Civil Engineering (CE) Exam  >  Civil Engineering (CE) Notes  >  Environmental Engineering  >  Past Year Questions: Disposal of Sewage Effluents

Past Year Questions: Disposal of Sewage Effluents | Environmental Engineering - Civil Engineering (CE) PDF Download

Q1: Which one of the following products is NOT obtained in anaerobic decomposition of glucose?  (2024 SET-2)
(a) CO2
(b) CH4
(c) H2S
(d) H2O
Ans:
(c)
Sol: As glucose (C6H12O6) does not contains sulphur hence anaerobic decomposition of glucose does not release H2 S.
Anaerobic decomposition of glucose gives CO2, CH4, H2O as its byproducts.

Q1: Which of the following statements is/are TRUE for the aerobic composting of sewage sludge?
(a) Bulking agent is added during the composting process to reduce the porosity of the solid mixture
(b) Leachate can be generated during composting
(c) Actinomycetes are involved in the process
(d) In-vessel composting systems cannot be operated in the plug-flow mode
Ans:
(b, c)
Sol: A bulking agent (wood ships shredded leaves or types) is intended to support the structure of sludge by increasing its porosity to encourage effective aeration.
In-vessel composting systems can be divided into plug flow and agitated bed modes. In plug flow mode, the relationship between particles in the composting mass stays the same through the process and the system operates on first-in, first-out principle. In an agitated bed system, composting material is mixed mechanically during the processing.
The heat produced in aquatic composting cause any surplus moisture to be extracted as water vapour and hence no leachate is produced.
Actinomycetes are aerobic, spore forming positive bacteria. These are thermophilic species and their development depends on aerobic conditions, temperature and water content. The heat produced in aerobic composting helps support the growth of these species.
Leachate can generated from vegetable wastes.

Q2: Which one of the following statements is TRUE for Greenhouse Gas (CHG) in the atmosphere?  (2023 SET-1)
(a) GHG absorbs the incoming short wavelength solar radiation to the earth surface, and allows the long wavelength radiation coming from the earth surface to pass through.
(b) GHG allows the incoming long wavelength solar radiation to pass through to the earth surface, and absorbs the short wavelength radiation coming from the earth surface.
(c) GHG allows the incoming long wavelength solar radiation to pass through to the earth surface, and allows the short wavelength of radiation coming from the earh surface to pass through
(d) GHG allows the incoming short wavelength solar radiation to pass through to the earth surface, and absorbs the long wavelength radiation coming from the earth.
Ans: 
(d)
Sol: Green House Gas allow short wave radiation to pass through to the earth surface and absorbs the long wavelength radiation coming from the earth surface.

Q1: A sewage treatment plant receives sewage at a flow rate of 5000 m3/day. The total suspended solids (TSS) concentration in the sewage at the inlet of primary clarifier is 200 mg/L. After the primary treatment, the TSS concentration in sewage is reduced by 60%. The sludge from the primary clarifier contains 2% solids concentration. Subsequently, the sludge is subjected to gravity thickening process to achieve a solids concentration of 6%. Assume that the density of sludge, before and after thickening, is 1000 kg/m3.
The daily volume of the thickened sludge (in m3/day) will be_________. (round off to the nearest integer) (2022 SET-2)
Ans: 
10 to 10
Sol: Wt. of TSS at inlet of PST
= 5000 × 103(L/d) × 200 × 106 Kg/L = 1000 Kg/d
Wt. of solid in sludge from PST = 0.6 × 1000 = 600Kg/d
Wt. of sludge before thikeninig = 600/(2/100) = 30000 Kg/d
Wt. of sludge before thikeninig = 600/(6/100) = 10000 Kg/d
Daily volume of thickened sludge = frac 100001000 = 10m3

Q1: A city generates 40 × 10kg of municipal solid waste (MSW) per year, out of which only 10% is recovered/recycled and the rest goes to landfill. The landfill has a single lift of 3 m height and is compacted to a density of 550 kg/m3. If 80% of the landfill is assumed to be MSW, the landfill area (in m2, up to one decimal place) required would be ______ (2018 SET-1)
Ans:
27272.7
Sol: Total weight generated by city
= 40 × 106kg/year 
Weight of MSW going into landfill
= 0.9 × 40 × 10kg/year
= 36 × 10kg/year
Compacted density
= 550 kg/m3
Compacted volume of MSW

= 65454.5454 m3/year
Total landfill volume = Vol. of MSD + Vol. of cover
Given, Volume of MSW = 0.8 × Total landfill volume
∴ Vol. of cover = 0.2 × Total landfill volume
∴Total landfill volume = (65454.5454/0.8)m3/year = 81818.18175 m3/year
Height of landfill = 3m
∴ Area of lanfill = 81818.18175/3 = 27272.7 m2/year.

Q1: The wastewater from a city, containing a high concentration of biodegradable organics, is being steadily discharged into a flowing river at a location S. If the rate of aeration of the river water is lower than the rate of degradation of the organics, then the dissolved oxygen of the river water.    [2017 : 1 Mark, Set-I]
(a) is lowest at the location S.
(b) is lowest at a point upstream of the location S.
(c) remains constant all along the length of the river.
(d) is lowest at a point downstream of the location S.

Ans: (d)
Sol: 

  • Before point T, rate of aeration < rate of degradation, so DO continuously decrease from S till T.
  • At point T, rate of aeration = Rate of degradation. Flence DO is minimum at T, 
  • After T, rate of aeration > Rate of degradation, so DO starts increasing.

Hence, DO is minimum at some point downstream of S.

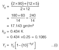
Q1:  A waste water stream (flow = 2 m3/s, ultimate BOD = 90 mg/l) is joining a small river (flow = 12m3/s, ultimate BOD = 5 mg/I). Both water streams get mixed up instantaneously. Cross- sectional area of the river is 50 m2. Assuming the de-oxygenation rate constant, K = 0.25/day, the BOD (in mg/l) of the river water, 10 km downstream of the mixing point is   [2014 : 2 Marks, Set-Il]
 (a) 1.68
(b) 12.63
(c) 15.46
(d) 1.37
Ans: 
(c)
Sol: Flow of waste water stream, Qw= 2 m3/sec
Ultimate BOD,
Yw = 90 mg/l = 90 gm/m3
Flow of river, Qr = 12 m3/sec
Ultimate BOD of river,
Yr = 0.5 mg/l = 5 gm/m3
BOD of mixture,

Area of river = 50 m2
Flow of river =12 m3/sec

The document Past Year Questions: Disposal of Sewage Effluents | Environmental Engineering - Civil Engineering (CE) is a part of the Civil Engineering (CE) Course Environmental Engineering.
All you need of Civil Engineering (CE) at this link: Civil Engineering (CE)
14 videos|120 docs|98 tests

FAQs on Past Year Questions: Disposal of Sewage Effluents - Environmental Engineering - Civil Engineering (CE)

1. What are the main methods for the disposal of sewage effluents?
Ans. The main methods for the disposal of sewage effluents include biological treatment (such as activated sludge processes), chemical treatment (like chlorination), physical treatment (such as sedimentation), and advanced treatment methods (like membrane filtration and reverse osmosis). Each method has its advantages and is chosen based on the specific requirements of the treatment process and the quality of effluent desired.
2. Why is the proper disposal of sewage effluents important?
Ans. Proper disposal of sewage effluents is crucial to prevent environmental pollution, protect public health, and maintain the quality of water bodies. Inadequately treated sewage can lead to the contamination of drinking water sources, harm aquatic life, and contribute to the spread of waterborne diseases.
3. What are the environmental impacts of improper sewage effluent disposal?
Ans. Improper disposal of sewage effluents can result in several environmental impacts, including water pollution, eutrophication of lakes and rivers, and destruction of aquatic habitats. It can also lead to foul odors, increased disease vectors, and degradation of soil quality, affecting both human health and biodiversity.
4. What regulations govern sewage effluent disposal?
Ans. Regulations governing sewage effluent disposal vary by country and region but typically include standards set by environmental protection agencies. These regulations often specify permissible levels of pollutants, treatment processes required, and monitoring protocols to ensure compliance and protect public health and the environment.
5. How can communities improve their sewage effluent disposal practices?
Ans. Communities can improve their sewage effluent disposal practices by investing in modern treatment facilities, promoting public awareness about waste disposal, implementing stricter regulations, and encouraging the use of environmentally friendly technologies. Additionally, regular maintenance and upgrades of existing infrastructure can enhance the efficiency of sewage treatment processes.
Related Searches

Sample Paper

,

study material

,

Summary

,

pdf

,

Previous Year Questions with Solutions

,

past year papers

,

Extra Questions

,

Exam

,

Viva Questions

,

ppt

,

shortcuts and tricks

,

Semester Notes

,

practice quizzes

,

Past Year Questions: Disposal of Sewage Effluents | Environmental Engineering - Civil Engineering (CE)

,

Objective type Questions

,

Free

,

Important questions

,

Past Year Questions: Disposal of Sewage Effluents | Environmental Engineering - Civil Engineering (CE)

,

video lectures

,

mock tests for examination

,

Past Year Questions: Disposal of Sewage Effluents | Environmental Engineering - Civil Engineering (CE)

,

MCQs

;