Losses in Transformers | Electrical Machines for Electrical Engg. - Electrical Engineering (EE) PDF Download

There are two types of losses occurs in a transformer:

  1. Iron loss or Core loss Pi
  2. Copper loss or I2R loss Pc

Iron loss or core loss (Pi)
Iron loss in transformers is the combination of hysteresis loss (Ph) and eddy current loss (Pe). This type of loss mainly occurs in the magnetic core of the transformer, and depends on magnetic properties of core material.

Pi = Ph + Pe

The formula for hysteresis and eddy current losses is as follows:

Ph = khf Bxm
Pe = kef2 B2m

Where,
kh = It is a constant which is proportional to the volume, quantity of the core material and the units used.
ke = It is a constant which is proportional to the volume, resistivity of the core material, thickness of laminations and the units used.
Bm = maximum flux density in the core.
f = frequency of the alternating flux.
The exponent 'x' is called Steinmetz constant. Depending upon the magnetic properties of the core material its value varies from 1.5 to 2.5.
Therefore the total core loss in the transformer is

Pi = Ph + Pe
Pi = khf Bxm + kef2 B2m

As we know that the voltage applied is approximately equal to the induced voltage in the transformer.
Losses in Transformers | Electrical Machines for Electrical Engg. - Electrical Engineering (EE)
And Losses in Transformers | Electrical Machines for Electrical Engg. - Electrical Engineering (EE)
Losses in Transformers | Electrical Machines for Electrical Engg. - Electrical Engineering (EE)
where Losses in Transformers | Electrical Machines for Electrical Engg. - Electrical Engineering (EE)
The above relation shows that the hysteresis loss depends upon both the applied voltage and frequency.

Pe = kef2 B2mLosses in Transformers | Electrical Machines for Electrical Engg. - Electrical Engineering (EE)

The above relation shows that the eddy current loss is proportional to the square of the applied voltage and is independent of frequency.

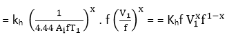
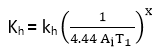
Since, V1 = 4.44 BmAifTi,
V1 ∝ Bmf

Which means for any voltage if f decreases, Bm increases. Similarly, if f increases, Bm decreases.
The total core loss can be written as

Pi = Kh Vx f1-x+Ke V2

Copper loss or I2R loss (Pc)
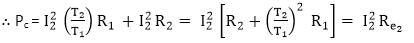
The loss which takes place in the primary and secondary winding of the transformer because of the winding resistance is called the Copper loss or I2R loss.
Total copper loss in the transformer = Primary winding copper loss + Secondary winding copper loss
Losses in Transformers | Electrical Machines for Electrical Engg. - Electrical Engineering (EE)
Losses in Transformers | Electrical Machines for Electrical Engg. - Electrical Engineering (EE)
Therefore copper loss varies as the square of the load current.
Losses in Transformers | Electrical Machines for Electrical Engg. - Electrical Engineering (EE)
Losses in Transformers | Electrical Machines for Electrical Engg. - Electrical Engineering (EE)

Stray Loss
Eddy current in the conductor, tank, etc., produced by the leakage flux in a transformer is known as stray losses. We can neglect these losses, as the percentage of these losses is very less as compared to iron and copper loss.

Dielectric loss
The losses that occur in insulating materials, i.e., in the transformer oil and the solid insulation of the transformer, are known as a dielectric loss. This loss occurs only in high voltage transformer, and is very small so that we can neglect these losses.

The document Losses in Transformers | Electrical Machines for Electrical Engg. - Electrical Engineering (EE) is a part of the Electrical Engineering (EE) Course Electrical Machines for Electrical Engg..
All you need of Electrical Engineering (EE) at this link: Electrical Engineering (EE)
35 videos|95 docs|42 tests

FAQs on Losses in Transformers - Electrical Machines for Electrical Engg. - Electrical Engineering (EE)

1. What are the different types of losses in transformers?
Ans. The different types of losses in transformers include core losses (hysteresis and eddy current losses) and copper losses (ohmic losses in the windings).
2. How do hysteresis losses occur in transformers?
Ans. Hysteresis losses occur in transformers due to the reversal of magnetization in the transformer core, resulting in energy dissipation as heat. This loss is caused by the lagging of the magnetization behind the applied magnetic field.
3. What are eddy current losses in transformers?
Ans. Eddy current losses occur in transformers when the alternating magnetic field induces circulating currents in the conducting core material. These currents circulate within the core and result in energy loss as heat.
4. How can core losses be reduced in transformers?
Ans. Core losses in transformers can be reduced by using high-quality magnetic materials with low hysteresis and eddy current losses, such as silicon steel laminations. Additionally, operating transformers at lower frequencies can help reduce core losses.
5. How can copper losses be minimized in transformers?
Ans. Copper losses in transformers can be minimized by using larger cross-sectional area conductors with lower resistivity. Additionally, reducing the length of the winding and using materials with higher conductivity can help decrease copper losses.
Related Searches

Free

,

Sample Paper

,

mock tests for examination

,

ppt

,

Objective type Questions

,

Losses in Transformers | Electrical Machines for Electrical Engg. - Electrical Engineering (EE)

,

Previous Year Questions with Solutions

,

Losses in Transformers | Electrical Machines for Electrical Engg. - Electrical Engineering (EE)

,

Semester Notes

,

study material

,

Viva Questions

,

pdf

,

video lectures

,

past year papers

,

practice quizzes

,

Extra Questions

,

MCQs

,

shortcuts and tricks

,

Exam

,

Summary

,

Losses in Transformers | Electrical Machines for Electrical Engg. - Electrical Engineering (EE)

,

Important questions

;