Mathematics Exam  >  Mathematics Notes  >  Calculus  >  Derivatives of Hyperbolic Functions

Derivatives of Hyperbolic Functions | Calculus - Mathematics PDF Download

The last set of functions that we’re going to be looking in this chapter at are the hyperbolic functions. In many physical situations combinations of ex and e−x arise fairly often. Because of this these combinations are given names. There are six hyperbolic functions and they are defined as follows.
Derivatives of Hyperbolic Functions | Calculus - Mathematics
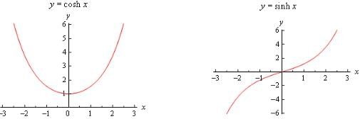
Here are the graphs of the three main hyperbolic functions.
Derivatives of Hyperbolic Functions | Calculus - Mathematics
Derivatives of Hyperbolic Functions | Calculus - Mathematics
We also have the following facts about the hyperbolic functions.
Derivatives of Hyperbolic Functions | Calculus - Mathematics
You’ll note that these are similar, but not quite the same, to some of the more common trig identities so be careful to not confuse the identities here with those of the standard trig functions.
Because the hyperbolic functions are defined in terms of exponential functions finding their derivatives is fairly simple provided you’ve already read through the next section. We haven’t however so we’ll need the following formula that can be easily proved after we’ve covered the next section.
Derivatives of Hyperbolic Functions | Calculus - Mathematics
With this formula we’ll do the derivative for hyperbolic sine and leave the rest to you as an exercise.
Derivatives of Hyperbolic Functions | Calculus - Mathematics
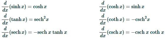
For the rest we can either use the definition of the hyperbolic function and/or the quotient rule. Here are all six derivatives.
Derivatives of Hyperbolic Functions | Calculus - Mathematics
Here are a couple of quick derivatives using hyperbolic functions.

Example 1 Differentiate each of the following functions.
(a) f(x) = 2xcosh x
Derivatives of Hyperbolic Functions | Calculus - Mathematics
Solution:
(a)Derivatives of Hyperbolic Functions | Calculus - Mathematics
(b) Derivatives of Hyperbolic Functions | Calculus - Mathematics

Practice problems: Derivatives Of Hyperbolic Functions

For each of the following problems differentiate the given function.

1. Differentiate f(x) = sinh(x) + 2 cosh(x) − sech(x).
Solution:
Not much to do here other than take the derivative using the formulas from class.
Derivatives of Hyperbolic Functions | Calculus - Mathematics

2. Differentiate R(t) = tan(t) + t2csch(t).
Solution:
Not much to do here other than take the derivative using the formulas from class.
Derivatives of Hyperbolic Functions | Calculus - Mathematics

3. Differentiate Derivatives of Hyperbolic Functions | Calculus - Mathematics
Solution:
Not much to do here other than take the derivative using the formulas from class.
Derivatives of Hyperbolic Functions | Calculus - Mathematics

The document Derivatives of Hyperbolic Functions | Calculus - Mathematics is a part of the Mathematics Course Calculus.
All you need of Mathematics at this link: Mathematics
112 videos|65 docs|3 tests

FAQs on Derivatives of Hyperbolic Functions - Calculus - Mathematics

1. What are hyperbolic functions in mathematics?
Ans. Hyperbolic functions are a set of mathematical functions that are analogs of the trigonometric functions. They are defined in terms of exponential functions and are used to solve problems in areas such as calculus, differential equations, and physics.
2. What are the derivatives of hyperbolic functions?
Ans. The derivatives of hyperbolic functions are as follows: - The derivative of the hyperbolic sine function (sinh(x)) is the hyperbolic cosine function (cosh(x)). - The derivative of the hyperbolic cosine function (cosh(x)) is the hyperbolic sine function (sinh(x)). - The derivative of the hyperbolic tangent function (tanh(x)) is the hyperbolic secant squared function (sech^2(x)). - The derivative of the hyperbolic cosecant function (csch(x)) is the negative hyperbolic cosecant (csch(x)) multiplied by the hyperbolic cotangent function (coth(x)). - The derivative of the hyperbolic cotangent function (coth(x)) is the negative hyperbolic cosecant squared function (csch^2(x)).
3. How can hyperbolic functions be used in calculus?
Ans. Hyperbolic functions can be used in calculus to solve problems involving exponential growth and decay, as well as to find the derivatives and integrals of functions. They also have applications in areas such as differential equations, Fourier series, and complex analysis.
4. Are hyperbolic functions similar to trigonometric functions?
Ans. Hyperbolic functions are similar to trigonometric functions in many ways. They share some of the same properties and identities, and they both involve ratios of exponential functions. However, hyperbolic functions are defined using the exponential function e^x, while trigonometric functions are defined using the unit circle.
5. What are the practical applications of hyperbolic functions?
Ans. Hyperbolic functions have various practical applications in fields such as physics, engineering, and economics. They are used to model and analyze phenomena involving exponential growth or decay, such as population growth, radioactive decay, and the charging or discharging of electrical circuits. They also have applications in signal processing, control systems, and fluid dynamics.
Related Searches

Free

,

MCQs

,

past year papers

,

ppt

,

Derivatives of Hyperbolic Functions | Calculus - Mathematics

,

pdf

,

Derivatives of Hyperbolic Functions | Calculus - Mathematics

,

Derivatives of Hyperbolic Functions | Calculus - Mathematics

,

Previous Year Questions with Solutions

,

video lectures

,

shortcuts and tricks

,

Objective type Questions

,

study material

,

Sample Paper

,

Semester Notes

,

Exam

,

Extra Questions

,

Important questions

,

mock tests for examination

,

practice quizzes

,

Summary

,

Viva Questions

;