Question.1 Give the names of the following functional groups:
(i) —OH (ii) —COOH
Ansswer. (i) Alcohol group (ii) Carboxylic acid group
Question.2 What is the difference in the molecular formula of any two consecutive members of a homologous series of organic compounds?
Answer. —CH2— is the difference in the molecular formula of any two consecutive members of a homologous series of organic compounds.
Question.3
(a) Give a chemical test to distinguish between saturated and unsaturated hydrocarbons.
(b) (i) Name the products formed when ethanol burns in air. ‘
(ii) What two forms of energy are liberated on burning alcohol?
(c) Why is the reaction between methane and chlorine considered a substitution
reaction?
Answer.


Question.4
(a) Why are covalent compounds generally poor conductors of electricity?
(b) Name the following compound:

(c) Name the gas evolved when ethanoic acid is added to sodium carbonate. How would you prove the presence of this gas?
Answer.

Question.5 Name the carbon compound which on heating with excess of concentrated sulphuric acid at 443 K gives ethene.
Answer.

Question.6 What is meant by a sturated hydrocarbon?
Answer. Those hydrocarbons in w hich valency of carbon is satisfied by single bonds only are called sturated hydrocarbons.
Question.7 Name the compound formed when ethanol is warmed with ethanoic acid in the
presence of a few drops of cone.H2S04
Answer.

Question.8 Draw the structure of CH3COOH molecule.
Answer.

Question.9 Draw the structure of ethanol molecule.
Answer.

Question.10 What happens when a small piece of sodium is dropped into ethanol?
Answer. Hydrogen gas will be evolved.

Question.11 What is meant by a functional group in an organic compound? Name the functional group present in
(i) CH3CH2OH
(ii) CH3COOH
(b) State one point of difference between soap and synthetic detergent.
Answer.
(a) Functional group is an atom or group of atoms or reactive part of compound, which determines chemical properties of compounds.
(i) —OH (Alcohol)
(ii) —COOH (Carboxylic acid)
(b) Soaps do not work well with hard water, detergents work well with hard water.
Question.12 Give reasons for the following observations:
(a) The element carbon forms a very large number of compounds.
(b) Air holes of a gas burner have to be adjusted when the heated vessels get blackened by the flame.
(c) Use of synthetic detergents causes pollution of water.
Answer.
(a) Carbon forms large number of compounds since carbon is small in size and can form stable covalent bonds (catenation) and it shows tetravalency.
(b) Air holes of gas burner are made open (adjusted) so that air can pass through, which is needed for complete combustion, so that heated vessels do not get blackened.
(c) Some synthetic detergents are non-biodegradable, therefore, cause pollution of water.
Question.13 What is ethanoic acid? Write the formula of the functional group present in this acid.
What special name is given to its 5 – 8% solution in water? How does ethanoic acid react with sodium carbonate? Write a chemical equation of the reaction and common name of the salt produced.
Answer.

Question.14 State two characteristic features of carbon which when put together give rise to large
number of carbon compounds.
Answer. (i) Catenation (ii) Tetravalency of carbon
Question.15 Write the structural formula of chloroethane.
Answer.

Question.16 Write the name and molecular formula of an organic compound having its name suffixed with ‘-ol and having two carbon atoms in the molecule. With the help of a
balanced chemical equation indicate what happens when it is heated with excess of r cone.H2S04.
Answer.

Question.17 Write the names and molecular formula of two organic compounds having functional r group suffixed as ‘-oic acid’. With the help of a balanced chemical equation and explain what happens when any one of them reacts with sodium hydroxide.
Answer.

Question.18 What is a homologous series? Which two of the following organic compounds belong
to the same homologous?
CH3 ,C2H6, C2H6O, C2H6O2,CH4O
Answer.

Question.19 Name the functional group of organic compounds that can be hydrogenated. With the help of suitable example explain the process of hydrogenation mentioning the conditions of the reaction and any one change in physical property with the formation of the product. Name any one natural source of organic compounds that are hydrogenated.
Answer.

When unsaturated hydrocarbons are heated with hydrogen in the presence of nickel as catalyst, saturated hydrocarbons are formed. If the starting unsaturated hydrocarbons are liquids, they will change into solids. Vegetable oils are hydrogenated to form vegetable ghee. Plants are natural sources of vegetable oils which can be hydrogenated.
Question.20 An ester has the molecular formula C4H8O2. Write its structural formula. What happens when this ester is heated in the presence of sodium hydroxide solution? Write the balanced chemical equation for the reaction and name the products. What is a saponification reaction?
Answer.

Question.21 An organic compound ‘A’ is an essential constituent of wine and beer. Oxidation of ‘A’ yields an organic acid ‘B’ which is present in vinegar. Name the compounds ‘A’ and ‘B’ and write their structural formula. What happens when ‘A’ and ‘B’ react in the presence of an acid catalyst? Write the chemical equation for the reaction.
Answer.

Question.22 What is ethanol? State its two properties. What happens when it is heated with excess of cone. H2SO4 at 443 K? What role does cone. H2SO4 play in this reaction? Write chemical equation of the reaction involved and the structural formula of the main product formed.
Answer.

Question.23 With the help of balanced chemical equations explain what happens when ethanol is heated with (i) alkaline solution of potassium permanganate, (ii) excess concentrated sulphuric acid at 443 K. Mention any two uses of ethanol.
Answer.

Question.24 How many covalent bonds are there in a molecule of ethane (C2H6)?
Answer. There are 7 covalent bonds in a molecule of ethane.
Question.25 Write the electron dot structure of ethene molecule (C2H4).
Answer.

Question.26 Write the electron dot structure of ethane molecule (C2H6).
Answer.

Question.27 Draw the structure of butanone molecule, CH3COC2H5.
Answer.

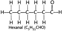
Question.28 Draw the structure of the hexanal molecule, C5H11CHO.
Answer.

Question.29 Butanone is a four carbon per molecule compound. Name the functional group present in it.
Answer. Ketone
Question.30 Name the following compound:

Answer. 1-Hexyne is IUPAC name of the compound.
Question.31 What is an ‘esterification’ reaction? Describe an activity to show esterification.
Answer.

Question.32 Out of HCI and CH3COOH, which one is a weak acid and why? Describe an activity to
support your answer.
Answer. Acetic acid ( CH3COOH) is a weaker acid because it does not dissociate completely into its ions in aqueous solution. .
Activity: Add zinc metal in HCI and CH3COOH respectively. The hydrogen gas will be evolved faster in HCI and slowly in CH3COOH. It shows acetic acid is a weak acid.
Alternative Method:
If we use pH paper, the colour of pH paper will be dark red in HCI and light red in CH3COOH which shows HCI is a strong acid and CH3COOH is a weak acid.
Question.33Write chemical equations for what happens when
(i) sodium metal is added to ethanoic acid.
(ii) solid sodium carbonate is added to ethanoic acid.
(iii) ethanoic acid reacts with a dilute solution of sodium hydroxide.
Answer.

Question.34 Describe two examples of different oxidations of ethanol. Name the products obtained in each case.
Answer.

Question.35 Write a chemical equation in each case to represent the following types of chemical reactions of organic compounds:
(i) Oxidation reactions
(ii) Addition reactions
(iii) Substitution reactions
Answer.


Question.36 (a) In tabular form, differentiate between ethanol and ethanoic acid under the following heads:
(i) Physical state (ii) Taste
(iii) NaHCO3 test (iV) Ester test
(b) Write a chemical reaction to show the dehydration of ethanol.
Answer.

Question.37 (a) State two properties of carbon which lead to a very large number of carbon compounds.
(b) Why does micelle formation take place when soap is added to water? Why are micelles not formed when soap is added to ethanol?
Answer.
(a) (i)-Catenation (ii) Tetravalency
(b) It is because large number of molecular ions of soaps get aggregated and form colloidal solution. Soap has hydrophobic tail (hydrocarbon) which dissolves in hydrocarbon part and hydrophilic part dissolves in water. Ethanol is non-polar solvent therefore micelles are not formed because hydrocarbon part gets attracted towards ethanol and ionic end will not dissolve in alcohol.
Question.38 Explain isomerism. State any four characteristics of isomers. Draw the structures of possible isomers of butane, C4H10
Answer. Isomerism is a phenomenon due to which some compounds have same molecular formula but different structural formulae.
Characteristics:
(i) They differ in structural formula.
(ii) They differ in melting point.
(iii) They differ in boiling point.
(iv) They differ in solubility in same solvent.

Question.39 Give reasons for the following:
(i)Element carbon forms compounds mainly by covalent bonding.
(ii)Diamond has a high melting point.
(iii)Graphite is a good conductor of electricity.
(iv)Acetylene bums with a sooty flame.
(v)Kerosene does not decolourise bromine water while cooking oils do.
Answer.
(i) It is because carbon has four valence electrons, it cannot gain or lose four electrons because high energy is needed. It can only share four electrons.
(ii) It is due to strong covalent bonds and compact structure of diamond.
(iii) It is due to presence of free electrons in graphite because each carbon is linked to three more carbon atoms.
(iv) It is due to high percentage of carbon, it burns with sooty or smoky flame.
(v) Kerosene oil is mixture of saturated hydrocarbons therefore does not decolourise bromine water.
Question.40 Name the functional group present in each of the following organic compounds:
(i) C2H5CI
(ii) C2H5OH
Answer.
(i) (—Cl) Halogen (Chloro)
(ii) (—OH) Alcohol
Question.41 Name the functional group present in each of the following compounds:
(i) HCOOH
(ii) C2H5CHO
Answer.
(i) —COOH (Carboxylic acid)
(ii) —CHO (Aldehyde)
Question.42 Name the functional group present in each of the following organic compounds:
(i)CH3COCH3
(ii) C2H5COOH
Answer.

Question.43 Write the name and formula of the second member of the carbon compounds having functional group —OH.
Answer.

Question.44 Write the name and formula of the first member of the carbon compounds having functional group —CHO.
Answer.

Question.45 Write the name and formula of the first member of the carbon compounds having functional group —COOH.
Answer.

Question.46 Write the name and formula of the 2nd member of the series of carbon compounds whose general formula is CnH2n 1OH
Answer. Ethanol, C2H5OH or CH3CH2OH
Question.47 Write the name and formula of the 2nd member of the series of carbon compounds whose general formula is CnH2n.
Answer.
C3H6, H2C=CH—CH3
Propene is second member of series whose general formula is CnH2n.
Question.48 What are isomers? Draw the structures of two isomers of butane, C4H10. Why can’t we have isomers of first three members of alkane series?
Answer. Those compounds, which have same molecular formula but different structural formulae are called isomers.

In first three members of alkane series, branching is not possible. Therefore, we cannot have isomers.
Question.49 Define homologous series of organic compounds. List its two characteristics. Write the name and formula of the first member of the series of alkenes.
Answer. The series of organic compounds having same functional group and similar chemical properties is called homologous series.
Each member differs from successive member by —CH2— group. The difference in molecular weight between two successive members is 14 u.
Characteristics:
(i) It has same general formula, from which, all members can be derived.
(ii) They have similar chemical properties.
C2H4, CH2=CH2, Ethene is first member of alkene series.
Question.50 Complete the following equations:

Answer.

Question.51 Why homologous series of carbon compounds are so called? Write chemical formula of two consecutive members of a homologous series and state the part of these compounds that determines their
(i) physical properties, and (ii) chemical properties.
Answer. The series consists of members of same family with similar physical and chemical properties, therefore, called homologous series
(i) CH3OH, and (ii) CH3CH2OH are two consecutive members of homologous series.
Alkyl group —CH3 and —CH3CH2 part determines physical properties. Functional group —OH determines chemical properties of the compounds.
Question.52 Name the oxidising agent used for the conversion of ethanol to ethanoic acid. Distinguish between ethanol and ethanoic acid on the basis of (i) litmus test, (ii) reaction with sodium hydrogencarbonate.
Answer. Alkaline potassium permanganate or Acidified potassium dichromate.
(i)Ethanol will not affect litmus paper. Ethanoic acid will turn blue litmus ‘ paper red.
(ii) Ethanol will not react with sodium hydrogen carbonate. Ethanoic acid will give brisk effervescence due to colourless, odourless carbon dioxide gas.
Question.53 Distinguish between esterification and saponification reactions of organic compounds with the help of the chemical equation for each. What is the use of (i) esters and (ii) saponification process?
Answer.

Question.54 What is the difference between the chemical composition of soaps and detergents? State in brief the action of soaps in removing an oily spot from a shirt. Why are soaps not considered suitable for washing where water is hard?
Answer. oaps are sodium or potassium salts of fatty acids having — COONa group. Detergents are
sodium or potassium salts of sulphonic acids having — SO3Na and — SO4Na group. Cleansing action of soap: Soap molecules consist of a large hydrocarbon tail which is hydrophobic (water-hating or water repelling) with a negatively charged head which is hydrophilic (water-loving) as shown in figure.

When a soap is dissolved in water, the molecules associate together as clusters called micelles in which water molecules, being polar in nature, surround the ions and the hydrocarbon part of the molecule attracts grease, oil and dirt.

Question.55 List in tabular form three physical and two chemical properties on the basis of which ethanol and ethanoic acid can be differentiated
Answer.

Question.56 What are the hydrocorbons write the name and general formula of (i) sturated hydrocarbons, (ii) unsaturated hydrocarbons, and draw the structure of one hydrocarbon of each type. How can an unsaturated hydrocarbon be made saturated?
Answer.


Question.57 What are detergents chemically? List two merits and two demerits of using detergents for cleansing. State the reason for the suitability of detergents for washing, even in the case of water having calcium and magnesium ions.
Answer. Detergents chemically are sodium or potassium salts of sulphonic acid of benzene or alkene.
Merits:
(i) They work well with hard water.
(ii) They are more effective than soaps.
Demerits:
(i) They are expensive.
(ii) Some of them having branching are non-biodegradable, therefore create water pollution.
Detergents are suitable for hard water having Mg2 and Ca2 ions because they do not form insoluble salts with Mg2 and Ca2 ions.