Class 10 Exam  >  Class 10 Notes  >  Mathematics (Maths) Class 10  >  Class 10 Mathematics: CBSE Sample Question Paper (2019-20) - 4

Class 10 Mathematics: CBSE Sample Question Paper (2019-20) - 4 | Mathematics (Maths) Class 10 PDF Download

Class X
Mathematics – Standard (041)
Sample Question Paper 2019-20

Max. Marks: 80 Duration : 3 hrs General Instructions: (i) All the questions are compulsory. (ii) (iii) Section A comprises of 20 questions of 1 mark each. Section B comprises of 6 questions of 2 marks each. Section C comprises of 8 questions of 3 marks each. Section D comprises of 6 questions of 4 marks each. (iv) There is no overall choice. However, an internal choice has been provided in two questions of 1 mark each, two questions of 2 marks each, three questions of 3 marks each, and three questions of 4 marks each. You have to attempt only one of the alternatives in all such questions. (v) Use of calculators is not permitted.

Section A

Q.1.  Class 10 Mathematics: CBSE Sample Question Paper (2019-20) - 4 | Mathematics (Maths) Class 10    (1 Mark)
Class 10 Mathematics: CBSE Sample Question Paper (2019-20) - 4 | Mathematics (Maths) Class 10
Class 10 Mathematics: CBSE Sample Question Paper (2019-20) - 4 | Mathematics (Maths) Class 10
Class 10 Mathematics: CBSE Sample Question Paper (2019-20) - 4 | Mathematics (Maths) Class 10
Class 10 Mathematics: CBSE Sample Question Paper (2019-20) - 4 | Mathematics (Maths) Class 10
Ans. Choice (c) is correct.
We have,
Class 10 Mathematics: CBSE Sample Question Paper (2019-20) - 4 | Mathematics (Maths) Class 10

Q.2. When a solid is converted from one shape another, the volume of the new shape    (1 Mark)
(a) remains the same
(b) decrease
(c) increases 4 times
(d) increases 2 times
Ans.
(a) A solid’s volume remains the same

Q.3. The median of the data from the graph given in the figure is :   
Class 10 Mathematics: CBSE Sample Question Paper (2019-20) - 4 | Mathematics (Maths) Class 10
(a) 10 

(b) 25 
(c) 15 
(d) 50 
Ans.
(c)
[The x-coordinate of the point of intersection of more than type and less than type o give is the required median]

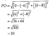
Q.4. The distance of the point P (-6,8) from the origin is :    (1 Mark)
(a) 8
(b) 2√7
(c) 10
(d) 6
Ans.
(c)
Explanation : Distance between two points (x1, y1) and (x2, y2) is given as,
Class 10 Mathematics: CBSE Sample Question Paper (2019-20) - 4 | Mathematics (Maths) Class 10
So, distance between P (-6,8) and origin O (0,0) is given by,
Class 10 Mathematics: CBSE Sample Question Paper (2019-20) - 4 | Mathematics (Maths) Class 10

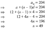
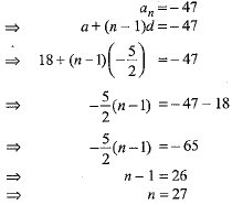
Q.5. The number of terms in the A.P. Class 10 Mathematics: CBSE Sample Question Paper (2019-20) - 4 | Mathematics (Maths) Class 10   
(a) 26 
(b) 27 
(c) 28 
(d) 29
Ans.
Choice (b) is correct
Class 10 Mathematics: CBSE Sample Question Paper (2019-20) - 4 | Mathematics (Maths) Class 10
First term, a = 18, and common difference, Class 10 Mathematics: CBSE Sample Question Paper (2019-20) - 4 | Mathematics (Maths) Class 10 and last term (an)=-47
Let number of terms be n.
Class 10 Mathematics: CBSE Sample Question Paper (2019-20) - 4 | Mathematics (Maths) Class 10
Hence, the number of terms in the given A.P. are 27.

Q.6. If one of the zeroes of a quadratic polynomial (k -1)x2 + kx +1 is - 3, then the value of k is   
(a) 4/3
(b) -4/3
(c) 2/3
(d) -2/3
Ans.
(a)
Let p(x) = (k - h)x2 + kx + 1
Since, - 3 is a zero of polynomial,
∴ p(-3) = 0
∴ (k-1) (-3)2 + k(-3) + 1 = 0
=> 9(k-1 )-3k + 1 = 0
=> 9k - 9 - 3k + 1=0
=> 6k - 8 = 0
=>6k = 8
∴ Class 10 Mathematics: CBSE Sample Question Paper (2019-20) - 4 | Mathematics (Maths) Class 10

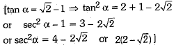
Q.7.  If tan Class 10 Mathematics: CBSE Sample Question Paper (2019-20) - 4 | Mathematics (Maths) Class 10  then sec2α =    (1 Mark)
Class 10 Mathematics: CBSE Sample Question Paper (2019-20) - 4 | Mathematics (Maths) Class 10
(b) 4
Class 10 Mathematics: CBSE Sample Question Paper (2019-20) - 4 | Mathematics (Maths) Class 10
Class 10 Mathematics: CBSE Sample Question Paper (2019-20) - 4 | Mathematics (Maths) Class 10
Ans.
(c)
Class 10 Mathematics: CBSE Sample Question Paper (2019-20) - 4 | Mathematics (Maths) Class 10

Q.8.  If the sum of the circumferences of two circles with radii R1 and R2 is equal to the circumference of a circle of radius R, then :    (1 Mark)
Ans. (a) R1 + R2 = R
(b) R1+ R2 > R
(c) R1 + R2 < R
(d) Nothing definite can be said about the relation among R1 R2 and R
Ans. 
Correct option : (a)
Explanation: According to question, Circumference of circle = Circumference of first circle + Circumference of second circle Class 10 Mathematics: CBSE Sample Question Paper (2019-20) - 4 | Mathematics (Maths) Class 10

Q.9. State whether the following statements are True or False :    (1 Mark)
 If tan θ = 3/2,  then the value of Class 10 Mathematics: CBSE Sample Question Paper (2019-20) - 4 | Mathematics (Maths) Class 10
Ans.
True.
Class 10 Mathematics: CBSE Sample Question Paper (2019-20) - 4 | Mathematics (Maths) Class 10

Q.10. If PA and PB are two tangents to a circle with centre O such that ∠AOB = 150º, then  ∠APB=?    (1 Mark)
Class 10 Mathematics: CBSE Sample Question Paper (2019-20) - 4 | Mathematics (Maths) Class 10
(a) 90°    
(b) 60°
(c) 65°    
(d) 55°
Ans.
(c) Given, ∠OAP = 90
∠OBP = 90°
∴ ∠AOB + ∠APB = 180°
⇒ 115° + ∠APB = 180°
⇒ ∠APB = (180° - 115°) = 65°

Q.11. The length of the diagonal of the cuboid = _________.    (1 Mark)
Class 10 Mathematics: CBSE Sample Question Paper (2019-20) - 4 | Mathematics (Maths) Class 10
Ans.
Length of the diagonal = Class 10 Mathematics: CBSE Sample Question Paper (2019-20) - 4 | Mathematics (Maths) Class 10 

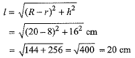
Q.12. What is the frustum of a right circular cone of height 16 cm with radii of its circular ends as 8 cm and 20 cm has slant height equal to ?    (1 Mark)
Ans. 

Class 10 Mathematics: CBSE Sample Question Paper (2019-20) - 4 | Mathematics (Maths) Class 10
Class 10 Mathematics: CBSE Sample Question Paper (2019-20) - 4 | Mathematics (Maths) Class 10
Slant height of the frustum
Class 10 Mathematics: CBSE Sample Question Paper (2019-20) - 4 | Mathematics (Maths) Class 10

Q.13. The following questions consist of two statements - Assertion (A) and Reason (R). Answer these questions selecting the appropriate option given below :    (1 Mark)
(a) Both A and R are true and R is the correct explanation for A.
(b) Both A and R are true and R is not the correct explanation for A.
(c) A is true but R is false.
(d) A is false but R is true.
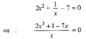
Assertion ( A) : The equation Class 10 Mathematics: CBSE Sample Question Paper (2019-20) - 4 | Mathematics (Maths) Class 10 is a quadratic equation.
Reason (R) : Degree of quadratic equation is 2.
Ans.
Choice (d) is correct.
The given equation is
Class 10 Mathematics: CBSE Sample Question Paper (2019-20) - 4 | Mathematics (Maths) Class 10
⇒ 2x3 + 1 - 7x = 0,  which is not a quadratic equation.

Q.14. The longest diameter of a cone, which can be fully fitted in a cube of edge 8 cm, is_______.    (1 Mark)
Ans.
8 cm; The diameter of the largest cone that can be fully fitted in a cube will be equal to the edge of the cube.

Q.15. Arun has a cubical block with one word written on each face ‘COME TO LEARN GO TO SERVE’. The block is thrown, the probability of getting ‘TO’ = ________.    (1 Mark)
Ans.
1/3
[Number of possible outcomes = 6 ;
Number of favourable outcomes = 2
Required probability = 2/6 =1/3]

Q.16. Find the area of the triangle with vertices (0,0) (6,0) and (0,5)    (1 Mark)
Ans.
  Area of triangle
Class 10 Mathematics: CBSE Sample Question Paper (2019-20) - 4 | Mathematics (Maths) Class 10
Class 10 Mathematics: CBSE Sample Question Paper (2019-20) - 4 | Mathematics (Maths) Class 10
Class 10 Mathematics: CBSE Sample Question Paper (2019-20) - 4 | Mathematics (Maths) Class 10

Q.17.  Find a rational number betweenClass 10 Mathematics: CBSE Sample Question Paper (2019-20) - 4 | Mathematics (Maths) Class 10    (1 Mark)
Ans. 
We know that Class 10 Mathematics: CBSE Sample Question Paper (2019-20) - 4 | Mathematics (Maths) Class 10
Class 10 Mathematics: CBSE Sample Question Paper (2019-20) - 4 | Mathematics (Maths) Class 10
Clearly, 2 is a rational number and it lies between Class 10 Mathematics: CBSE Sample Question Paper (2019-20) - 4 | Mathematics (Maths) Class 10

Q.18. The angle of elevation of the sun when the shadow of a 10 m long pole is Class 10 Mathematics: CBSE Sample Question Paper (2019-20) - 4 | Mathematics (Maths) Class 10 m is    (1 Mark)
Ans.

Class 10 Mathematics: CBSE Sample Question Paper (2019-20) - 4 | Mathematics (Maths) Class 10

Q.19. How many irrational numbers lie between Class 10 Mathematics: CBSE Sample Question Paper (2019-20) - 4 | Mathematics (Maths) Class 10 Write any two of them.    (1 Mark)
Ans.
Infinite irrational numbers lie between Class 10 Mathematics: CBSE Sample Question Paper (2019-20) - 4 | Mathematics (Maths) Class 10 We know that 

Class 10 Mathematics: CBSE Sample Question Paper (2019-20) - 4 | Mathematics (Maths) Class 10 Thus, two irrational numbers lie between
Class 10 Mathematics: CBSE Sample Question Paper (2019-20) - 4 | Mathematics (Maths) Class 10 are 1.4242242224 ... and 1.5050050005.

Q.20. If the HCF of 65 and 117 is expressible in the form 65m -117, find the value of m :    (1 Mark)
Ans.
By the Euclid's division algorithm, HCF of (65, 117) = 13
Since 65m -117 = 13 => m = 2

Section B

Q.21. How many multiples of 4 lie between 10 and 205 ?    (2 Mark)
Ans. Multiples o f 4 lying between 10 and 205 are 12, 16, 20 , ..... , 204.
It is an A.P. with first term, a — 12, common difference, d = 4 and last term = 204.
Let number of terms be n
Class 10 Mathematics: CBSE Sample Question Paper (2019-20) - 4 | Mathematics (Maths) Class 10
Hence, the number of multiples of 4 between 10 and 205 are 49.
Or
Determine the A.F. whose third term is 16 and 7th term exceeds the 5th term by 12.
Ans. 
Let a and d be the first term and common difference of the A.P. It is given that 7th term exceeds 5th term by 12
∴ a7 - a5 = 12
⇒ {a + (7 - 1)d} - {a + (5 - 1 )d} = 12       [∵ an= a + (n - 1)d]
  (a + 6d) - (a + 4d) = 12
  2d = 12
  d = 6   ...(1)
and    a3 = 16
 a + (3-1)d = 16
 a + 2 x 6 = 16     [using(1)]
 a = 16 - 12
⇒ a = 4      ...(2)
Class 10 Mathematics: CBSE Sample Question Paper (2019-20) - 4 | Mathematics (Maths) Class 10 
Class 10 Mathematics: CBSE Sample Question Paper (2019-20) - 4 | Mathematics (Maths) Class 10
The A.P. is 4, 10,16, 22, 28.........

Q.22.  Show that Class 10 Mathematics: CBSE Sample Question Paper (2019-20) - 4 | Mathematics (Maths) Class 10 is an irrational number.
Or
Show that Class 10 Mathematics: CBSE Sample Question Paper (2019-20) - 4 | Mathematics (Maths) Class 10 is irrational.    (2 Mark)
Ans.
Let us assume that Class 10 Mathematics: CBSE Sample Question Paper (2019-20) - 4 | Mathematics (Maths) Class 10 is a rational number.
Class 10 Mathematics: CBSE Sample Question Paper (2019-20) - 4 | Mathematics (Maths) Class 10 p,q are coprimes.      ...(i)
Class 10 Mathematics: CBSE Sample Question Paper (2019-20) - 4 | Mathematics (Maths) Class 10
But this contradicts the fact that Class 10 Mathematics: CBSE Sample Question Paper (2019-20) - 4 | Mathematics (Maths) Class 10  is irrational.
Hence Class 10 Mathematics: CBSE Sample Question Paper (2019-20) - 4 | Mathematics (Maths) Class 10 is an irrational number.
Hence proved. (1)
Or
Let us assume that 6-2√3 is rational number.
Then, it will be of the form a/b  where a, b are coprime integers and b ≠ 0.
Class 10 Mathematics: CBSE Sample Question Paper (2019-20) - 4 | Mathematics (Maths) Class 10
Class 10 Mathematics: CBSE Sample Question Paper (2019-20) - 4 | Mathematics (Maths) Class 10   ...(1)
Since, 6 and a/b  are rational. So, their difference will be rational.
∴ 2 and √3 are rational.
As 2 is rational, so it is true.
But we know that, √3 is irrational.
So, this contradicts the fact that √3 is irrational. Therefore, our assumption is wrong.
Hence, 6 - 2√3 is irrational
Hence proved. (1)

Q.23. In the given figure, Class 10 Mathematics: CBSE Sample Question Paper (2019-20) - 4 | Mathematics (Maths) Class 10 ar (ΔABC) = 36 cm2. Find the area of quadrilateral BCED.    (2 Mark)
Class 10 Mathematics: CBSE Sample Question Paper (2019-20) - 4 | Mathematics (Maths) Class 10
In a ΔABC, D is the mid-point of BC and E is the midpoint of AD. If BE produced meets AC in F, then prove that AF 1/3 AC. 
Ans. 

Class 10 Mathematics: CBSE Sample Question Paper (2019-20) - 4 | Mathematics (Maths) Class 10
Class 10 Mathematics: CBSE Sample Question Paper (2019-20) - 4 | Mathematics (Maths) Class 10
Now, ar (quad. BCED)
= ar(ΔABC)- ar (ΔADE) 36 -16 = 20 cm
Or
Through D, draw DG || BF intersecting AC in G.
In ΔCBF, D is the mid-point of BC and DG || BF
⇒ G is the mid-point of CF
i.e., CG - GF ...(i)
Again, in ΔADG, E is the mid-point of AD and EF is parallel to DG
⇒ F is the mid-point of AG
Class 10 Mathematics: CBSE Sample Question Paper (2019-20) - 4 | Mathematics (Maths) Class 10
Class 10 Mathematics: CBSE Sample Question Paper (2019-20) - 4 | Mathematics (Maths) Class 10
 
Q.24. In Fig., AP and BP are tangents to a circle with centre O, such that AP = 5 cm and ∠APB - 60°. Find the length of chord AB.    (2 Mark)
Class 10 Mathematics: CBSE Sample Question Paper (2019-20) - 4 | Mathematics (Maths) Class 10
Ans.
PA = PB  
or, ∠PAB =∠PBA = 60°  
∴ ΔPAB is an equilateral triangle.
Hence, AB - PA - 5 cm.

Q.25. A card is drawn at random from a pack o f 52 playing cards. Find the probability of drawing a card which is neither a spade nor a king.    (2 Mark)
Ans. A pack of cards contains 52 cards.
∴ Total number of possible outcomes in the sample space = 52
Number of spade cards =13 and number of king cards other than spade = 3
∴ Total number of cards which are neither a spade nor a king = 52 - (13 + 3) = 3
Probability of drawing a card which is neither a spade nor a king
Class 10 Mathematics: CBSE Sample Question Paper (2019-20) - 4 | Mathematics (Maths) Class 10

Q.26. Calculate the mode for the following frequency distribution    (2 Mark)
Class 10 Mathematics: CBSE Sample Question Paper (2019-20) - 4 | Mathematics (Maths) Class 10
Ans.
As the class 40-50 has maximum frequency, so it is the modal class.
Class 10 Mathematics: CBSE Sample Question Paper (2019-20) - 4 | Mathematics (Maths) Class 10

Section C

Q.27. Prove that (3+2√5) is an irrational number, given that √5 is an irrational number.    (3 Mark)
Ans.
Suppose 3+2√5 is a rational number. Then there exists co-prime integers a and b such that
Class 10 Mathematics: CBSE Sample Question Paper (2019-20) - 4 | Mathematics (Maths) Class 10
Class 10 Mathematics: CBSE Sample Question Paper (2019-20) - 4 | Mathematics (Maths) Class 10
Class 10 Mathematics: CBSE Sample Question Paper (2019-20) - 4 | Mathematics (Maths) Class 10
⇒ Class 10 Mathematics: CBSE Sample Question Paper (2019-20) - 4 | Mathematics (Maths) Class 10 is a rational number,
Class 10 Mathematics: CBSE Sample Question Paper (2019-20) - 4 | Mathematics (Maths) Class 10
This contradicts the given fact thatClass 10 Mathematics: CBSE Sample Question Paper (2019-20) - 4 | Mathematics (Maths) Class 10 is an irrational number. So, our supposition is wrong.
Hence, 3+2 √5 is an irrational number.

Q.28. Read the following passage and answer the question that follows:
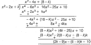
A mathematics teacher Ramnivas Mathuriya organised a workshop for Class Xth students in the school auditorium to investigate the practice of students about subject knowledge. In order he write a polynomial x4 - 6x3 +16x2 - 25x + 10 on blackboard. After that he said the students, if we divide above polynomial by x2 - 2x + k, then the remainder comes out to be in the form of x + a, then find the value of k.    (3 Mark)
Ans.
By using long division method,
divide x4- 6x3 + 16x2 - 25x + 10
by x2 - 2x + k, we get
Class 10 Mathematics: CBSE Sample Question Paper (2019-20) - 4 | Mathematics (Maths) Class 10
Here, remainder = (2k - 9)x - (8 - k)k +10
But the remainder is given in the form of x+ a,
∴ (2k - 9)x - (8 - k)k +10 = x + a
On comparing the coefficients of x and constant term both sides, we get
2k - 9 = 1 and - (8 - k)k + 10 = a  
⇒ 2k = 10 and a = - (8 - k) k + 10
⇒ k = 5 and a = - 3x5 + 10
= -15 + 10 = -5
∴ k = 5 and a = - 5  

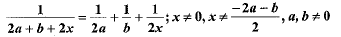
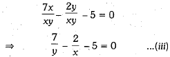
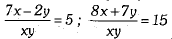
Q.29. Solve the following pair of equations by reducing them to a pair of linear equations:    (3 Mark)
Class 10 Mathematics: CBSE Sample Question Paper (2019-20) - 4 | Mathematics (Maths) Class 10
Or
In a competitive examination, one mark is awarded for each correct answer while 1/2 mark is deducted for every wrong answer 120 questions and got 90 marks. How many questions did she answer correctly ?
Ans.
Given equations are, Class 10 Mathematics: CBSE Sample Question Paper (2019-20) - 4 | Mathematics (Maths) Class 10
Class 10 Mathematics: CBSE Sample Question Paper (2019-20) - 4 | Mathematics (Maths) Class 10  ...(ii)
Equations (i) and (ii) can be rewritten as
Class 10 Mathematics: CBSE Sample Question Paper (2019-20) - 4 | Mathematics (Maths) Class 10
Class 10 Mathematics: CBSE Sample Question Paper (2019-20) - 4 | Mathematics (Maths) Class 10
Class 10 Mathematics: CBSE Sample Question Paper (2019-20) - 4 | Mathematics (Maths) Class 10
Class 10 Mathematics: CBSE Sample Question Paper (2019-20) - 4 | Mathematics (Maths) Class 10
Class 10 Mathematics: CBSE Sample Question Paper (2019-20) - 4 | Mathematics (Maths) Class 10
Hence, the required solution is x = 1 and y =1.
Or
Let x and y be the number of correct answers and wrong answers.
According to the statement of the question, we have
x + y = 120 ...(i)
Class 10 Mathematics: CBSE Sample Question Paper (2019-20) - 4 | Mathematics (Maths) Class 10
Hence, total number of questions correctly answered by Jayanti are 100.

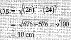
Q.30. AB is a chord of circle with centre O. At B, a tangent PB is drawn such that its length is 24 cm. The distance of P from the centre is 26 cm. If the chord AB is 16 cm, find its distance from the centre.    (3 Mark)
Ans.
Given, AB is a chord of circle with centre 0 and tangent PB = 24cm, OP = 26cm.
Construction: Join O to B and draw OC ⊥ AB. By Pythagoras theorem,
Class 10 Mathematics: CBSE Sample Question Paper (2019-20) - 4 | Mathematics (Maths) Class 10
Class 10 Mathematics: CBSE Sample Question Paper (2019-20) - 4 | Mathematics (Maths) Class 10
Class 10 Mathematics: CBSE Sample Question Paper (2019-20) - 4 | Mathematics (Maths) Class 10
(Perpendicular drawn from the centre to a chord bisects it.)
OB = 10 cm
OC2 = OB- BC2
=10- 82 
OC2 = 36
OC = 6 cm
∴ Distance of the chord from the centre = 6 cm.
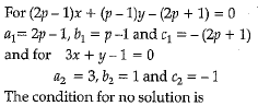
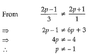
Or
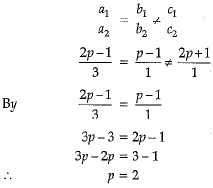
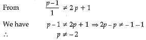
Class 10 Mathematics: CBSE Sample Question Paper (2019-20) - 4 | Mathematics (Maths) Class 10
Class 10 Mathematics: CBSE Sample Question Paper (2019-20) - 4 | Mathematics (Maths) Class 10
Class 10 Mathematics: CBSE Sample Question Paper (2019-20) - 4 | Mathematics (Maths) Class 10
Class 10 Mathematics: CBSE Sample Question Paper (2019-20) - 4 | Mathematics (Maths) Class 10
Hence, System has no solution when P = 2.

Q.31. ABC is a right-angled triangle right angled at A. A circle is inscribed in it. The lengths of the two sides containing the right angle are 6 cm and 8 cm. Find the radius of the circle.    (3 Mark)
Ans.
Using Pythagoras theorem in ABAC, we have
BC2 =AB2 + AC2
⇒ BC2 = 62 + 82 = 100
⇒ BC = 10 cm
Let O be the centre of the circle. The circle touches sides AB, BC and CA at E, F and G respectively. As tangent at any point of a circle is perpendicular to the radius through the point.
∴ OE ⊥ AB, OF ⊥ BC, OG ⊥ CA
Join O to A, B and C.
Now,
Class 10 Mathematics: CBSE Sample Question Paper (2019-20) - 4 | Mathematics (Maths) Class 10
Class 10 Mathematics: CBSE Sample Question Paper (2019-20) - 4 | Mathematics (Maths) Class 10

Q.32. Prove that    (3 Mark)
(1 + cot A + tan A)(sin A - cos A)
sec3 A - cosecA
= sin2 A • cos2 A
Ans.

Class 10 Mathematics: CBSE Sample Question Paper (2019-20) - 4 | Mathematics (Maths) Class 10
Class 10 Mathematics: CBSE Sample Question Paper (2019-20) - 4 | Mathematics (Maths) Class 10

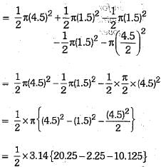
Q.33. In the given figure, three seniicirc/es A, B and C hawing diameter 3 cm each, another semicircle E hawing diameter 9 cm and a circle D of diameter 4 .5 cm.
Find the area of the shaded region.  [Use π = 3.14]    (3 Mark)
Class 10 Mathematics: CBSE Sample Question Paper (2019-20) - 4 | Mathematics (Maths) Class 10
Ans.
For semicircles A, B and C, we have diameter — 3 cm, radius = 1.5 cm
Area of semicircle A = 1/2π(1.5)2 cm
Area of semicircle B = 1/2π(1.5)2 cm2
Area of semicircle C = 1/2π(1.5)2 cm2
For circle D, we have
diameter = 4.5 cm ⇒ radius = 4.5/2 cm
Area of circle D = Class 10 Mathematics: CBSE Sample Question Paper (2019-20) - 4 | Mathematics (Maths) Class 10
For semicircle E, we have
diameter = 9 cm ⇒ radius = 4.5 cm
Area of semicircle E = 1/2π(4.5)2 cm2  
Now, Area of shaded region
= area of E + area of B - area of A - area of C - area of D
Class 10 Mathematics: CBSE Sample Question Paper (2019-20) - 4 | Mathematics (Maths) Class 10
= 1.57 {7.875}
= 12.36375 cm

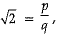
Q.34. Prove that √2 is an irrational number.    (3 Mark)
Ans.
Let √2 be a rational number.
∴ Class 10 Mathematics: CBSE Sample Question Paper (2019-20) - 4 | Mathematics (Maths) Class 10 
where p and q are co-prime integers and q ≠ 0
On squaring both the sides, we get,
Or
Class 10 Mathematics: CBSE Sample Question Paper (2019-20) - 4 | Mathematics (Maths) Class 10
Or p2=2q
∴ p2 is divisible by 2
∴ p is divisible by 2.    ...(i)
Class 10 Mathematics: CBSE Sample Question Paper (2019-20) - 4 | Mathematics (Maths) Class 10
∴ q is divisible by 2     ...(ii)
From (i) and (ii), p and q are divisible by 2, which contradicts the fact that p and q are co-primes. Hence, our assumption is false.
∴ √2 is an irrational number.

Section D

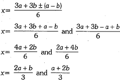
Q.35. Solve for x :    (4 Mark)
Class 10 Mathematics: CBSE Sample Question Paper (2019-20) - 4 | Mathematics (Maths) Class 10
Ans. The given equation is
Class 10 Mathematics: CBSE Sample Question Paper (2019-20) - 4 | Mathematics (Maths) Class 10
Class 10 Mathematics: CBSE Sample Question Paper (2019-20) - 4 | Mathematics (Maths) Class 10
Class 10 Mathematics: CBSE Sample Question Paper (2019-20) - 4 | Mathematics (Maths) Class 10   [On dividing by (b + 2a)]
Cross-multiplying, we get
Class 10 Mathematics: CBSE Sample Question Paper (2019-20) - 4 | Mathematics (Maths) Class 10
⇒ x + a =0 or 2x + b = 0
⇒ x= - a or x = - b/2
Hence, the roots of the equation be - a and -b/2.
Or
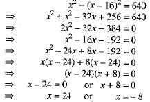
The sum of the areas of two squares is 640 m . If the difference o f their perim eters is 64 m, find the sides of the square.
Ans.
Let the sides of two squares be x m and y m such that x > y.
sides of two squares be x m and y m such that x > y.
Sum of their areas =(x2 + y2) m2 
and the difference of their perimeters = (4x - 4y) m
According to the given condition, we have
x2 + y2 = 640   ...(1)
and 4x - 4y = 64  
⇒ x - y = 16   ...(2)
From (2), we get
y = x - 16   ...(3)
Putting the value of y from (3) in (1), we get
Class 10 Mathematics: CBSE Sample Question Paper (2019-20) - 4 | Mathematics (Maths) Class 10
⇒ x = 24   [∴ Side (x) cannot be negative]
From (3), we get y = x - 16 = 24 - 16 = 8.
Hence, the sides of two squares are 24 m and 8 m.

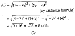
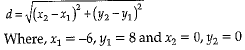
Q.36. Find the length of the median drawn through A on BC of a ΔABC, whose vertices are A(7,-3), B(5,3) and C(3,-1) and also find the distance of the point A(7,-3) from the origin.
Or
Find The centre of a circle passing through the points (6,-6), (3,-7) and (3,3).    (4 Mark)
Ans.
The median from a vertex of a triangle bisects the opposite side, to that vertex. So, let AD be the median through A, then D be the mid-point of the side BC.
Class 10 Mathematics: CBSE Sample Question Paper (2019-20) - 4 | Mathematics (Maths) Class 10   
Now, coordinates of D = Class 10 Mathematics: CBSE Sample Question Paper (2019-20) - 4 | Mathematics (Maths) Class 10
Class 10 Mathematics: CBSE Sample Question Paper (2019-20) - 4 | Mathematics (Maths) Class 10
and length of median AD is given by
Class 10 Mathematics: CBSE Sample Question Paper (2019-20) - 4 | Mathematics (Maths) Class 10
Let C (x, y) be the centre of the circle passing through the points P(6,-6), Q(3,-7) and R(3,3)
Class 10 Mathematics: CBSE Sample Question Paper (2019-20) - 4 | Mathematics (Maths) Class 10
Class 10 Mathematics: CBSE Sample Question Paper (2019-20) - 4 | Mathematics (Maths) Class 10
Class 10 Mathematics: CBSE Sample Question Paper (2019-20) - 4 | Mathematics (Maths) Class 10

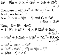
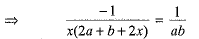
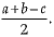
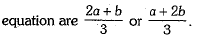
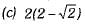
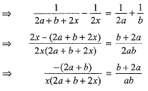
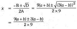
Q. 37. Solve the following equation f or x : 9x2- 9(a+ b)x + 2a2 + 5ab + 2b2 = 0
Or
Two water.taps together can fill a tank in Class 10 Mathematics: CBSE Sample Question Paper (2019-20) - 4 | Mathematics (Maths) Class 10 hours. The tap of smaller diameter takes 5 hours more than the larger one to fill the tank separately. Find the time in which each tap can separately fill the tank.    (4 Mark)
Ans.
Given quadratic equation is
Class 10 Mathematics: CBSE Sample Question Paper (2019-20) - 4 | Mathematics (Maths) Class 10
Real and unequal roots.
By using quadratic formula, we have
Class 10 Mathematics: CBSE Sample Question Paper (2019-20) - 4 | Mathematics (Maths) Class 10
Class 10 Mathematics: CBSE Sample Question Paper (2019-20) - 4 | Mathematics (Maths) Class 10
Hence, roots of the given quadratic
Class 10 Mathematics: CBSE Sample Question Paper (2019-20) - 4 | Mathematics (Maths) Class 10
Time taken by two taps together to fill the tank Class 10 Mathematics: CBSE Sample Question Paper (2019-20) - 4 | Mathematics (Maths) Class 10
Let V be the volume of tank and x the number of hours required by the larger tap to fill the tank.
∴ Number of hours required by the smaller tap to fill the tank = (x + 5)
∴ Portion of the tank filled by larger tap in 1 hour = v/x
Portion of the tank filled by smaller tap in
Class 10 Mathematics: CBSE Sample Question Paper (2019-20) - 4 | Mathematics (Maths) Class 10
Class 10 Mathematics: CBSE Sample Question Paper (2019-20) - 4 | Mathematics (Maths) Class 10
Now, we have a = 9, b = -155, c = - 500 By using quadratic formula, we obtain
Class 10 Mathematics: CBSE Sample Question Paper (2019-20) - 4 | Mathematics (Maths) Class 10
But -25/9 is not possible because time cannot be negative.
Hence, time required by the larger tap is x = 20 hours and time required by the smaller tap is
x + 5 = 20 + 5 = 25 hours.

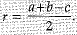
Q.38. a, b and c are the sides of a right triangle, where c is the hypotenuse. A circle, of radius r, touches the sides of the triangle. Prove that r = Class 10 Mathematics: CBSE Sample Question Paper (2019-20) - 4 | Mathematics (Maths) Class 10 Construct a triangle ABC with BC = 7 cm, ∠ B = 60° and AB = 6 cm. Construct another triangle whose sides are (3/4) times of the corresponding sides of ΔABC.    (4 Mark)
Ans.
 
Class 10 Mathematics: CBSE Sample Question Paper (2019-20) - 4 | Mathematics (Maths) Class 10
Let circle touches CB at M, CA at N and AB at P.
Now OM ⊥ CB and ON ⊥ AC  (radius ⊥ tangent)
OM = ON   (radii)
CM = CN     (Tangents)
∴ OMCN is a square.
Let OM = r = CM = CN
AN = AP, CN = CM and BM = BP  (tangent from external point)
AN = AP
⇒ AC -CN = AB-BP
b-r = c-BM
b-r = c-(a-r)
b-r = c-a+r
2r - a+b-c
Class 10 Mathematics: CBSE Sample Question Paper (2019-20) - 4 | Mathematics (Maths) Class 10
Or
Steps of construction:
1. Draw a line segment BC = 7 cm
Class 10 Mathematics: CBSE Sample Question Paper (2019-20) - 4 | Mathematics (Maths) Class 10
2. At point B draw a line BY making an angle of 60°.
3. With centre B mark an arc A of length 6 cm.
4. Join CA,
5. Draw a ray BX making an acute angle with BC.
6. Locate four points B1, B2, B3 and B4 on the line segment BX at equal distance.
7. Join B4C. Draw a parallel line through B3 to B4C intersecting line segment BC at C.
8. Through C' draw a line parallel to AC intersecting line segment AB at A'.
Hence ΔA'BC' is the required triangle.

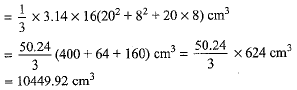
Q.39. A container opened at the top and made up of a metal sheet, is in the form of a frustum of a cone of height 16 cm with radii of its lower and upper ends as 8 cm and 20 cm respectively. Find the cost of milk which can completely fill the container, at the rate of Rs 50 per litre. Also find the cost of metal sheet used to make the container, if it costs Rs 10 per 100 cm2.     [Take n = 3.14]     (4 Mark)
Ans.
Let r and R be radii of the lower and upper end of the container in the form of a frustum of a cone and h, / be its height and slant height respectively.
Radius of the lower end, r - 8 cm; radius of the upper end, R - 20 cm and height of the container, h - 16 cm.
Let V be the volume of the container. Then
Volume of the container = Class 10 Mathematics: CBSE Sample Question Paper (2019-20) - 4 | Mathematics (Maths) Class 10
Class 10 Mathematics: CBSE Sample Question Paper (2019-20) - 4 | Mathematics (Maths) Class 10
Class 10 Mathematics: CBSE Sample Question Paper (2019-20) - 4 | Mathematics (Maths) Class 10
Class 10 Mathematics: CBSE Sample Question Paper (2019-20) - 4 | Mathematics (Maths) Class 10
Class 10 Mathematics: CBSE Sample Question Paper (2019-20) - 4 | Mathematics (Maths) Class 10
Class 10 Mathematics: CBSE Sample Question Paper (2019-20) - 4 | Mathematics (Maths) Class 10
Let S be the surface area of the metal sheet used to make the container. Surface area of the metal sheet used to make the container is given by
Class 10 Mathematics: CBSE Sample Question Paper (2019-20) - 4 | Mathematics (Maths) Class 10
Class 10 Mathematics: CBSE Sample Question Paper (2019-20) - 4 | Mathematics (Maths) Class 10
Cost of metal sheet = Rs 10 per 100 cm
Class 10 Mathematics: CBSE Sample Question Paper (2019-20) - 4 | Mathematics (Maths) Class 10

Q.40.  The following table gives the height of trees
Class 10 Mathematics: CBSE Sample Question Paper (2019-20) - 4 | Mathematics (Maths) Class 10
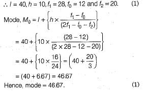
Draw 'less than ogive' and ‘more than ogive'. Also, find the median.
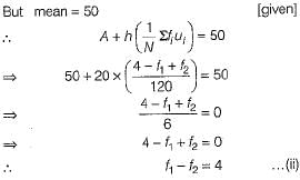
Or
The mean of the following table is 50. The frequencies f1 and f2 in class 20-40 and 60-80 are missing. Find the missing frequencies.    (4 Mark)
Class 10 Mathematics: CBSE Sample Question Paper (2019-20) - 4 | Mathematics (Maths) Class 10
Ans.
Given distribution is cumulative frequency distribution of less than type.
Now, we mark the upper limits along X-axis and cumulative frequencies along Y-axis, on the graph paper. Then, plot the points (7,26), (14, 57), (21,92), (28, 134), (35, 216), (42, 287),  (49, 341) and (56, 360). Join all these points by a freehand smooth curve to obtain an ogive of less than type,
Now, let us form the cumulative frequency distribution of more than type, as shown below
Class 10 Mathematics: CBSE Sample Question Paper (2019-20) - 4 | Mathematics (Maths) Class 10
Now, we plot the points (0, 360), (7, 334), (14, 303), (21,268), (28, 226), (35,144), (42,73) and (49,19) on the same graph paper by choosing a suitable scale. Join all these points by a freehand smooth curve to obtain an ogive of more than type,
Class 10 Mathematics: CBSE Sample Question Paper (2019-20) - 4 | Mathematics (Maths) Class 10
The two ogives intersect at point A. Now, we draw a perpendicular line from A to the X-axis, the intersection point on X-axis is 31.9. Thus, the required median is 31.9
or
Let us assumed mean be A = 50 and h = 20.
Table for step deviation is given below
Class 10 Mathematics: CBSE Sample Question Paper (2019-20) - 4 | Mathematics (Maths) Class 10
We have, Class 10 Mathematics: CBSE Sample Question Paper (2019-20) - 4 | Mathematics (Maths) Class 10[given]
Class 10 Mathematics: CBSE Sample Question Paper (2019-20) - 4 | Mathematics (Maths) Class 10
Class 10 Mathematics: CBSE Sample Question Paper (2019-20) - 4 | Mathematics (Maths) Class 10
On solving Eqs. (i) and (ii), we get
f1 = 28 and f2 = 24

The document Class 10 Mathematics: CBSE Sample Question Paper (2019-20) - 4 | Mathematics (Maths) Class 10 is a part of the Class 10 Course Mathematics (Maths) Class 10.
All you need of Class 10 at this link: Class 10
127 videos|584 docs|79 tests

FAQs on Class 10 Mathematics: CBSE Sample Question Paper (2019-20) - 4 - Mathematics (Maths) Class 10

1. What are the key topics covered in the Class 10 Mathematics CBSE Sample Question Paper for 2019-20?
Ans. The key topics typically covered in the Class 10 Mathematics CBSE Sample Question Paper include Real Numbers, Polynomials, Pair of Linear Equations in Two Variables, Quadratic Equations, Arithmetic Progressions, Triangles, Coordinate Geometry, Statistics, and Probability.
2. How can I effectively use the CBSE Sample Question Paper to prepare for my Class 10 Mathematics exam?
Ans. To effectively use the CBSE Sample Question Paper for preparation, start by solving the paper under exam conditions to practice time management. After completing it, review your answers, focusing on mistakes to understand your weaknesses. Regular practice of previous years' papers and sample papers can also help in familiarizing yourself with the exam pattern.
3. Are the questions in the CBSE Sample Question Paper representative of the actual Class 10 Mathematics exam?
Ans. Yes, the questions in the CBSE Sample Question Paper are designed to be representative of the actual Class 10 Mathematics exam. They follow the syllabus and exam format, helping students to gauge the type and difficulty of questions they may encounter in the real exam.
4. What is the marking scheme for the Class 10 Mathematics exam according to the CBSE Sample Question Paper?
Ans. The marking scheme for the Class 10 Mathematics exam typically includes a variety of question types such as very short answer (1 mark), short answer (2 marks), and long answer questions (3 or 4 marks). The total marks for the Mathematics examination usually add up to 80, with an additional 20 marks for internal assessment.
5. Where can I find additional resources to help with my Class 10 Mathematics preparation alongside the CBSE Sample Question Paper?
Ans. Additional resources for Class 10 Mathematics preparation include NCERT textbooks, reference books from popular authors, online tutorials, educational websites, and mobile apps designed for CBSE students. Additionally, joining study groups or online forums can provide support and further clarification on challenging topics.
Related Searches

mock tests for examination

,

past year papers

,

Sample Paper

,

Semester Notes

,

Class 10 Mathematics: CBSE Sample Question Paper (2019-20) - 4 | Mathematics (Maths) Class 10

,

pdf

,

Exam

,

shortcuts and tricks

,

video lectures

,

Objective type Questions

,

Important questions

,

ppt

,

MCQs

,

study material

,

practice quizzes

,

Viva Questions

,

Summary

,

Class 10 Mathematics: CBSE Sample Question Paper (2019-20) - 4 | Mathematics (Maths) Class 10

,

Free

,

Class 10 Mathematics: CBSE Sample Question Paper (2019-20) - 4 | Mathematics (Maths) Class 10

,

Extra Questions

,

Previous Year Questions with Solutions

;