Q1: What is the CORRECT match between the survey instruments/parts of instruements shown in the table and the operations carried out with them? [2024, Set-II]
(a) P-iii, Q-iv, R-i, S-ii
(b) P-i, Q-iii, R-ii, S-iv
(c) P-iv, Q-iii, R-ii, S-i
(d) P-ii, Q-iii, R-iv, S-i
Ans: (c)
Bubble tube is used for levelling
Plumb bob is used for centering
Tangent screw in theodolite is used for minor movements
Stadia cross wire is used in Tacheometry
Q2: The magnetic bearing of the sun for a location at noon is 183∘30′. If the sun is exactly on the geographic meridian at noon, the magnetic declination of the location is ___ [2023, Set-II]
(a) 3∘30′ W
(b) 3∘30′ E
(c) 93∘30′ W
(d) 93∘30′ E
Ans: (a)
At any place 12 O'clock sun will be exactly over the true meridian of that place.
Declination =183∘30′ −180∘ = 3∘30 ′ W
Magnetic declination will be 3∘30 W.
Q3: A student is scanning his 10 inch × 10 inch certificate at 600 dots per inch (dpi) to convert it to raster. What is the percentage reduction in number of pixels if the same certificate is scanned at 300 dpi? [2023, Set-I]
(a) 62
(b) 88
(c) 75
(d) 50
Ans: (c)
DPI = Dots Per Inch, it should be noted that DPI is not dots per square inch.
% reduction in number of pixels
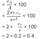
Q4: The error in measuring the radius of a 5 cm circular rod was 0.2%. If the cross-sectional area of the rod was calculated using this measurement, then the resulting absolute percentage error in the computed area is______. (round off to two decimal places) [2022, Set-II]
(a) 0.25
(b) 0.40
(c) 0.67
(d) 0.83
Ans: (b)
Absolute perecentage error in computed area
Q5: A line between stations P and Q laid on a slope of 1 in 5 was measured as 350 m using a 50 m tape. The tape is known to be short by 0.1 m. The corrected horizontal length (in m) of the line PQ will be [2022, Set-I]
(a) 342.52
(b) 349.3
(c) 356.2
(d) 350.7
Ans: (a)
Horizontal distance of line
Tape is 0.1 m short.
Nominal length of tape, l = 50m
Actual length of tape, l′ = 50 − 0.1 = 49.9m
Corrected horizontal length of line PQ
Q6: In general, the CORRECT sequence of surveying operations is [2021, Set-II]
(a) Field observations → Reconnaissance → Data analysis → Map making
(b) Data analysis → Reconnaissance → Field observations → Map making
(c) Reconnaissance → Field observations → Data analysis → Map making
(d) Reconnaissance → Data analysis → Field observations → Map making
Ans: (c)
Reconnaissance →Field observations →Data analysis →Map making
Q7: Which of the following is/are correct statement(s)? [2021, Set-I]
(a) Back Bearing of a line is equal to Fore Bearing ±180∘
(b) If the whole circle bearing of a line is 270∘ , its reduced bearing is 90∘ NW
(c) The boundary of water of a calm water pond will represent contour line
(d) In the case of fixed hair stadia tachometry, the staff intercept will be larger, when the staff is held nearer to the observation point
Ans: (a,b,c)
The principal of fixed hair tacheometry is that distances are proportional to staff intercept.
As distance increase, staff intercept also increases.
Q8: A survey line was measured to be 285.5 m with a tape having a nominal length of 30 m. On checking, the time length of the tape was found to be 0.05 m too short. If the line lay on a slope of 1 in 10. the reduced length (horizontal length) of the line for plotting of survey work would be [2019 : 2 Marks, Set-I]
(a) 285.6 m
(b) 284.5 m
(c) 283.6 m
(d) 285.0 m
Ans: (c)
Given:
Measured length = 285.5 m
Designated tape length = 30 m
Actual tape length = 30 - 0.05 = 29.95 m
Slope along measurement = 1 in 10.
1. Standardization correction,
Actual tape length l' < l (hence negative correction)
Correction per tape length
= 29.95 - 30 = -0.05 m
2. Slope correction:
Approximate slope correction

Total correction=-(1.4275 + 0.4758)
= -1.9033
Correct length = Measured length - Correction
= 285.5 - 1.9033
= 283.596
= 283.6 m
Q9: The accuracy of an Electronic Distance Measuring Instrument (EDMI) is specified as ± (a mm + b ppm). Which one of the following statements is correct? [2017 : 1 Mark, Set-I]
(a) Both a and b remain constant, irrespective of the distance being measured.
(b) a remains constant and b varies in proportion to the distance being measured.
(c) a varies in proportion to the distance being measured and b remains constant.
(d) Both a and b vary in proportion to the distance being measured.
Ans: (b)
Accuracy of EDMI is generally stated in terms of constant instruments error and a measuring error proportional to the distance being measured: ± (a mm + b ppm). The first part indicates a constant instrument error that is independent of the length of the line measured. The second component is the distance related error.
Q10: The survey carried out to delineate natural features, such as hills, rivers, forests and man-made features, such as towns, villages, buildings, roads, transmission lines and canals is classified as [2014 : 1 Mark, Set-II]
(a) engineering survey
(b) geological survey
(c) land survey
(d) topographic survey
Ans: (d)
Typographic survey is done to determine the natural features of a country such as rivers, strains, lakes, wood, hills etc. and artificial features such as roads, railways, canals, towns and villages.
| 1. What are the fundamental concepts of surveying? | ![]() |
| 2. How is linear measurement performed in surveying? | ![]() |
| 3. What is the importance of accurate surveying in construction projects? | ![]() |
| 4. What are the common errors in linear measurement and how can they be avoided? | ![]() |
| 5. What tools are commonly used in surveying for linear measurement? | ![]() |