Interest and interest rates are fundamental concepts in finance and everyday commerce. A small change in interest rates can produce large effects on loans, savings, investment returns and the wider economy.
Interest is the amount charged by a lender from a borrower on the principal loan sum. It is the cost of borrowing money.
Interest rate is the percentage at which interest is charged on the principal sum per unit time (commonly per annum).
The rate at which interest is charged depends on two factors:
Because interest rates affect lending, saving, investment and prices across the economy, they are central to financial decision-making and form a standard topic in quantitative sections of competitive examinations and standard school curricula.
There are two basic methods of charging interest:

Simple interest is interest calculated only on the original principal for the entire period. Interest does not itself earn further interest.
Here, P is the principal (original amount), R is the annual rate of interest (in percent), and T is the time in years.
Example: Find the simple interest on ₹68,000 at 20% p.a. for 2 years.
Solution: Compute SI using the formula SI = (P × R × T) / 100.
Substitute values: P = 68,000; R = 20; T = 2.
SI = (68,000 × 20 × 2) / 100.
SI = (68,000 × 40) / 100.
SI = 2,720,000 / 100 = ₹27,200.
The simple interest for 2 years is ₹27,200 and the amount repaid would be ₹68,000 + ₹27,200 = ₹95,200.
Try yourself: Find the simple interest on Rs. 5200 for 2 years at 6% per annum.
The following results and shortcuts are commonly used with simple interest (illustrated in the images that follow): present worth relations, proportional interest calculations, time and rate manipulations, and methods to combine several investments at different rates. Consult the diagrams for common formulae and examples.



Try yourself: How much time will it take for an amount of Rs.450 to yield Rs. 81 as interest at 4.5% per annum of simple interest?
Q1: Nitu has an initial capital of ₹20,000. Out of this, she invests ₹8,000 at 5.5% in bank A, ₹5,000 at 5.6% in bank B and the remaining amount at x% in bank C, each rate being simple interest per annum. Her combined annual interest income from these investments is equal to 5% of the initial capital. If she had invested her entire initial capital in bank C alone, then her annual interest income, in rupees, would have been:
a. 700
b. 800
c. 900
d. 1000
Sol: Option 'b' is correct.
Explanation:Let the rate in bank C be x% per annum.
Interest from A = 8,000 × 5.5 / 100 = ₹440.
Interest from B = 5,000 × 5.6 / 100 = ₹280.
Amount invested in C = 20,000 - 8,000 - 5,000 = ₹7,000.
Interest from C = 7,000 × x / 100 = 70x.
Total interest = 440 + 280 + 70x = 720 + 70x.
Total interest equals 5% of initial capital = 20,000 × 5 / 100 = ₹1,000.
So, 720 + 70x = 1,000.
70x = 280.
x = 4.
If entire capital 20,000 were invested at 4%, interest = 20,000 × 4 / 100 = ₹800.
Q2: Mr. Pinto invests one-fifth of his capital at 6%, one-third at 10% and the remaining at 1%, each rate being simple interest per annum. Then, the minimum number of years required for the cumulative interest income from these investments to equal or exceed his initial capital is ____________.
Sol: Let the total capital be 15x (LCM of denominators 5 and 3 makes calculations easier).
One-fifth = 3x invested at 6%
→ annual interest = 3x × 6 / 100 = 0.18x.One-third = 5x invested at 10%
→ annual interest = 5x × 10 / 100 = 0.5x.Remaining = 15x - 3x - 5x = 7x invested at 1%
→ annual interest = 7x × 1 / 100 = 0.07x.Total annual interest = 0.18x + 0.5x + 0.07x = 0.75x.
We need n such that n × annual interest ≥ initial capital (15x).
So, n × 0.75x ≥ 15x.
n ≥ 15 / 0.75 = 20.
Minimum number of years required = 20 years.
Q3: Alex invested his savings in two parts. The simple interest earned on the first part at 15% per annum for 4 years is the same as the simple interest earned on the second part at 12% per annum for 3 years. Then, the percentage of his savings invested in the first part is:
a. 37.5%
b. 62.5%
c. 60%
d. 40%
Sol: Option 'b' is correct.
Explanation:
Let the two parts be x and y.
Interest on first part = x × 15% × 4 = x × 0.15 × 4 = 0.6x.
Interest on second part = y × 12% × 3 = y × 0.12 × 3 = 0.36y.
Given 0.6x = 0.36y ⇒ x / y = 0.36 / 0.6 = 36 / 60 = 3 / 5.
So x : y = 3 : 5; total savings = 8 parts; percentage invested in first part = (3/8) × 100% = 37.5%.
Try yourself: Mr. Thomas invested an amount of Rs. 13,900 divided in two different schemes A and B at the simple interest rate of 14% p.a. and 11% p.a. respectively. If the total amount of simple interest earned in 2 years be Rs. 3508, what was the amount invested in Scheme B?
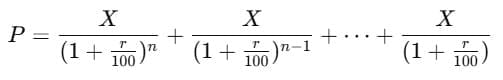
When a loan is repaid in equal instalments at regular intervals and interest is charged at a compound rate, the instalment value can be found by equating the present value of all instalments to the loan amount. The present value of each instalment depends on the compounding period and rate. The general formula for an instalment (annuity) uses discount factors and standard annuity formulae shown in the image below.

Example: One can purchase a flat for ₹55,000 or pay a cash down payment of ₹4,275 and the rest in three equal instalments. The society charges interest at 16% p.a. compounded half-yearly. If the flat is purchased under the instalment plan, find the value of each instalment.
Sol:
Cost of flat = ₹55,000.
Down payment = ₹4,275.
Loan amount = 55,000 - 4,275 = ₹50,725.
Annual nominal rate = 16% compounded half-yearly.
Half-yearly rate = 16 / 2 = 8% per half-year.
Number of half-yearly instalments = 3.
Let each instalment be x.
Present value of first instalment (paid after one half-year) = x / (1.08).
Present value of second instalment (after two half-years) = x / (1.08)2.
Present value of third instalment (after three half-years) = x / (1.08)3.
Equate sum of present values to loan: x[1/1.08 + 1/1.082 + 1/1.083] = 50,725.
Discount factors computed:
1/1.08 = 0.9259259.
1/1.082 = 0.8573388.
1/1.083 = 0.7938320.
Sum of discount factors ≈ 2.577097.
x × 2.577097 = 50,725.
x ≈ 50,725 / 2.577097 ≈ ₹19,689. (rounded to nearest rupee)
Example 1: A man invests ₹5,000 for 3 years at 5% p.a. compounded yearly. Income tax at 20% on the interest earned is deducted at the end of each year. Find the amount at the end of the third year.
Sol: Principal at start = ₹5,000.
Annual compound rate = 5%.
At end of first year, gross interest = 5,000 × 0.05 = ₹250.
Income tax on this interest = 20% of 250 = ₹50.
Net interest added = 250 - 50 = ₹200.
Amount at end of year 1 = 5,000 + 200 = ₹5,200.
At end of second year, gross interest = 5,200 × 0.05 = ₹260.
Income tax = 20% of 260 = ₹52.
Net interest added = 260 - 52 = ₹208.
Amount at end of year 2 = 5,200 + 208 = ₹5,408.
At end of third year, gross interest = 5,408 × 0.05 = ₹270.40.
Income tax = 20% of 270.40 = ₹54.08.
Net interest added = 270.40 - 54.08 = ₹216.32.
Amount at end of year 3 = 5,408 + 216.32 = ₹5,624.32.
Example 2: A sum of ₹12,000 deposited at compound interest becomes double after 5 years. After 20 years, how much will it become?
Sol: Let annual growth factor = (1 + r/100).
Given (1 + r/100)5 = 2.
After 20 years the factor = (1 + r/100)20 = ((1 + r/100)5)4 = 24 = 16.
Therefore amount after 20 years = 12,000 × 16 = ₹192,000.
Shortcut reasoning: Doubling every 5 years means four doublings in 20 years, so 12,000 × 2 × 2 × 2 × 2 = 192,000.
Example 3: John borrowed Rs. 2,10,000 from a bank at 10% per annum compounded annually. The loan was repaid in two equal instalments, the first after one year and the second after another year. The first instalment was interest of one year plus part of the principal amount, while the second was the rest of the principal amount plus due interest thereon. Then each instalment is Rs _________?
Sol: Principal borrowed = ₹2,10,000.
Amount due after 2 years = 2,10,000 × 1.1 × 1.1 = 2,10,000 × (1.1)2 = ₹2,54,100.
Let each instalment be x. The first instalment is paid at end of year 1 and will accumulate with interest for one more year; so its value at end of year 2 equals x × 1.1.
The second instalment is paid at end of year 2 and its value at end of year 2 is x.
Equate total to amount due: 1.1x + x = 2,54,100.
2.1x = 2,54,100.
x = 2,54,100 / 2.1 = ₹1,21,000.
Example 4: Gopal borrows Rs. X from Ankit at 8% annual interest. He then adds Rs. Y of his own money and lends Rs. X+Y to Ishan at 10% annual interest. At the end of the year, after returning Ankit's dues, the net interest retained by Gopal is the same as that accrued to Ankit. On the other hand, had Gopal lent Rs. X+2Y to Ishan at 10%, then the net interest retained by him would have increased by Rs. 150. If all interests are compounded annually, then find the value of X + Y.
Sol: Interest paid to Ankit on X at 8% = 0.08X.
Interest received from Ishan when lending (X + Y) at 10% = 0.10(X + Y) = 0.10X + 0.10Y.
Net interest retained in first case = 0.10X + 0.10Y - 0.08X = 0.02X + 0.10Y.
It is given that this equals Ankit's interest income 0.08X, so:
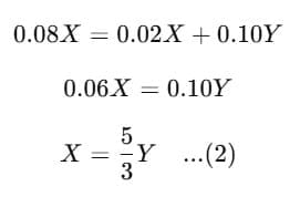
0.02X + 0.10Y = 0.08X.
Rearrange: 0.10Y = 0.06X ⇒ X = (0.10/0.06) Y = (10/6) Y = (5/3) Y.
In the second scenario, Gopal lends (X + 2Y) at 10% so interest received = 0.10X + 0.20Y.
Net interest retained in second case = 0.10X + 0.20Y - 0.08X = 0.02X + 0.20Y.
Increase in retained interest = (0.02X + 0.20Y) - (0.02X + 0.10Y) = 0.10Y = 150.
So Y = 1,500.
From X = (5/3)Y ⇒ X = (5/3) × 1,500 = 2,500.
Therefore X + Y = 2,500 + 1,500 = ₹4,000.
Depreciation is the decrease in the value of an asset (for example machinery, electronics or buildings) over time due to wear, obsolescence or other causes. If the rate of depreciation is r% per annum and the current value is A0, then after t years the value A1 is given by:
A1 = A0 (1 - r/100)t
Example 1: The value of the laptop depreciates at the rate of 30 % per annum. The present value of the laptop if Rs. 40000. What will be the worth of laptop two years from now?
a. Rs. 28000
b. Rs. 16000
c. Rs. 24400
d. Rs. 19600
Sol: Option 'd' is correct.
Explanation (stepwise):
Initial value A0 = ₹40,000.
Depreciation rate r = 30% per annum.
After 2 years: A1 = 40,000 × (1 - 0.30)2 = 40,000 × (0.70)2.
A1 = 40,000 × 0.49 = ₹19,600.
Example 3: The value of a residential flat constructed at a cost of Rs100000 is depreciating at the rate of 10% per annum. What will be its value 3 years after construction?
Sol: Initial value V0 = ₹100,000.
Depreciation rate = 10% ⇒ multiplier each year = 0.9.
Value after 3 years = 100,000 × (0.9)3 = 100,000 × 0.729 = ₹72,900.
Population growth or decline often follows multiplicative (successive) change similar to compound interest. The same formulae apply when modelling population change.
Let P0 be the initial population, r% the annual growth (or decline) rate, n the number of years, and P1 the population after n years.
When population increases:
P1 = P0 (1 + r/100)n
When population decreases:
P1 = P0 (1 - r/100)n
Example 1 : The population of a town is 125000. It is increasing at the rate of 2% per annum. What will be its population after 3 years ?
Sol: P0 = 125,000.
r = 2% ⇒ multiplier = 1.02.
P after 3 years = 125,000 × (1.02)3 = 125,000 × 1.061208 = 132,651 (rounded to nearest whole number).
Example 2: The rate of annual growth of population is 5%. If the present population of a city is 140000, then after three years the population of that city will be approximately?
a. 153000
b. 164000
c. 162000
d. 134000
Sol: Option 'c' is correct
Explanation: The rate of annual growth of population = 5%
The present population of a city = 140000
Formula used: Population of town = P(1+r/100)
According to the question Population of town after three years = P(1+r/100)
=140000(1+5/100)3
= 140000(105/100)3
= (140000 × 21/20 × 21/20 × 21/20)
= (1296540/8)
= 162067.5 ∼ 162000
The required population after three years is 162000
Example 3: The population of the city is increasing at the rate of 8%. If the current population of the city is 100000 then what will be the population after 2 years?
a. 115540
b. 126440
c. 116640
d. 126640
Sol: Option 'c' is correct
Explanation: Principal, P = 10000
Rate, R = 8%
Time, n = 2 years
A = 100000 * (1 + 8/100)2
A= 100000 x (108/100) × (108/100)
A = 116640
The population after 2 years will be 116640.
Try yourself: The population of a city is 150,000 and it is decreasing at a rate of 3% per annum. What will be the population of the city after 4 years?
205 videos|300 docs|137 tests |
| 1. What is the difference between simple interest and compound interest? | ![]() |
| 2. How do you calculate simple interest? | ![]() |
| 3. What is the formula for compound interest? | ![]() |
| 4. How does depreciation affect the value of an asset over time? | ![]() |
| 5. How can population growth be modeled using compound interest concepts? | ![]() |