Chemistry Exam  >  Chemistry Notes  >  Favorskii Rearrangement

Favorskii Rearrangement - Chemistry PDF Download

The transformation of α-haloketones to esters with rearranged carbon skeleton by the treatment with alkoxide ions is called Favorskii rearrangement. Alkali hydroxides or amines in place of metal alkoxides give acids or amides respectively.
Cyclic α-haloketones give esters with ring contraction.
Favorskii Rearrangement - Chemistry

Mechanism: 
The mechanism of the rearrangement has been the subject of much investigation.
It was observed that both the isomeric ketones. (I) and (II) gave β-phenylpropionic acid on treatment with hydroxide ions.
Favorskii Rearrangement - ChemistryThis observation indicates that the chlorine is not being directly replaced by the incoming group from the other side of the carbonyl group, as otherwise (II) would give C6H5CH(CH3)COOH which is not obtained. Further, it was observed that a cyclic ketone (2-chlorocyclohexanone) with labelled carbon bearing the chlorine atom, on treatment with alkoxide ion gave a product in which equal amounts of 14C were present at the α-carbon and at the β-carbon. This suggests a symmetrical cyclopropanone intermediate which opens up with equal ease on either side of the carbonyl group.
On the basis of the above observations, the following mechanism has been suggested.
The base abstracts an a-hydrogen to produce a carbanion. Intramolecular nucleophilic attack on the carbon bearing the chlorine displaces the chlorine atom with the formation of a transient symmetrical cyclopropanone ring. Subsequent attack of the alkoxide ion on the carbonyl carbon opens the ring with equal ease on either side of the carbonyl carbon so that the product contains 50% of 14C at the a-position and 50% at the β-position.
Favorskii Rearrangement - ChemistryIn case of unsymmetrical ketones, the unsymmetrical cyclopropanone ring which is formed, opens up to give the most stable carbanion. Thus, the two isomeric ketones (I) and (II) give the same cyclic intermediate (III) which may open on either side of the carbonyl group to give two carbanions (IV) and (V).
Favorskii Rearrangement - ChemistryFavorskii Rearrangement - ChemistryThe carbanion (IV) being resonance-stabilized is preferentially formed so that the product is C6H5CH2CH2COOR. Hence, both (I) and (II) give the same product.
Although the cyclopropanone intermediate has not been isolated, it has been trapped to give an adduct with furan in one case at least.
Favorskii Rearrangement - ChemistryThe formation of cyclopropanone intermediate probably proceeds via an intramolecular 1,3-elimination involving a backside attack of the carbanion. Thus, in nonpolar media the cyclic α-haloketone (I) with equatorial halogen underwent rearrangement but (II) with axial halogen did not, since the backside attack is restricted. (Stork and Borowitz)
Favorskii Rearrangement - ChemistryFavorskii Rearrangement - ChemistryAdditional evidence in support of the mechanism comes from the observation that the diastereomers (III) and (IV) gave (V) and (VI) respectively indicating that the carbon atom bearing the chlorine atom underwent inversion as is the requirement for SN2 displacement reactions. The reaction is stereospecific.
Favorskii Rearrangement - ChemistryFavorskii Rearrangement - ChemistryFor simplicity, this reaction may be represented as given below.
Favorskii Rearrangement - ChemistryKetones not having α-hydrogen also undergo similar rearrangement in some cases. The mechanism for this is, in part, similar to benzilic acid rearrangement and is called semibenzilic mechanism.
Stereospecific reaction-When a given stereomer gives one product while the other stereomer gives the opposite product, the reaction is called stereospecific.
Favorskii Rearrangement - ChemistryEven when there is a suitably placed ct-hydrogen, the rearrangements may follow semibenzilic pattern in some compounds.
Thus, 2-bromocyclobutanone undergoes Favorskii rearrangement when treated with water as the base. When treated with D20 , no deuterium is incorporated in the ring.
Cyclopropanone intermediate mechanism suggests incorporation of deuterium in the ring.
Favorskii Rearrangement - ChemistryHowever, semibenzilic mechanism can explain the formation of the actual product without deuterium in the ring.
Favorskii Rearrangement - ChemistryProbably, the strain in the bicyclobutanone ring restricts the operation of cyclopropanone mechanism.
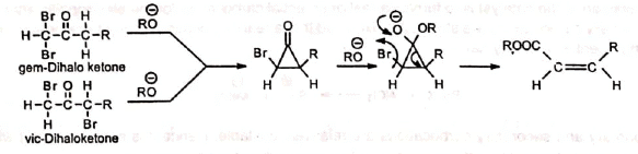
Favorskii rearrangement of α1α (gem) and αα' (vic) dihaloketones produce α, β-unsaturated esters.
Favorskii Rearrangement - ChemistryThe reaction is stereoselective as it gives cis olefin.

The document Favorskii Rearrangement - Chemistry is a part of Chemistry category.
All you need of Chemistry at this link: Chemistry

FAQs on Favorskii Rearrangement - Chemistry

1. What is the Favorskii Rearrangement?
Ans. The Favorskii Rearrangement is a chemical reaction that involves the rearrangement of a carbonyl compound in the presence of a base. It leads to the formation of a new carbon-carbon bond and results in the migration of an alkyl group from one carbon atom to another.
2. What are the applications of the Favorskii Rearrangement?
Ans. The Favorskii Rearrangement has several applications in organic synthesis. It is commonly used to synthesize complex organic compounds, such as natural products and pharmaceuticals. It can also be employed to introduce functional groups at specific positions in a molecule.
3. What are the reaction conditions required for the Favorskii Rearrangement?
Ans. The Favorskii Rearrangement typically requires a strong base, such as hydroxide ion (OH-), to initiate the reaction. It is often carried out in a polar solvent, such as water or alcohol. The reaction is usually performed at elevated temperatures to facilitate the rearrangement.
4. What is the mechanism of the Favorskii Rearrangement?
Ans. The Favorskii Rearrangement proceeds through a two-step mechanism. In the first step, the base abstracts a proton from the α-carbon adjacent to the carbonyl group, generating a carbanion. In the second step, the carbanion undergoes a nucleophilic attack on the carbonyl carbon, leading to the migration of the alkyl group and formation of a new carbonyl compound.
5. Are there any limitations or challenges associated with the Favorskii Rearrangement?
Ans. Yes, the Favorskii Rearrangement has certain limitations and challenges. It is most effective with α-halo carbonyl compounds, and the choice of base and solvent can greatly influence the reaction outcome. Additionally, side reactions, such as elimination or competing rearrangements, may occur in some cases. Careful optimization of reaction conditions is necessary to achieve the desired product selectively.
Download as PDF

Top Courses for Chemistry

Related Searches

Semester Notes

,

Objective type Questions

,

Important questions

,

study material

,

Extra Questions

,

Favorskii Rearrangement - Chemistry

,

ppt

,

video lectures

,

pdf

,

Free

,

Exam

,

mock tests for examination

,

Previous Year Questions with Solutions

,

Sample Paper

,

past year papers

,

Viva Questions

,

Summary

,

MCQs

,

Favorskii Rearrangement - Chemistry

,

shortcuts and tricks

,

practice quizzes

,

Favorskii Rearrangement - Chemistry

;