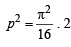
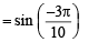
Q. 1. If
and
find the possible values of (α + β). (1978)
Ans.
Sol. We know tan 


2. (a) Draw the graph of y =
(sinx + cosx) from x =
to 
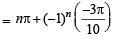
(b) If cos
and α, β lies between 0 and
, find tan2α. (1979)
Ans.
Sol. (a) Given:
(sinx + cosx) sin
...(1)
Now, to draw the graph of
we first draw
the graph of y = sin x and then on shifting it by
we will obtain the required graph as shown in figure given below.

(b) 



∴ tan 2α = tan [(α + β) + (α - β) ]


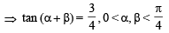
3. Given α + β - γ = π, prove that
(1980)
Ans.
Sol. Given α + β - γ = π and to prove that
sin2 α + sin2β - sin2γ = 2sinα sinβ cosγ
L.H.S. = sin2α + sin2β - sin2γ
[Using sin2α - sin2β = sin (A + B) sin (A - B)]
= sin2α + sin(β + γ) sin (β - γ)
= sin2α + sin(β + γ) sin (p - α) (∵ α + β - γ = π)
= sin2α + sin(β + γ) sinα
= sinα (sinα + sin(β + γ))
= sinα [sin [π - (β - γ)] + sin(β + γ)]
= sinα [sin(β - γ) + sin(β + γ)]
= sinα [2 sinβ cosγ] = 2 sinα sinβ cosγ = R.H.S.
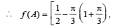
4. Given
and f (x) = cos x - x (1 + x); find f (A). (1980)
Ans.
Sol.

f (x) = cos x - x (1+ x)
f '(x) = - sin x - 1- 2x < 0, ∀ x∈A
∴ f is a decreasing function.





5. For all θ in [0, π/ 2] show that, cos (sinθ) ≥ sin (cos q) . (1981 - 4 Marks)
Ans. Sol. We have
cosθ + sinθ 



∴ cosθ + sinθ <π/ 2 ⇒ cosθ < π/ 2 - sinθ ...(1)
As q ∈ [0,π / 2] in which sinθ increases.
∴ Taking sin on both sides of eq. (1), we get
sin (cosθ ) < sin ( π /2 -sinθ )
sin (cosθ ) < cos (sinθ )
⇒ cos (sinθ ) > sin (cosθ ) ....(1)
Hence the result.
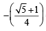
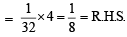
6. Without using tables, prove that
(sin 12°) (sin 48°) (sin 54°) =
(1982 - 2 Marks)
Ans. Sol. L.H.S. = sin 12° sin 48° sin 54° =
[2 sin 12° cos 42°] sin 54°


Now we know that sin 54°
∴ We get, = 



7. Show that 16cos
(1983 - 2 Marks)
Ans. Sol. We know that,
cos A cos 2A cos 4A . . . . cos 2n



(where A = 2π/15)



8. Find all the solution of 4 cos 2 x sin x - 2 sin2 x= 3 sinx (1983 - 2 Marks)
Ans. Sol. Given eq. is,
4 cos2 x sin x - 2 sin2 x = 3 sin x
⇒ 4 cos2 x sin x - 2 sin2 x - 3 sin x = 0
⇒ 4 (1 - sin2 x) sin x - 2 sin2 x - 3 sin x = 0
⇒ sin x [ 4 sin2 x + 2 sin x - 1] = 0
⇒ either sin x = 0 or 4 sin2 x + 2 sin x - 1 = 0
If sin x = 0 ⇒ x = np
⇒ If 4 sin2 x + 2 sin x - 1 = 0 ⇒ sin x = 
If sin x =
then 
If sin x =
= sin(-540) 
then x 
Hence, 

where n is some integer
9. Find the values of x∈(-π, +π) which satisfy the equation
(1984 - 2 Marks)
Ans. Sol. The given equation is




NOTE THIS STEP

The values of
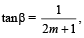
10. Prove that tanα + 2 tan 2α + 4 tan 4α + 8 cot 8α = cotα (1988 - 2 Marks)
Ans. Sol. We know that tan 
⇒ cot α - tan α = 2 cot 2α
Now we have to prove
tanα + 2 tan 2α + 4 tan 4α + 8 cot 8α = cot α
LHS
tan α + 2 tan 2α + 4 tan 4α + 4 (2 cot 2 . 4α)
= tan α + 2 tan 2α + 4 tan 4α + 4 (cot 4α - tan 4α) [Using (1)]
= tan α + 2 tan 2α + 4 tan 4α + 4 cot 4α - 4 tan 4α
= tan α + 2 tan 2α + 2 (2 cot 2. 2 a )
= tan α + 2 tan 2α + 2 (cot α - tan 2α)
= tan α + 2 tan 2α + 2 (2 cot 2α-tan 2α ) [Using (1)]
= tan α + 2 cot 2α
= tan α + (cot α-tan α) [Using (1)]
= cot α = RHS.
11. ABC is a triangle such that sin(2A + B) = sin (C - A) = - sin (B + 2C) = 
If A, B and C are in arithmetic progression, determine the values of A, B and C. (1990 - 5 Marks)
Ans. Sol. Given that in ΔABC, A, B and C are in A.P.
∴ A + C = 2B
also A + B + C = 180° ⇒ B + 2B = 180° ⇒ B = 60°
Also given that, sin (2A + B) = sin (C - A) = - sin (B + 2C) =
⇒ sin (2A + 60°) = sin (C - A) = - sin (60 + 2C) =
..(1)
From eq. (1), we have
sin (2A + 60°) =
⇒ 2A + 60° = 30° , 150°
but A can not be -ve
∴ 2A + 60° = 150° ⇒ 2A = 90 ° ⇒ A = 45°
Again from (1) sin (60° + 2C) = -
⇒ 60° + 2C = 210° or 330°
⇒ C = 75° or 135°
Also from (1) sin (C - A) =
⇒ C - A = 30°, 150°
For A = 45°, C =75° or 195° (not possible) ∴ C = 75°
Hence we have A = 45° , B = 60°, C = 75°
12. If exp {(sin2x + sin4x + sin6x + ............... ∞ ) In 2} satisfies the equation x2- 9x + 8 = 0, find the value of
(1991 - 4 Marks)
Ans. Sol. Let y = exp [sin2 x +sin4 x +sin6 x + . . . . ∞ ] ln 2



As y satisfies the eq.
x2 - 9x + 8 = 0 ∴ y2 - 9y + 8 = 0
⇒ (y - 1) (y - 8) = 0 ⇒ y = 1, 8

⇒ tan 2 x = 0 or tan 2x = 3
⇒ tan x = 0 or
⇒ x = 0 or x = π/3, 2 π/3
But given that 0 < x < π/2 ⇒ x = π/3
Hence 

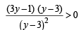
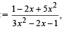
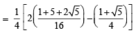
13. Show that the value of
wherever defined never lies between
and 3. (1992 - 4 Marks)
Ans.
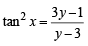
Sol.
Let

⇒ 3y - 3 tan2 x = 1- 3 tan2 x
⇒ (y - 3) tan2 x = 3y - 1 ⇒ 
(L.H.S. being a prefect square)
⇒
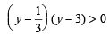
⇒ (3y - 1) (y - 3)>0


Thus y never lies between
and 3
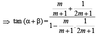
14. Determine the smallest positive value of x (in degrees) for which tan(x + 100°) = tan (x + 50°) tan(x) tan (x - 50°). (1993 - 5 Marks)
Ans. Sol. Given that, tan (x + 100°) = tan (x + 50°) tan x tan (x - 50°)
⇒
tan (x + 50°) tan (x - 50°)
⇒

⇒

Applying componendo and dividendo, we get
⇒
⇒ 2 sin (2x + 100°) cos 2x = - 2 sin 100° cos 100°
⇒ sin (4x + 100°) + sin 100° = - sin 200°
⇒ sin (4x + 10° + 90°) + sin (90° + 10°) = - sin (180 + 20°)
⇒ cos (4x + 10°) + cos 10° = sin 20°
⇒ cos (4x + 10°) = sin 20° - cos 10°
⇒ cos (4x + 10°) = sin 20° - sin 80°
= - 2 cos 50° sin 30° = - 2 cos 50°.
= -cos 50° = cos 130°
⇒ 4x + 10° = 130° ⇒ x = 30°
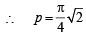
15. Find the smallest positive number p for which the equation cos(p sin x) = sin(p cos x) has a solution x ∈ [0,2π]. (1995 - 5 Marks)
Ans.
Sol. Given that cosθ = sin φ
where θ = p sin x, φ = p cos x
Above is possible when both
or 
∴ p sin x =
or p sin x = 
and p cos x =
or p cos x = 
Squaring and adding, 

only for least positive value or 
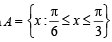
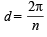
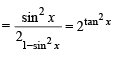
16. Find all values of θ in the interval
satisfying the equation (1996 - 2 Marks)
Ans.
Sol. Given :

or 
Let us put tan2 θ = t
∴ (1- t) ( 1 + t) + 2t = 0 or 1- t2 + 2t = 0
It is clearly satisfied by t = 3.
as - 8 + 8 = 0 ∴ tan2 θ = 3
∴ p = ± π/3 in the given interval.
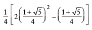
17. Prove that the values of the function
do not lie between
and 3 for any real x. (1997 - 5 Marks)
Ans.
Sol. Let 
We have 

(the expression is not defined if tan x = 0)
⇒ 3y - (tan2 x) y = 1- 3 tan2 x ⇒ 3y - 1= (y - 3) tan2 x
⇒ 
Since tan2 x > 0, we get (3y - 1) (y - 3) > 0
⇒ 
or y > 3
This shows that y cannot lie between
and 3.
18. Prove that
where n ≥ 3 is an integer. (1997 - 5 Marks)
Ans.
Sol. Expanding the sigma on putting k = 1, 2, 3, ......, n
S = (n - 1) 
+ 1.cos (n - 1)
... (1)
We know that cosθ = cos (2π - θ)
Replacing each angle θ by 2π - θ in (1), we get
S = (n - 1) cos (n - 1)
+ (n - 2) cos (n - 2)
+ ......+ 1.cos
by (1) .....(2)
Add terms in (1) and (2) having the same angle and take n common
∴ 2S= 

Angles are in A.P. of 
NOTE THIS STEP= n .1 cosπ = - n ∵ sin (π - θ) = sinθ ∴ S = - n/2
19. In any triangle ABC, prove that (2000 - 3 Marks)


Ans. Sol. We have, A + B + C = π
⇒ 

or 
⇒ 
⇒ 

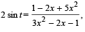
20. Find the range of values of t for which 
(2005 - 2 Marks)
Ans. Sol. Given that, 2 sin t
t ∈ [-π/ 2,π/ 2]
This can be written as
(6 sin t - 5) x2 + 2 (1- 2 sin t) x - (1+ 2 sin t) = 0
For given equation to hold, x should be some real number, therefore above equation should have real roots i.e., D ≥ 0
⇒ 4 (1- 2 sin t)2 + 4 (6 sin t - 5) (1+ 2 sin t) ≥ 0

⇒ 



or 
or 
(Note that sin x is an increasing function from -π/2 to π/2)
∴ range of t is 