| Table of contents | |
| Finding Domain and Range - Worked Examples | |
| Different Types of Functions and Their Graphs | |
| Worked Examples (Range and Domain Problems) |
FUNCTIONS
A function is a relation that maps each element x of a set A to one and only one element y of another set B. In other words, it is a relation between a set of inputs and a set of outputs in which each input is related to a unique output. A function is a rule that relates an input to exactly one output.
It is a special type of relation. A relation f from a set A to a set B is said to be a function if every element of set A has one and only one image in set B. The set A is called the domain of f and the set B the codomain of f. The set of all actual images (outputs) of elements of A is called the range of f.
Definition: A function is a rule (or a set of rules) that associates each element of a non-empty set A with a unique element of a non-empty set B.
Representation: A function f : A → B is represented by f(a) = b such that for a ∈ A there is a unique element b ∈ B with (a, b) ∈ f.
Notation f(a) is read as "f of a" and represents the value of the image of a. The element b is the image of a under f, and a is a pre-image of b.
If sets A and B are subsets of the real numbers R, then f is called a real-valued function or a real function. If the domain is not explicitly given, it is taken as the largest set of real numbers for which the formula defining f(x) yields real values:
Domain(f) = { x ∈ R : f(x) is a real number }.
Note: Every function is a relation but every relation need not be a function.
Example: Let A = {1, 2, 3}.
R1 = {(1, 1), (2, 3), (3, 3)} is a function.
R2 = {(1, 1), (1, 2), (3, 2), (2, 1)} is not a function because element 1 in A is associated with two images, 1 and 2.

Ans. The function

is defined for x ≥ 5.
Therefore Domain = [5, ∞).
Also for any

we find the output values satisfy y ≥ 0.
Therefore Range = [0, ∞).
(i) x2 - 2x - 3


(iv) tan x
(v) tan-1 x
(vi) log10 x
(vii) sin x
Ans.
(i) Let y = x2 - 2x - 3 = (x - 1)2 - 4. The function is defined for all real numbers.
Therefore Domain = R.
Since the minimum value of (x - 1)2 is 0, the minimum value of y is -4 and y → ∞ as |x| → ∞.
Therefore Range = [-4, ∞).
(ii) Suppose the function has a square-root form requiring (x - 3)(x + 1) ≥ 0.
Solving gives x ≤ -1 or x ≥ 3.
Therefore Domain = (-∞, -1] ∪ [3, ∞).
Because the expression under the square-root is non-negative in the domain, Range = [0, ∞).
(iii) If the expression is defined for x ≥ 0, then Domain = [0, ∞).
Investigating the minimum value (given in the source) leads to Range = [-1, ∞).
(iv) f(x) = tan x = sin x / cos x is undefined where cos x = 0, i.e. at x = (2n + 1)π/2, n ∈ Z.
Therefore Domain = R \ { (2n + 1)π/2 : n ∈ Z }.
Range of tan x is R.
(v) f(x) = tan-1 x is defined for all real x.
Therefore Domain = R and Range = (-π/2, π/2).
(vi) f(x) = log10 x is defined for x > 0.
Therefore Domain = (0, ∞) and Range = R.
(vii) f(x) = sin x is defined for all real x.
Therefore Domain = R and since -1 ≤ sin x ≤ 1, Range = [-1, 1].
A function f : R → R is the identity function if f(x) = x for all x ∈ R. For a finite set A = {1, 2, 3}, the identity function IA : A → A is given by
IA = {(1,1), (2,2), (3,3)}.

The graph of the identity function is the straight line y = x through the origin; it makes an angle of 45° with both axes.
A function f : R → R is a constant function if f(x) = c for all x ∈ R, where c is a fixed real constant.
Example: f(x) = 4 for all x ∈ R. The graph is a horizontal line y = 4 intersecting the y-axis at (0, 4).

A polynomial function has the form
y = a0 + a1x + a2x2 + ... + anxn, where n is a non-negative integer and the coefficients are real numbers.
The highest exponent n is the degree of the polynomial.
If n = 0 the polynomial is constant; n = 1 gives a linear function; n = 2 gives a quadratic, etc.
Examples:
Note: In a polynomial, powers of variables must be non-negative integers. For example, f(x) = √x + 2 is not a polynomial since the power of x is 1/2.
Consider f(x) = 3x2 + 2x - 3; plotting representative points yields its parabola-shaped graph.

A linear function is a polynomial of degree one, f(x) = ax + b with a ≠ 0, a and b real constants. Example f(x) = 3x + 7 has points (0,7), (-1,4), (-2,1) and its graph is a straight line.

A quadratic function is a polynomial of degree two, f(x) = ax2 + bx + c with a ≠ 0. Domain and range depend on a and vertex; for example f(x) = x2 - 4 has domain R and range [-4, ∞).

A cubic function has degree three, f(x) = ax3 + bx2 + cx + d with a ≠ 0. Domain and range are both R. Example graph for f(x) = x3 - 5 is shown.

If f(x) and g(x) are polynomials and g(x) ≠ 0, then f(x)/g(x) is a rational function.
Example: f(x) = (2x - 5)/(3x - 2), x ≠ 2/3. Graphs of rational functions may have vertical and horizontal (or oblique) asymptotes.

The modulus or absolute value function is f : R → R defined by f(x) = |x| for all x ∈ R.
f(x) = x if x ≥ 0 and f(x) = -x if x < 0. The graph is V-shaped.

The greatest integer (floor) function f : R → R is defined by f(x) = [x], the greatest integer less than or equal to x.
Examples:
So [2.5] = 2, [1.2] = 1.

The signum (or sign) function sgn(x) : R → R is defined by
f(x) = 1 if x > 0; f(0) = 0; f(x) = -1 if x < 0.
It extracts the sign of a real number and is a kind of step function.







An algebraic function can be formed using a finite number of algebraic operations: addition, subtraction, multiplication, division and taking roots. All polynomials are algebraic, but not all algebraic functions are polynomials.
Example algebraic function:

Functions that are not algebraic are called transcendental functions.
Examples (transcendental):


f(x) = loga x, where x > 0, a > 0, a ≠ 1.
If 0 < a < 1, the graph is decreasing; if a > 1 the graph is increasing.


f(x) = ax, where a > 0, a ≠ 1. Domain is R and Range is (0, ∞).
Case 0 < a < 1 gives a decreasing curve; case a > 1 gives an increasing curve.



The fractional part function is {x} = x - [x]. Domain = R, Range = [0, 1).


Properties:

Examples
Example.1. Find the range of the following functions:
(a)

(b)

Ans. (a)
We have (reconstructed steps from the working):
Let y = expression given in the image.
Reduce the expression algebraically to identify possible values of y.
Analyze the discriminant or monotonicity as needed to locate minima/maxima.
Conclude the set of attainable y-values. (The intermediate symbolic transformations are represented by the following image sequence.)








Hence, the range is

(b)
We have (work presented in images):

Observe that x2 + 2 ≥ 2, so transform the expression accordingly and simplify to find y-interval.






Hence, the range is

(i) y = ln (2x - x2)
(ii) y = sec-1 (x2 + 3x + 1)
Solution. (i)
Consider the quadratic q(x) = 2x - x2 = -(x - 1)2 + 1.
Maximum of q(x) is 1 (at x = 1) and q(x) ≤ 1 for all x.
For ln(·) to be defined we need q(x) > 0, so q(x) ∈ (0, 1].
Therefore ln(q(x)) ∈ (-∞, 0].
Hence Range = (-∞, 0].
(ii) Let t = x2 + 3x + 1 for x ∈ R.
Analyze the possible values of t (image of the quadratic) and then the principal values of sec-1 (t) according to the standard range of sec-1 function. Intermediate steps and the graph-based conclusion are shown in the images.





Solution.
We have the expression (shown in images) which is positive and its minimum value is 3/4.
For the composite function (involving sin-1 and ln), determine the domain restriction and then use monotonicity of the inner functions to map the allowable input interval to the output interval. The derivation is provided in the image sequence.



[Because sin-1 x is an increasing function, the inequality sign remains the same.]


Hence, the range is
y ∈ [ln(π/3), ln(π/2)].

Solution.
Working and algebraic deductions are shown in the images below. The reasoning chooses values of parameters so that the image set equals [-4, 3).



For y to lie in [-4, 3) we require mx + n - 3 < 0 for all real x which forces m = 0.
With m = 0 the function simplifies and we deduce n = -4 to obtain ymin = -4 and ymax approaching 3 from below.

Hence m2 + n2 = 0 + (-4)2 = 16.

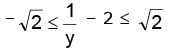
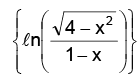
Solution.

The expression inside the square-root or fraction is positive and x2 < 4 so -2 < x < 2.
Also 1 - x should be positive, hence x < 1.
Combining gives Domain : -2 < x < 1.
Sine (or other outer functions) inherits this domain if applied to the inner expression. The range is studied by suitable substitution and monotonicity considerations presented in the image sequence.








Solution.
Consider g(x) = inner positive function shown. g(x) is positive for all real x and continuous; g(0) = 1 and g(x) takes values in (0, 1].
Therefore f(x) = sin-1(g(x)) takes values in (0, π/2].



Find the domain and range of f(x) where [ * ] denotes the greatest integer function.
Solution.
If cos-1 x = θ, then -1 ≤ x ≤ 1.



From the analysis we obtain the interval restrictions leading to 0 ≤ x < 2 and hence Domain = [0, 2).
Compute the integer-part values [x3 + 1] for 0 ≤ x < 2 to obtain the possible images; the step-by-step images follow.



Thus the range (after evaluating the possible discrete integer values and applying cos-1 and log) becomes (π/2, cos-1(log 2)).

(i) f(x) = ln(sin xsin x + 1) where 0 < x < π/2.
(ii) f(x) = ln(2 sin x + tan x - 3x + 1) where π/6 ≤ x ≤ π/3.
Solution. (i)
For 0 < x < π/2 we have 0 < sin x < 1.
Thus the range of ln(sin xsin x + 1) for 0 < x < π/2 equals that of ln(xx + 1) for 0 < x < 1 by replacing sin x with a variable in (0,1).
Let h(x) = xx + 1 = ex ln x + 1.
Differentiate: h'(x) = ex ln x (1 + ln x).
h'(x) > 0 for x > 1/e and h'(x) < 0 for 0 < x < 1/e, so h has a minimum at x = 1/e.


Analyze numerical values around the minimum (images continue) to conclude the range of ln(xx + 1).




(ii) Let h(x) = 2 sin x + tan x - 3x + 1.
Differentiate: h'(x) = 2 cos x + sec2 x - 3.
Set h'(x) > 0 to check monotonicity; algebraic manipulations (in images) show h'(x) > 0 on [π/6, π/3], so h is increasing on this interval.


Therefore h(π/6) ≤ h(x) ≤ h(π/3), and the corresponding natural-log values produce the range after taking ln on that interval.


Summary (optional) - Key points to remember:
173 videos|510 docs|154 tests |
| 1. What is a real-valued function? | ![]() |
| 2. What is the difference between a real-valued function and a complex-valued function? | ![]() |
| 3. What are the common types of real-valued functions? | ![]() |
| 4. What is the domain and range of a real-valued function? | ![]() |
| 5. How are real-valued functions used in real-life applications? | ![]() |
173 videos|510 docs|154 tests |
![]() | Explore Courses for JEE exam |