 - JEE

we get  Irodov Solutions: Constant Magnetic Field Magnetics | I. E. Irodov Solutions for Physics Class 11 & Class 12 - JEE

Then  Irodov Solutions: Constant Magnetic Field Magnetics | I. E. Irodov Solutions for Physics Class 11 & Class 12 - JEE
Irodov Solutions: Constant Magnetic Field Magnetics | I. E. Irodov Solutions for Physics Class 11 & Class 12 - JEE

Also, Irodov Solutions: Constant Magnetic Field Magnetics | I. E. Irodov Solutions for Physics Class 11 & Class 12 - JEE

Irodov Solutions: Constant Magnetic Field Magnetics | I. E. Irodov Solutions for Physics Class 11 & Class 12 - JEE

B is continuous at x = 0, H is not These give the required curves as shown in the answer-sheet.


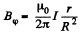
Q. 277. An infinitely long wire with a current I flowing in it is located in the boundary plane between two non-conducting media with permeabilities µ1 and µ2. Find the modulus of the magnetic induction vector throughout the space as a function of the distance r from the wire. It should be borne in mind that the lines of the vector B are circles whose centres lie on the axis of the wire

Solution. 277. The lines of the B as well as H field are circles around the wire. Thus

Irodov Solutions: Constant Magnetic Field Magnetics | I. E. Irodov Solutions for Physics Class 11 & Class 12 - JEE

Irodov Solutions: Constant Magnetic Field Magnetics | I. E. Irodov Solutions for Physics Class 11 & Class 12 - JEE


Q. 278. A round current-carrying loop lies in the plane boundary between magnetic and vacuum. The permeability of the magnetic is equal to R. Find the magnetic induction B at an arbitrary point on the axis of the loop if in the absence of the magnetic the magnetic induction at the same point becomes equal to B0. Generalize the obtained result to all points of the field. 

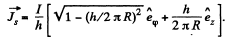
Solution. 278. The medium I is vacuum and contains a circular current carrying coil with current l. The medium II is a magnetic with permeability μ. The boundary is the plane z = 0 and the coil is in the plane z = l.To find the magnetic induction, we note that the effect of the magnetic medium can be written as due to an image coil in II as far as the medium I is concerned. On the other hand, the induction in II can be written as due to the coil in I, carrying a different current. It is sufficient to consider the far away fields and ensure that the boundary conditions are satisfied there. Now for actual coil in medium l,

Irodov Solutions: Constant Magnetic Field Magnetics | I. E. Irodov Solutions for Physics Class 11 & Class 12 - JEE

Irodov Solutions: Constant Magnetic Field Magnetics | I. E. Irodov Solutions for Physics Class 11 & Class 12 - JEE

so, Irodov Solutions: Constant Magnetic Field Magnetics | I. E. Irodov Solutions for Physics Class 11 & Class 12 - JEE

where  pm = I (π a2), a = radius of the coil.

Similarly due to the image coil,

Irodov Solutions: Constant Magnetic Field Magnetics | I. E. Irodov Solutions for Physics Class 11 & Class 12 - JEEIrodov Solutions: Constant Magnetic Field Magnetics | I. E. Irodov Solutions for Physics Class 11 & Class 12 - JEE

As far as the medium II is concerned, we write similarly

Irodov Solutions: Constant Magnetic Field Magnetics | I. E. Irodov Solutions for Physics Class 11 & Class 12 - JEEIrodov Solutions: Constant Magnetic Field Magnetics | I. E. Irodov Solutions for Physics Class 11 & Class 12 - JEE

The boundary conditions are,  Irodov Solutions: Constant Magnetic Field Magnetics | I. E. Irodov Solutions for Physics Class 11 & Class 12 - JEE

Irodov Solutions: Constant Magnetic Field Magnetics | I. E. Irodov Solutions for Physics Class 11 & Class 12 - JEE

Thus,  Irodov Solutions: Constant Magnetic Field Magnetics | I. E. Irodov Solutions for Physics Class 11 & Class 12 - JEE

In the limit, when the coil is on the boundary, the magnetic field enverywhere can be  obtained by takin g the current to be  Irodov Solutions: Constant Magnetic Field Magnetics | I. E. Irodov Solutions for Physics Class 11 & Class 12 - JEE


Q. 279. When a ball made of uniform magnetic is introduced into an external uniform magnetic field with induction B0, it gets uniformly magnetized. Find the magnetic induction B inside the ball with permeability μ; recall that the magnetic field inside a uniformly mag netized ball is uniform and its strength is equal to H' = — J/3, where J is the magnetization. 

Solution. 279. We use the fact that with in an isolated uniformly magnetized ball,

Irodov Solutions: Constant Magnetic Field Magnetics | I. E. Irodov Solutions for Physics Class 11 & Class 12 - JEE the m a gn etiza tion vector. Then in a uniformmagnetic  field with induction  Irodov Solutions: Constant Magnetic Field Magnetics | I. E. Irodov Solutions for Physics Class 11 & Class 12 - JEE we have by superposition, Irodov Solutions: Constant Magnetic Field Magnetics | I. E. Irodov Solutions for Physics Class 11 & Class 12 - JEE

Irodov Solutions: Constant Magnetic Field Magnetics | I. E. Irodov Solutions for Physics Class 11 & Class 12 - JEE


Q. 280. N = 300 turns of thin wire are uniformly wound on a permanent magnet shaped as a cylinder whose length is equal to l = 15 cm. When a current I = 3.0 A was passed through the wiring the field outside the magnet disappeared. Find the coercive force Hc of the material from which the magnet was manufactured.

Solution. 280. The coercive force Hc is just the magnetic field within the cylinder. This is by circulation theorem,  Irodov Solutions: Constant Magnetic Field Magnetics | I. E. Irodov Solutions for Physics Class 11 & Class 12 - JEE

Irodov Solutions: Constant Magnetic Field Magnetics | I. E. Irodov Solutions for Physics Class 11 & Class 12 - JEE  total current, considering a rectangular contour.)


Q. 281. A permanent magnet is shaped as a ring with a narrow gap between the poles. The mean diameter of the ring equals d = 20 cm. The width of the gap is equal to b = 2.0 mm and the magnetic induction in the gap is equal to B. = 40 mT. Assuming that the scattering of the magnetic flux at the gap edges is negligible, find the modulus of the magnetic field strength vector inside the magnet.

Solution. 281. We use,  Irodov Solutions: Constant Magnetic Field Magnetics | I. E. Irodov Solutions for Physics Class 11 & Class 12 - JEE

Irodov Solutions: Constant Magnetic Field Magnetics | I. E. Irodov Solutions for Physics Class 11 & Class 12 - JEE

Neglecting the fringing of the lines of force, we write this as

Irodov Solutions: Constant Magnetic Field Magnetics | I. E. Irodov Solutions for Physics Class 11 & Class 12 - JEE

or,  Irodov Solutions: Constant Magnetic Field Magnetics | I. E. Irodov Solutions for Physics Class 11 & Class 12 - JEE

The sense of H is opposite to B


Q. 282. An iron core shaped as a tore with mean radius R = 250 mm supports a winding with the total number of turns N = 1000. The core has a cross-cut of width b = 1.00 mm. With a current I = 0.85 A flowing through the winding, the magnetic induction in the gap is equal to B = 0.75 T. Assuming the scattering of the magnetic flux at the gap edges to be negligible, find the permeability of iron under these conditions. 

Solution. 282. Here,   Irodov Solutions: Constant Magnetic Field Magnetics | I. E. Irodov Solutions for Physics Class 11 & Class 12 - JEEIrodov Solutions: Constant Magnetic Field Magnetics | I. E. Irodov Solutions for Physics Class 11 & Class 12 - JEE

Hence,  Irodov Solutions: Constant Magnetic Field Magnetics | I. E. Irodov Solutions for Physics Class 11 & Class 12 - JEE


Q. 283. Fig. 3.76 illustrates a basic magnetization curve of iron (commercial purity grade). Using this plot, draw the permeability μ. as a function of the magnetic field strength H. At what value of H is the permeability the greatest? What is μmax, equal to? 

Irodov Solutions: Constant Magnetic Field Magnetics | I. E. Irodov Solutions for Physics Class 11 & Class 12 - JEE

Solution. 283. One has to draw the graph of  Irodov Solutions: Constant Magnetic Field Magnetics | I. E. Irodov Solutions for Physics Class 11 & Class 12 - JEE versus H from the given graph. The μ - H graph starts out horizon tally, and then rises steeply at about H = 0.04 k A / m before falling agian. Irodov Solutions: Constant Magnetic Field Magnetics | I. E. Irodov Solutions for Physics Class 11 & Class 12 - JEE


Q. 284. A thin iron ring with mean diameter d = 50 cm supports a winding consisting of N = 800 turns carrying current I = 3.0 A. The ring has a cross-cut of width b = 2.0 mm. Neglecting the scattering of the magnetic flux at the gap edges, and using the plot shown in Fig. 3.76, find the permeability of iron under these conditions.

Irodov Solutions: Constant Magnetic Field Magnetics | I. E. Irodov Solutions for Physics Class 11 & Class 12 - JEE

Solution. 284. From the theorem on circulation of vector  Irodov Solutions: Constant Magnetic Field Magnetics | I. E. Irodov Solutions for Physics Class 11 & Class 12 - JEE

Irodov Solutions: Constant Magnetic Field Magnetics | I. E. Irodov Solutions for Physics Class 11 & Class 12 - JEEIrodov Solutions: Constant Magnetic Field Magnetics | I. E. Irodov Solutions for Physics Class 11 & Class 12 - JEE

where B is in Tesla and H in kA/m. Besides, B and H are interrelated as in the Fig. 3.76 of the text. Thus we have to solve for B, H graphically by simultaneously drawing the two curves (the hysterisis curve and the straight line, given above) and find the point of intersection. It is at

Irodov Solutions: Constant Magnetic Field Magnetics | I. E. Irodov Solutions for Physics Class 11 & Class 12 - JEE

Then,

Irodov Solutions: Constant Magnetic Field Magnetics | I. E. Irodov Solutions for Physics Class 11 & Class 12 - JEE


Q. 285. A long thin cylindrical rod made of paramagnetic with magnetic susceptibility χ and having a cross-sectional area S is located along the axis of a current-carrying coil. One end of the rod is located at the coil centre where the magnetic induction is equal to B whereas the other end is located in the region where the magnetic field is practically absent. What is the force that the coil exerts on the rod? 

Solution. 285. From the formula, Irodov Solutions: Constant Magnetic Field Magnetics | I. E. Irodov Solutions for Physics Class 11 & Class 12 - JEE

Thus  Irodov Solutions: Constant Magnetic Field Magnetics | I. E. Irodov Solutions for Physics Class 11 & Class 12 - JEE

or since  Irodov Solutions: Constant Magnetic Field Magnetics | I. E. Irodov Solutions for Physics Class 11 & Class 12 - JEE predominantly along the x-axis,

Irodov Solutions: Constant Magnetic Field Magnetics | I. E. Irodov Solutions for Physics Class 11 & Class 12 - JEEIrodov Solutions: Constant Magnetic Field Magnetics | I. E. Irodov Solutions for Physics Class 11 & Class 12 - JEE


Q. 286. In the arrangement shown in Fig. 3.77 it is possible to measure (by means of a balance) the force with which a paramagnetic ball of volume V = 41 mm3 is attrabted to a pole of the electromagnet M. The magnetic induction at the axis of the poleshoe depends on the height x as B = B0 exp (—ax2), where B0  = 1.50 T, a = 100 m-2 . Find:
 (a) at what height xn., the ball experiences the maximum attraction;
 (b) the magnetic susceptibility of the paramagnetic if the maximum attraction force equals Fmax  =1 60 μN. 

Irodov Solutions: Constant Magnetic Field Magnetics | I. E. Irodov Solutions for Physics Class 11 & Class 12 - JEE

Solution. 286. The force in question is,

Irodov Solutions: Constant Magnetic Field Magnetics | I. E. Irodov Solutions for Physics Class 11 & Class 12 - JEE

since B is essentially in the x-direction,

So,  Irodov Solutions: Constant Magnetic Field Magnetics | I. E. Irodov Solutions for Physics Class 11 & Class 12 - JEE

This is maximum when its derivative vanishes 

i.e.  Irodov Solutions: Constant Magnetic Field Magnetics | I. E. Irodov Solutions for Physics Class 11 & Class 12 - JEE

The maximum force is

Irodov Solutions: Constant Magnetic Field Magnetics | I. E. Irodov Solutions for Physics Class 11 & Class 12 - JEE

So,   Irodov Solutions: Constant Magnetic Field Magnetics | I. E. Irodov Solutions for Physics Class 11 & Class 12 - JEE


Q. 287. A small ball of volume V made of paramagnetic with susceptibility χ was slowly displaced along the axis of a current-carrying coil from the point where the magnetic induction equals B out to the region where the magnetic field is practically absent. What amount of work was performed during this process? 

Solution. 287. 

Irodov Solutions: Constant Magnetic Field Magnetics | I. E. Irodov Solutions for Physics Class 11 & Class 12 - JEE

This force is attractive and an equal force must be applied for balance. The work done by applied forces is,

Irodov Solutions: Constant Magnetic Field Magnetics | I. E. Irodov Solutions for Physics Class 11 & Class 12 - JEE

The document Irodov Solutions: Constant Magnetic Field Magnetics | I. E. Irodov Solutions for Physics Class 11 & Class 12 - JEE is a part of the JEE Course I. E. Irodov Solutions for Physics Class 11 & Class 12.
All you need of JEE at this link: JEE
88 docs

FAQs on Irodov Solutions: Constant Magnetic Field Magnetics - I. E. Irodov Solutions for Physics Class 11 & Class 12 - JEE

1. What is a constant magnetic field?
Ans. A constant magnetic field refers to a magnetic field that does not change in magnitude or direction over time. It remains constant and uniform throughout a given region.
2. How is a constant magnetic field created?
Ans. A constant magnetic field can be created using a permanent magnet or by passing a direct current (DC) through a coil of wire, also known as an electromagnet.
3. What are the applications of a constant magnetic field?
Ans. Constant magnetic fields have various applications, such as in magnetic resonance imaging (MRI) machines, particle accelerators, electric motors, and magnetic levitation systems.
4. How does a constant magnetic field affect charged particles?
Ans. A constant magnetic field exerts a force on charged particles moving through it, causing them to experience a circular motion perpendicular to the direction of the field. This phenomenon is known as the Lorentz force.
5. Can a constant magnetic field be shielded or blocked?
Ans. Yes, a constant magnetic field can be shielded or blocked using materials with high magnetic permeability, such as certain alloys or mu-metal. These materials redirect the magnetic field lines, preventing them from reaching the desired region.
Related Searches

video lectures

,

Viva Questions

,

pdf

,

Exam

,

mock tests for examination

,

Irodov Solutions: Constant Magnetic Field Magnetics | I. E. Irodov Solutions for Physics Class 11 & Class 12 - JEE

,

shortcuts and tricks

,

Irodov Solutions: Constant Magnetic Field Magnetics | I. E. Irodov Solutions for Physics Class 11 & Class 12 - JEE

,

Sample Paper

,

Summary

,

ppt

,

study material

,

Previous Year Questions with Solutions

,

Objective type Questions

,

Extra Questions

,

practice quizzes

,

MCQs

,

Irodov Solutions: Constant Magnetic Field Magnetics | I. E. Irodov Solutions for Physics Class 11 & Class 12 - JEE

,

Free

,

past year papers

,

Important questions

,

Semester Notes

;