Physics Exam  >  Physics Notes  >  Basic Physics for IIT JAM  >  Length Contraction

Length Contraction | Basic Physics for IIT JAM PDF Download

People might describe distances differently, but at relativistic speeds, the distances really are different. (credit: Corey Leopold, Flickr)

Length Contraction | Basic Physics for IIT JAM

Have you ever driven on a road that seems like it goes on forever? If you look ahead, you might say you have about 10 km left to go. Another traveler might say the road ahead looks like it’s about 15 km long. If you both measured the road, however, you would agree. Traveling at everyday speeds, the distance you both measure would be the same. You will read in this section, however, that this is not true at relativistic speeds. Close to the speed of light, distances measured are not the same when measured by different observers.

Proper Length

One thing all observers agree upon is relative speed. Even though clocks measure different elapsed times for the same process, they still agree that relative speed, which is distance divided by elapsed time, is the same. This implies that distance, too, depends on the observer’s relative motion. If two observers see different times, then they must also see different distances for relative speed to be the same to each of them.

The muon discussed in [link] illustrates this concept. To an observer on the Earth, the muon travels at 0.950c for 7.05 μs from the time it is produced until it decays. Thus it travels a distance

Lo = vΔt = (0.950) (3.00108 m/s) (7.0510-6 s) =2.01 km

relative to the Earth. In the muon’s frame of reference, its lifetime is only 2.20 μs. It has enough time to travel only

L = vΔt0 = (0.950) (3.00108 m/s) (2.2010-6 s) =0.627 km.

The distance between the same two events (production and decay of a muon) depends on who measures it and how they are moving relative to it.

Proper Length

Proper length Lo is the distance between two points measured by an observer who is at rest relative to both of the points.

The Earth-bound observer measures the proper length Lo, because the points at which the muon is produced and decays are stationary relative to the Earth. To the muon, the Earth, air, and clouds are moving, and so the distance L it sees is not the proper length.

(a) The Earth-bound observer sees the muon travel 2.01 km between clouds. (b) The muon sees itself travel the same path, but only a distance of 0.627 km. The Earth, air, and clouds are moving relative to the muon in its frame, and all appear to have smaller lengths along the direction of travel.

Length Contraction | Basic Physics for IIT JAM

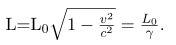
Length Contraction

To develop an equation relating distances measured by different observers, we note that the velocity relative to the Earth-bound observer in our muon example is given by

Length Contraction | Basic Physics for IIT JAM

The time relative to the Earth-bound observer is Δt, since the object being timed is moving relative to this observer. The velocity relative to the moving observer is given by

Length Contraction | Basic Physics for IIT JAM

The moving observer travels with the muon and therefore observes the proper time Δt0. The two velocities are identical; thus,

Length Contraction | Basic Physics for IIT JAM

We know that Δt = ϒΔtSubstituting this equation into the relationship above gives 

Length Contraction | Basic Physics for IIT JAM

Substituting for ϒ gives an equation relating the distances measured by different 

observers. 

Length Contraction

Length contraction L is the shortening of the measured length of an object moving relative to the observer’s frame.

Length Contraction | Basic Physics for IIT JAM

If we measure the length of anything moving relative to our frame, we find its length L to be smaller than the proper length L0 that would be measured if the object were stationary. For example, in the muon’s reference frame, the distance between the points where it was produced and where it decayed is shorter. Those points are fixed relative to the Earth but moving relative to the muon. Clouds and other objects are also contracted along the direction of motion in the muon’s reference frame. 

Calculating Length Contraction: The Distance between Stars Contracts when You Travel at High Velocity

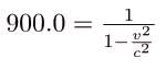
Suppose an astronaut, such as the twin discussed in Simultaneity and Time Dilation, travels so fast that ϒ=30.00 (a) She travels from the Earth to the nearest star system, Alpha Centauri, 4.300 light years (ly) away as measured by an Earth-bound observer. How far apart are the Earth and Alpha Centauri as measured by the astronaut? (b) In terms of c, what is her velocity relative to the Earth? You may neglect the motion of the Earth relative to the Sun.

(a) The Earth-bound observer measures the proper distance between the Earth and the Alpha Centauri. (b) The astronaut observes a length contraction, since the Earth and the Alpha Centauri move relative to her ship. She can travel this shorter distance in a smaller time (her proper time) without exceeding the speed of light.


Length Contraction | Basic Physics for IIT JAM

Strategy

First note that a light year (ly) is a convenient unit of distance on an astronomical scale—it is the distance light travels in a year. For part (a), note that the 4.300 ly distance between the Alpha Centauri and the Earth is the proper distance L0, because it is measured by an Earth-bound observer to whom both stars are (approximately) stationary. To the astronaut, the Earth and the Alpha Centauri are moving by at the same velocity, and so the distance between them is the contracted length L. In part (b), we are given ϒ, and so we can find v by rearranging the definition of ϒ to express v in terms of c.

Solution for (a)

  1. Identify the knowns. L0-4.300ly ; ϒ = 30.00 
  2. Identify the unknown. L
  3. Choose the appropriate equation. Length Contraction | Basic Physics for IIT JAM
  4. Rearrange the equation to solve for the unknown.

Length Contraction | Basic Physics for IIT JAM

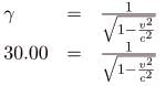
Solution for (b) 

  • Identify the known. ϒ = 30.00
  • Identify the unknown. v in terms of c
  • Choose the appropriate equation.  Length Contraction | Basic Physics for IIT JAM
  • Rearrange the equation to solve for the unknown. 

Length Contraction | Basic Physics for IIT JAM

Squaring both sides of the equation and rearranging terms gives

Length Contraction | Basic Physics for IIT JAM

so that

Length Contraction | Basic Physics for IIT JAM

and 

Length Contraction | Basic Physics for IIT JAM

Taking the square root, we find

Length Contraction | Basic Physics for IIT JAM

which is rearranged to produce a value for the velocity 

v =0.9994c.

Discussion

First, remember that you should not round off calculations until the final result is obtained, or you could get erroneous results. This is especially true for special relativity calculations, where the differences might only be revealed after several decimal places. The relativistic effect is large here (=30.00), and we see that v is approaching (not equaling) the speed of light. Since the distance as measured by the astronaut is so much smaller, the astronaut can travel it in much less time in her frame.

People could be sent very large distances (thousands or even millions of light years) and age only a few years on the way if they traveled at extremely high velocities. But, like emigrants of centuries past, they would leave the Earth they know forever. Even if they returned, thousands to millions of years would have passed on the Earth, obliterating most of what now exists. There is also a more serious practical obstacle to traveling at such velocities; immensely greater energies than classical physics predicts would be needed to achieve such high velocities. This will be discussed in Relatavistic Energy.
Why don’t we notice length contraction in everyday life? The distance to the grocery shop does not seem to depend on whether we are moving or not. Examining the equation 

Length Contraction | Basic Physics for IIT JAM we see that at low velocities Length Contraction | Basic Physics for IIT JAMthe lengths are nearly equal, the classical expectation. But length contraction is real, if not commonly experienced. For example, a charged particle, like an electron, traveling at relativistic velocity has electric field lines that are compressed along the direction of motion as seen by a stationary observer. As the electron passes a detector, such as a coil of wire, its field interacts much more briefly, an effect observed at particle accelerators such as the 3 km long Stanford Linear Accelerator (SLAC). In fact, to an electron traveling down the beam pipe at SLAC, the accelerator and the Earth are all moving by and are length contracted. The relativistic effect is so great than the accelerator is only 0.5 m long to the electron. It is actually easier to get the electron beam down the pipe, since the beam does not have to be as precisely aimed to get down a short pipe as it would down one 3 km long. This, again, is an experimental verification of the Special Theory of Relativity.
The electric field lines of a high-velocity charged particle are compressed along the direction of motion by length contraction. This produces a different signal when the particle goes through a coil, an experimentally verified effect of length contraction.

Length Contraction | Basic Physics for IIT JAM

Check Your Understanding

A particle is traveling through the Earth’s atmosphere at a speed of 0.750c. To an Earth-bound observer, the distance it travels is 2.50 km. How far does the particle travel in the particle’s frame of reference?

Answer

Length Contraction | Basic Physics for IIT JAM

Summary

  • All observers agree upon relative speed.
  • Distance depends on an observer’s motion. Proper length L0  is the distance between two points measured by an observer who is at rest relative to both of the points. Earth-bound observers measure proper length when measuring the distance between two points that are stationary relative to the Earth.
  • Length contraction L is the shortening of the measured length of an object moving relative to the observer’s frame:
    Length Contraction | Basic Physics for IIT JAM

Conceptual Questions

To whom does an object seem greater in length, an observer moving with the object or an observer moving relative to the object? Which observer measures the object’s proper length?
Relativistic effects such as time dilation and length contraction are present for cars and airplanes. Why do these effects seem strange to us?
Suppose an astronaut is moving relative to the Earth at a significant fraction of the speed of light. (a) Does he observe the rate of his clocks to have slowed? (b) What change in the rate of Earth-bound clocks does he see? (c) Does his ship seem to him to shorten? (d) What about the distance between stars that lie on lines parallel to his motion? (e) Do he and an Earth-bound observer agree on his velocity relative to the Earth?

Problems & Exercises

A spaceship, 200 m long as seen on board, moves by the Earth at 0.970c. What is its length as measured by an Earth-bound observer?
48.6 m
How fast would a 6.0 m-long sports car have to be going past you in order for it to appear only 5.5 m long?

(a) How far does the muon in travel according to the Earth-bound observer? (b) How far does it travel as viewed by an observer moving with it? Base your calculation on its velocity relative to the Earth and the time it lives (proper time). (c) Verify that these two distances are related through length contraction =3.20.
(a) 1.387 km = 1.39 km
(b) 0.433 km 

Thus, the distances in parts (a) and (b) are related when ϒ = 3.20.

(a) How long would the muon have lived as observed on the Earth if its velocity was 0.0500c? (b) How far would it have traveled as observed on the Earth? (c) What distance is this in the muon’s frame?

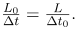
(a) How long does it take the astronaut to travel 4.30 ly at 0.99944c (as measured by the Earth-bound observer)? (b) How long does it take according to the astronaut? (c) Verify that these two times are related through time dilation with =30.00 as given.

(a) 4.303 y (to four digits to show any effect)

(b) 0.1434 y

(c) Length Contraction | Basic Physics for IIT JAM

Thus, the two times are related when  =30.00.

(a) How fast would an athlete need to be running for a 100-m race to look 100 yd long? (b) Is the answer consistent with the fact that relativistic effects are difficult to observe in ordinary circumstances? Explain.

Unreasonable Results

(a) Find the value of ϒ for the following situation. An astronaut measures the length of her spaceship to be 25.0 m, while an Earth-bound observer measures it to be 100 m. (b) What is unreasonable about this result? (c) Which assumptions are unreasonable or inconsistent?

(a) 0.250

(b) ϒ must be ≥1

(c) The Earth-bound observer must measure a shorter length, so it is unreasonable to assume a longer length.

Unreasonable Results

A spaceship is heading directly toward the Earth at a velocity of 0.800c. The astronaut on board claims that he can send a canister toward the Earth at 1.20c. relative to the Earth. (a) Calculate the velocity the canister must have relative to the spaceship. (b) What is unreasonable about this result? (c) Which assumptions are unreasonable or inconsistent?

The document Length Contraction | Basic Physics for IIT JAM is a part of the Physics Course Basic Physics for IIT JAM.
All you need of Physics at this link: Physics
214 videos|156 docs|94 tests

FAQs on Length Contraction - Basic Physics for IIT JAM

1. What is length contraction in physics?
Ans. Length contraction is a phenomenon in physics that occurs when an object is moving at a significant fraction of the speed of light. According to the theory of special relativity, as an object's velocity approaches the speed of light, its length in the direction of motion appears to shrink from the perspective of an observer at rest relative to the object.
2. How does length contraction work?
Ans. Length contraction is a consequence of the time dilation effect predicted by Einstein's theory of special relativity. As an object moves faster, its internal clocks slow down relative to an observer at rest. This time dilation, in turn, affects the measurement of distances. From the perspective of the moving object, it experiences its own length as unchanged, while an observer at rest sees the object's length contracted.
3. Is length contraction real or just an optical illusion?
Ans. Length contraction is a real phenomenon predicted by the theory of relativity. It is not merely an optical illusion. The contraction of an object's length is a consequence of the relativistic effects on space and time. While it may seem counterintuitive, numerous experiments and observations have confirmed the existence of length contraction.
4. Can length contraction be observed in everyday life?
Ans. Length contraction is typically not observable in everyday life because the speeds at which it becomes significant are extremely high. The effects of length contraction are only noticeable when objects approach speeds close to the speed of light, which is not commonly encountered in everyday scenarios. However, scientists have been able to observe and measure length contraction in high-energy particle accelerators.
5. Does length contraction violate the conservation of mass-energy?
Ans. No, length contraction does not violate the conservation of mass-energy. The energy required to accelerate an object to speeds near the speed of light contributes to the object's increased mass. This increase in mass, known as relativistic mass, accounts for the observed length contraction. The conservation of mass-energy is upheld, as the total energy of the system remains constant throughout the process.
Related Searches

Length Contraction | Basic Physics for IIT JAM

,

Exam

,

Viva Questions

,

Sample Paper

,

Length Contraction | Basic Physics for IIT JAM

,

Free

,

Important questions

,

pdf

,

Previous Year Questions with Solutions

,

study material

,

Length Contraction | Basic Physics for IIT JAM

,

ppt

,

Summary

,

Extra Questions

,

shortcuts and tricks

,

past year papers

,

mock tests for examination

,

MCQs

,

Semester Notes

,

practice quizzes

,

video lectures

,

Objective type Questions

;