JEE Exam  >  JEE Notes  >  Mathematics (Maths) for JEE Main & Advanced  >  NCERT Exemplar: Application of Derivatives- 1

NCERT Exemplar: Application of Derivatives- 1 | Mathematics (Maths) for JEE Main & Advanced PDF Download

Q.1. A spherical ball of salt is dissolving in water in such a manner that the rate of decrease of the volume at any instant is proportional to the surface. Prove that the radius is decreasing at a constant rate.
Ans.
Ball of salt is spherical
∴ Volume of ball,NCERT Exemplar: Application of Derivatives- 1 | Mathematics (Maths) for JEE Main & Advanced where r = radius of the ball
As per the question,NCERT Exemplar: Application of Derivatives- 1 | Mathematics (Maths) for JEE Main & Advanced where S = surface area of the ball
NCERT Exemplar: Application of Derivatives- 1 | Mathematics (Maths) for JEE Main & Advanced[∵ S = 4pr2]
NCERT Exemplar: Application of Derivatives- 1 | Mathematics (Maths) for JEE Main & Advanced
NCERT Exemplar: Application of Derivatives- 1 | Mathematics (Maths) for JEE Main & Advanced(K = Constant of proportionality)
NCERT Exemplar: Application of Derivatives- 1 | Mathematics (Maths) for JEE Main & Advanced
NCERT Exemplar: Application of Derivatives- 1 | Mathematics (Maths) for JEE Main & Advanced
Hence, the radius of the ball is decreasing at constant rate.

Q.2. If the area of a circle increases at a uniform rate, then prove that perimeter varies inversely as the radius.
Ans.
We know that:
Area of circle, A = πr2, where r = radius of the circle.
and perimeter = 2πr
As per the question,
NCERT Exemplar: Application of Derivatives- 1 | Mathematics (Maths) for JEE Main & Advanced= K, where K = constant
NCERT Exemplar: Application of Derivatives- 1 | Mathematics (Maths) for JEE Main & Advanced
NCERT Exemplar: Application of Derivatives- 1 | Mathematics (Maths) for JEE Main & Advanced...(1)
Now Perimeter c = 2πr
Differentiating both sides w.r.t., t, we get
NCERT Exemplar: Application of Derivatives- 1 | Mathematics (Maths) for JEE Main & Advanced
NCERT Exemplar: Application of Derivatives- 1 | Mathematics (Maths) for JEE Main & Advanced[From (1)]
NCERT Exemplar: Application of Derivatives- 1 | Mathematics (Maths) for JEE Main & Advanced
Hence, the perimeter of the circle varies inversely as the radius of the circle.

Q.3. A kite is moving horizontally at a height of 151.5 meters. If the speed of kite is 10 m/s, how fast is the string being let out; when the kite is 250 m away from the boy who is flying the kite? The height of boy is 1.5 m.
Ans.
Given that height of the kite (h) = 151.5 m
Speed of the kite(V) = 10 m/s
Let FD be the height of the kite and AB be the height of the boy.
Let AF = x m
∴ BG = AF = x
m andNCERT Exemplar: Application of Derivatives- 1 | Mathematics (Maths) for JEE Main & Advanced
NCERT Exemplar: Application of Derivatives- 1 | Mathematics (Maths) for JEE Main & Advanced
From the figure, we get that
GD = DF – GF ⇒ DF - AB
= (151.5 – 1.5) m = 150 m [∵ AB = GF]
Now in ΔBGD,
BG2 + GD2 = BD2 (By Pythagoras Theorem)
⇒ x2 + (150)2 = (250)2
⇒ x2 + 22500 = 62500 ⇒ x2 = 62500 – 22500
⇒ x2 = 40000 ⇒ x = 200 m
Let initially the length of the string be y m
∴ In ΔBGD
BG2 + GD2 = BD2 ⇒ x2 + (150)2 = y2
Differentiating both sides w.r.t., t, we get
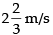
NCERT Exemplar: Application of Derivatives- 1 | Mathematics (Maths) for JEE Main & AdvancedNCERT Exemplar: Application of Derivatives- 1 | Mathematics (Maths) for JEE Main & Advanced
⇒ 2 x 200 x 10 = 2 x 250NCERT Exemplar: Application of Derivatives- 1 | Mathematics (Maths) for JEE Main & Advanced
NCERT Exemplar: Application of Derivatives- 1 | Mathematics (Maths) for JEE Main & Advanced
Hence, the rate of change of the length of the string is 8 m/s.

Q.4. Two  men A and B start with velocities v at the same time from the junction of two roads inclined at 45° to each other. If they travel by different roads, find the rate at which they are being separated.
Ans.
Let P be any point at which the two roads are inclined at an angle of 45°.
Two men A and B are moving along the roads PA and PB respectively with the same speed ‘V’.
Let A and B be their final positions such that AB = y
NCERT Exemplar: Application of Derivatives- 1 | Mathematics (Maths) for JEE Main & Advanced
∠APB = 45° and they move with the same speed.
∴ ∠APB is an isosceles triangle. Draw NCERT Exemplar: Application of Derivatives- 1 | Mathematics (Maths) for JEE Main & Advanced 
AB = y ∴NCERT Exemplar: Application of Derivatives- 1 | Mathematics (Maths) for JEE Main & Advancedand PA = PB = x (let)
∠APQ = ∠BPQ =NCERT Exemplar: Application of Derivatives- 1 | Mathematics (Maths) for JEE Main & Advanced
[∵ In an isosceles D, the altitude drawn from the vertex, bisects the base]
Now in right ΔAPQ ,
NCERT Exemplar: Application of Derivatives- 1 | Mathematics (Maths) for JEE Main & Advanced
NCERT Exemplar: Application of Derivatives- 1 | Mathematics (Maths) for JEE Main & Advanced
Differentiating both sides w.r.t, t, we get
NCERT Exemplar: Application of Derivatives- 1 | Mathematics (Maths) for JEE Main & Advanced
NCERT Exemplar: Application of Derivatives- 1 | Mathematics (Maths) for JEE Main & Advanced
Hence, the rate of their separation isNCERT Exemplar: Application of Derivatives- 1 | Mathematics (Maths) for JEE Main & Advancedunit/s.

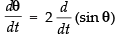
Q.5. Find an angle θ, 0 < θ <NCERT Exemplar: Application of Derivatives- 1 | Mathematics (Maths) for JEE Main & Advancedwhich increases twice as fast as its sine.
Ans.
As per the given condition,
NCERT Exemplar: Application of Derivatives- 1 | Mathematics (Maths) for JEE Main & Advanced
NCERT Exemplar: Application of Derivatives- 1 | Mathematics (Maths) for JEE Main & Advanced= 2 cosNCERT Exemplar: Application of Derivatives- 1 | Mathematics (Maths) for JEE Main & Advanced⇒ 1 = 2 cos θ
∴ cos θ =NCERT Exemplar: Application of Derivatives- 1 | Mathematics (Maths) for JEE Main & Advanced⇒ cos θ =NCERT Exemplar: Application of Derivatives- 1 | Mathematics (Maths) for JEE Main & Advanced
Hence, the required angle isNCERT Exemplar: Application of Derivatives- 1 | Mathematics (Maths) for JEE Main & Advanced

Q.6. Find the approximate value of (1.999)5.
Ans.
(1.999)5 = (2 – 0.001)5 
Let x = 2 and Δx = – 0.001
Let y = x5
Differentiating both sides w.r.t, x, we get
NCERT Exemplar: Application of Derivatives- 1 | Mathematics (Maths) for JEE Main & Advanced= 5x= 5(2)4= 80
Now Δy =NCERT Exemplar: Application of Derivatives- 1 | Mathematics (Maths) for JEE Main & Advanced= 80 × (- 0.001) = - 0.080

∴ (1.999)5 = y + Dy
= x5 – 0.080 = (2)5 – 0.080 = 32 – 0.080 = 31.92
Hence, approximate value of (1.999)5 is 31.92.

Q.7. Find the approximate volume of metal in a hollow spherical shell whose internal and external radii are 3 cm and 3.0005 cm, respectively.
Ans.
Internal radius r = 3 cm
and external radius R = r + Δr = 3.0005 cm
∴ Δr = 3.0005 – 3 = 0.0005 cm
Let y = r3 ⇒ y + Δy = (r + Δr)3 = R3 = (3.0005)3 ...(i)
Differentiating both sides w.r.t., r, we get
NCERT Exemplar: Application of Derivatives- 1 | Mathematics (Maths) for JEE Main & Advanced= 3r2
∴ Δy =NCERT Exemplar: Application of Derivatives- 1 | Mathematics (Maths) for JEE Main & Advanced= 3rx 0.0005
= 3 x (3)2 x 0.0005 = 27 x 0.0005 = 0.0135
∴ (3.0005)3 = y + Δy [From eq. (i)]
= (3)3 + 0.0135 = 27 + 0.0135 = 27.0135
Volume of the shell =NCERT Exemplar: Application of Derivatives- 1 | Mathematics (Maths) for JEE Main & Advanced
NCERT Exemplar: Application of Derivatives- 1 | Mathematics (Maths) for JEE Main & Advanced
= 4π × 0.005 = 4 x 3.14 x 0.0045 = 0.018 π cm3
Hence, the approximate volume of the metal in the shell is 0.018 π cm3.

Q.8. A man, 2m tall, walks at the rate ofNCERT Exemplar: Application of Derivatives- 1 | Mathematics (Maths) for JEE Main & Advancedtowards a street light which is NCERT Exemplar: Application of Derivatives- 1 | Mathematics (Maths) for JEE Main & Advancedabove the ground. At what rate is the tip of his shadow moving? At what rate is the length of the shadow changing when he isNCERT Exemplar: Application of Derivatives- 1 | Mathematics (Maths) for JEE Main & Advancedfrom the base of the light?
Ans.
Let AB is the height of street light post and CD is the height of the man such that
NCERT Exemplar: Application of Derivatives- 1 | Mathematics (Maths) for JEE Main & Advancedand CD 2 m
NCERT Exemplar: Application of Derivatives- 1 | Mathematics (Maths) for JEE Main & Advanced
Let  BC = x length (the distance of the man from the lamp post) and CE = y is the length of the shadow of the man at any instant.
From the figure, we see that
ΔABE ~ ΔDCE [by AAA Similarity]
∴ Taking ratio of their corresponding sides, we get
NCERT Exemplar: Application of Derivatives- 1 | Mathematics (Maths) for JEE Main & Advanced
NCERT Exemplar: Application of Derivatives- 1 | Mathematics (Maths) for JEE Main & Advanced
⇒ 8y = 3x + 3y ⇒ 8y - 3y = 3x ⇒ 5y = 3x
Differentiating both sides w.r.t, t, we get
NCERT Exemplar: Application of Derivatives- 1 | Mathematics (Maths) for JEE Main & Advanced
NCERT Exemplar: Application of Derivatives- 1 | Mathematics (Maths) for JEE Main & Advanced
[∵ man is moving in opposite direction]
= - 1 m/s
Hence, the length of shadow is decreasing at the rate of 1 m/s.
Now let u = x + y
(u = distance of the tip of shadow from the light post)
Differentiating both sides w.r.t. t, we get
NCERT Exemplar: Application of Derivatives- 1 | Mathematics (Maths) for JEE Main & Advanced
Hence, the tip of the shadow is moving at the rate ofNCERT Exemplar: Application of Derivatives- 1 | Mathematics (Maths) for JEE Main & Advanced
towards the light post and the length of shadow decreasing at the rate of 1 m/s.

Q.9. A swimming pool is to be drained for cleaning. If L represents the number of litres of water in the pool t seconds after the pool has been plugged off to drain and L = 200 (10 – t)2. How fast is the water running out at the end of 5 seconds? What is the average rate at which the water flows out during the first 5 seconds?
Ans.
Given that L = 200(10 – t)2
where L represents the number of litres of water in the pool.
Differentiating both sides w.r.t, t, we get∴
NCERT Exemplar: Application of Derivatives- 1 | Mathematics (Maths) for JEE Main & Advanced= 200 x 2(10 - t) (-1) = - 400(10 - t)
But the rate at which the water is running out
=NCERT Exemplar: Application of Derivatives- 1 | Mathematics (Maths) for JEE Main & Advanced 400(10 - t)...(1)
Rate at which the water is running after 5 seconds
= 400 x (10 - 5) = 2000 L/s (final rate)
For initial rate put t = 0 = 400(10 - 0) = 4000 L/s
The average rate at which the water is running out
NCERT Exemplar: Application of Derivatives- 1 | Mathematics (Maths) for JEE Main & Advanced
Hence, the required rate = 3000 L/s.

Q.10. The volume of a cube increases at a constant rate. Prove that the increase in its surface area varies inversely as the length of the side.
Ans.
Let x  be the length of the cube
∴ Volume of the cube V = x3 ...(1)
Given thatNCERT Exemplar: Application of Derivatives- 1 | Mathematics (Maths) for JEE Main & Advanced
Differentiating Eq. (1) w.r.t. t, we get
NCERT Exemplar: Application of Derivatives- 1 | Mathematics (Maths) for JEE Main & Advanced
NCERT Exemplar: Application of Derivatives- 1 | Mathematics (Maths) for JEE Main & Advanced
Now surface area of the cube, S = 6x2 
Differentiating both sides w.r.t. t, we get
NCERT Exemplar: Application of Derivatives- 1 | Mathematics (Maths) for JEE Main & Advanced
NCERT Exemplar: Application of Derivatives- 1 | Mathematics (Maths) for JEE Main & Advanced(4K = constant)
Hence, the surface area of the cube varies inversely as the length of the side.

Q.11. x and y are the sides of two squares such that y = x – x2 . Find the rate of change of the area of second square with respect to the area of first square.
Ans.
Let area of the first square A1 = x2 
and area of the second square A2 = y2 
Now A1= x2 and A2 = y2  = (x – x2)
Differentiating both A1 and A2 w.r.t. t, we get
NCERT Exemplar: Application of Derivatives- 1 | Mathematics (Maths) for JEE Main & Advanced
NCERT Exemplar: Application of Derivatives- 1 | Mathematics (Maths) for JEE Main & Advanced
NCERT Exemplar: Application of Derivatives- 1 | Mathematics (Maths) for JEE Main & Advanced
Hence, the rate of change of area of the second square with respect to first is
2x2 – 3x + 1.

Q.12. Find the condition that the curves 2x = y2 and 2xy = k intersect orthogonally.
Ans.
The two circles intersect orthogonally if the angle between the tangents drawn to the two circles at the point of their intersection is 90°.
Equation of the two circles are given as
2x = y2...(i)
and 2 = k ...(ii)
Differentiating eq. (i) and (ii) w.r.t. x, we get
NCERT Exemplar: Application of Derivatives- 1 | Mathematics (Maths) for JEE Main & Advanced
(m1 = slope of the tangent)
⇒ 2xy = k
NCERT Exemplar: Application of Derivatives- 1 | Mathematics (Maths) for JEE Main & Advanced
NCERT Exemplar: Application of Derivatives- 1 | Mathematics (Maths) for JEE Main & Advanced
[m2 = slope of the other tangent]
If the two tangents are perpendicular to each other,
then m1 x m2 = – 1
NCERT Exemplar: Application of Derivatives- 1 | Mathematics (Maths) for JEE Main & Advanced
Now solving 2x = y2 [From (i)]
and 2xy = k [From (ii)]
From eq. (ii) NCERT Exemplar: Application of Derivatives- 1 | Mathematics (Maths) for JEE Main & Advanced
Putting the value of y in eq. (i)
NCERT Exemplar: Application of Derivatives- 1 | Mathematics (Maths) for JEE Main & Advanced
⇒ 8x3 = k2 ⇒ 8(1)3 = k2 ⇒ 8 = k2
Hence, the required condition is k= 8.

Q.13. Prove that the curves xy = 4 and x2 + y2 = 8 touch each other.
Ans.
Given circles are xy = 4 ...(i)
and x2 + y2 = 8 ...(ii)
Differentiating eq. (i) w.r.t., x
NCERT Exemplar: Application of Derivatives- 1 | Mathematics (Maths) for JEE Main & Advanced
NCERT Exemplar: Application of Derivatives- 1 | Mathematics (Maths) for JEE Main & Advanced...(iii)
where, m1 is the slope of the tangent to the curve.
Differentiating eq. (ii) w.r.t. x
NCERT Exemplar: Application of Derivatives- 1 | Mathematics (Maths) for JEE Main & Advanced
where, m2 is the slope of the tangent to the circle.
To find the point of contact of the two circles
NCERT Exemplar: Application of Derivatives- 1 | Mathematics (Maths) for JEE Main & Advanced
Putting the value of y2 in eq. (ii)
x2 + x2 = 8 ⇒ 2x2 = 8 ⇒ x2 = 4
∴ x = ±    2
∵ x= y2 ⇒ y = ± 2
∴ The point of contact of the two circles are (2, 2) and ( - 2, 2).

Q.14. Find the co-ordinates of the point on the curveNCERT Exemplar: Application of Derivatives- 1 | Mathematics (Maths) for JEE Main & Advanced at which tangent is equally inclined to the axes.

Ans.
Equation of curve is given byNCERT Exemplar: Application of Derivatives- 1 | Mathematics (Maths) for JEE Main & Advanced
Let (x1, y1) be the required point on the curve   
NCERT Exemplar: Application of Derivatives- 1 | Mathematics (Maths) for JEE Main & Advanced
Differentiating both sides w.r.t. x1, we get
NCERT Exemplar: Application of Derivatives- 1 | Mathematics (Maths) for JEE Main & Advanced
NCERT Exemplar: Application of Derivatives- 1 | Mathematics (Maths) for JEE Main & Advanced
Since the tangent to the given curve at (x1, y1) is equally inclined to the axes.
∴ Slope of the tangentNCERT Exemplar: Application of Derivatives- 1 | Mathematics (Maths) for JEE Main & Advanced
So, from eq. (i) we get
NCERT Exemplar: Application of Derivatives- 1 | Mathematics (Maths) for JEE Main & Advanced
Squaring both sides, we get
NCERT Exemplar: Application of Derivatives- 1 | Mathematics (Maths) for JEE Main & Advanced
Putting the value of y1 in the given equation of the curve.
NCERT Exemplar: Application of Derivatives- 1 | Mathematics (Maths) for JEE Main & Advanced
NCERT Exemplar: Application of Derivatives- 1 | Mathematics (Maths) for JEE Main & Advanced
Since y1 = x1 
∴ y1 = 4
Hence, the required point is (4, 4).

Q.15. Find the angle of intersection of the curves y = 4 – x2 and y = x2.
Ans.
We know that the angle of intersection of two curves is equal to the angle between the tangents drawn to the curves at their point of intersection.
The given curves are y = 4 – x2 ... (i)  and    y = x2 ...(ii)
Differentiating eq. (i) and (ii) with respect to x, we have
NCERT Exemplar: Application of Derivatives- 1 | Mathematics (Maths) for JEE Main & Advanced
mis the slope of the tangent to the curve (i).
andNCERT Exemplar: Application of Derivatives- 1 | Mathematics (Maths) for JEE Main & Advanced
m2 is the slope of the tangent to the curve (ii).
So, m1 = – 2x and m2 = 2x
Now solving eq. (i) and (ii) we get
⇒ 4 – x2 = x2 ⇒ 2x2 = 4 ⇒ x2 = 2 ⇒ x = ± √2
So, m1 = - 2 x =- 2√2 and m2 = 2x = 2√2
Let θ be the  angle of intersection of two curves
NCERT Exemplar: Application of Derivatives- 1 | Mathematics (Maths) for JEE Main & Advanced
NCERT Exemplar: Application of Derivatives- 1 | Mathematics (Maths) for JEE Main & Advanced
NCERT Exemplar: Application of Derivatives- 1 | Mathematics (Maths) for JEE Main & Advanced
Hence, the required angle is tan-1NCERT Exemplar: Application of Derivatives- 1 | Mathematics (Maths) for JEE Main & Advanced

Q.16. Prove that the curves y= 4x and x2 + y2 – 6x + 1 = 0 touch each other at the point (1, 2).
Ans.
Given that the equation of the two curves are y2 = 4x ...(i)
and x2 + y2 – 6x + 1 = 0 ...(ii)
Differentiating (i) w.r.t. x, we getNCERT Exemplar: Application of Derivatives- 1 | Mathematics (Maths) for JEE Main & Advanced
Slope of the tangent at (1, 2),NCERT Exemplar: Application of Derivatives- 1 | Mathematics (Maths) for JEE Main & Advanced = 1
Differentiating (ii) w.r.t. x ⇒ 2x + 2yNCERT Exemplar: Application of Derivatives- 1 | Mathematics (Maths) for JEE Main & Advanced
NCERT Exemplar: Application of Derivatives- 1 | Mathematics (Maths) for JEE Main & Advanced
∴ Slope of the tangent at the same point (1, 2)
NCERT Exemplar: Application of Derivatives- 1 | Mathematics (Maths) for JEE Main & Advanced
We see that m1 = m2 = 1 at the point (1, 2).
Hence, the given circles touch each other at the same point (1, 2).

Q.17. Find the equation of the normal lines to the curve 3x2 – y2 = 8 which are parallel to the line x + 3y = 4.
Ans.
We have equation of the curve 3x2 – y2 = 8
Differentiating both sides w.r.t. x, we get
NCERT Exemplar: Application of Derivatives- 1 | Mathematics (Maths) for JEE Main & Advanced
Slope of the tangent to the given curve =NCERT Exemplar: Application of Derivatives- 1 | Mathematics (Maths) for JEE Main & Advanced
∴ Slope of the normal to the curve =NCERT Exemplar: Application of Derivatives- 1 | Mathematics (Maths) for JEE Main & Advanced
Now differentiating both sides the given line x + 3y = 4
NCERT Exemplar: Application of Derivatives- 1 | Mathematics (Maths) for JEE Main & Advanced
Since the normal to the curve is parallel to the given line x + 3y = 4.
NCERT Exemplar: Application of Derivatives- 1 | Mathematics (Maths) for JEE Main & Advanced
Putting the value of y in 3x2 – y2 = 8, we get
3x2 – x2 = 8 ⇒ 2x2 = 8 ⇒ x2 = 4 ⇒ x = ±    2
∴ y = ± 2
∴ The points on the curve are (2, 2) and (– 2, – 2).
Now equation of the normal to the curve at (2, 2) is
NCERT Exemplar: Application of Derivatives- 1 | Mathematics (Maths) for JEE Main & Advanced
⇒ 3y – 6 = – x + 2 ⇒ x + 3y = 8
NCERT Exemplar: Application of Derivatives- 1 | Mathematics (Maths) for JEE Main & Advanced
⇒ 3y + 6 = – x – 2 ⇒ x + 3y = – 8
Hence, the required equations are x + 3y = 8 and x + 3y = – 8 or x + 3y = ± 8.

Q.18. At what points on the curve x2 + y2 – 2x – 4y + 1 = 0, the tangents are parallel to the y-axis?
Ans.
Given that the equation of the curve is
x2 + y2 – 2x – 4y + 1 = 0 ...(i)
Differentiating both sides w.r.t. x, we have
NCERT Exemplar: Application of Derivatives- 1 | Mathematics (Maths) for JEE Main & Advanced
NCERT Exemplar: Application of Derivatives- 1 | Mathematics (Maths) for JEE Main & Advanced
Since the tangent to the curve is parallel to the y-axis.
∴ SlopeNCERT Exemplar: Application of Derivatives- 1 | Mathematics (Maths) for JEE Main & Advanced
So, from eq. (ii) we get
NCERT Exemplar: Application of Derivatives- 1 | Mathematics (Maths) for JEE Main & Advanced
Now putting the value of y in eq. (i), we get
⇒ x2 + (2)2 – 2x – 8 + 1 = 0
⇒ x2 – 2x + 4 – 8 + 1 = 0
⇒ x2 – 2x – 3 = 0 ⇒ x2 – 3x + x – 3 = 0
⇒ x(x – 3) + 1(x – 3) = 0 ⇒ (x - 3) (x + 1) = 0
⇒ x = – 1 or 3
Hence, the required points are (– 1, 2) and (3, 2).

Q.19. Show that the lineNCERT Exemplar: Application of Derivatives- 1 | Mathematics (Maths) for JEE Main & Advancedtouches the curve y = b.

NCERT Exemplar: Application of Derivatives- 1 | Mathematics (Maths) for JEE Main & Advancedat the point where the curve intersects the axis of y.
Ans.
Given that y = b × e– x/a, the equation of curve
andNCERT Exemplar: Application of Derivatives- 1 | Mathematics (Maths) for JEE Main & Advancedthe equation of line.
Let the coordinates of the point where the curve intersects the y-axis be (0, y1) Now differentiating y = b × e– x/a both sides w.r.t. x, we get
NCERT Exemplar: Application of Derivatives- 1 | Mathematics (Maths) for JEE Main & Advanced
So, the slope of the tangent, m=NCERT Exemplar: Application of Derivatives- 1 | Mathematics (Maths) for JEE Main & Advanced
Differentiating NCERT Exemplar: Application of Derivatives- 1 | Mathematics (Maths) for JEE Main & Advancedboth sides w.r.t. x, we get
NCERT Exemplar: Application of Derivatives- 1 | Mathematics (Maths) for JEE Main & Advanced
So, the slope of the line, m=NCERT Exemplar: Application of Derivatives- 1 | Mathematics (Maths) for JEE Main & Advanced
If the line touches the curve, then m1 = m2
NCERT Exemplar: Application of Derivatives- 1 | Mathematics (Maths) for JEE Main & Advanced
NCERT Exemplar: Application of Derivatives- 1 | Mathematics (Maths) for JEE Main & Advanced(Taking log on both sides)
NCERT Exemplar: Application of Derivatives- 1 | Mathematics (Maths) for JEE Main & Advanced⇒ x = 0
Putting x = 0 in equation y = b × e – x/a 
⇒ y = b × e0 = b
Hence, the given equation of curve intersect at (0, b) i.e. on y-axis.

Q.20. Show that f (x) = 2x + cot–1x + logNCERT Exemplar: Application of Derivatives- 1 | Mathematics (Maths) for JEE Main & Advancedis increasing in R.
Ans.
Given that f (x) = 2x + cot–1x + logNCERT Exemplar: Application of Derivatives- 1 | Mathematics (Maths) for JEE Main & Advanced
Differentiating both sides w.r.t. x, we get
NCERT Exemplar: Application of Derivatives- 1 | Mathematics (Maths) for JEE Main & Advanced
NCERT Exemplar: Application of Derivatives- 1 | Mathematics (Maths) for JEE Main & Advanced
For increasing function, f ′(x) ≠ 0
NCERT Exemplar: Application of Derivatives- 1 | Mathematics (Maths) for JEE Main & Advanced
Squaring both sides, we get 4x4 + 1 + 4x2 ≥ 1 + x2
⇒ 4x4 + 4x2 - x2 ≥ 0 ⇒ 4x4 + 3x2 ≥ 0 ⇒ x2(4x2 + 3) ≠ 0
which is true for any value of x ∈ R.
Hence, the given function is an increasing function over R.

Q.21. Show that for a ≥ 1, f (x) = √3 sinx – cosx – 2ax + b is decreasing in R.
Ans.
Given that: f (x) = √3 sin x - cos x - 2ax + b, a≥ 1
Differentiating both sides w.r.t. x, we get
f ′(x) = √3 cos x + sin x- 2a
For decreasing function, f ′(x) < 0
∴ √3 cos x + sin x- 2a < 0
NCERT Exemplar: Application of Derivatives- 1 | Mathematics (Maths) for JEE Main & Advanced
NCERT Exemplar: Application of Derivatives- 1 | Mathematics (Maths) for JEE Main & Advanced
NCERT Exemplar: Application of Derivatives- 1 | Mathematics (Maths) for JEE Main & Advanced
NCERT Exemplar: Application of Derivatives- 1 | Mathematics (Maths) for JEE Main & Advanced
Since cos x ∈ [ - 1, 1] and a ≥ 1
∴ f ′(x) < 0
Hence, the given function is decreasing in R.

Q.22. Show that f (x) = tan–1(sinx + cosx) is an increasing function in
NCERT Exemplar: Application of Derivatives- 1 | Mathematics (Maths) for JEE Main & Advanced
Ans.
Given that: f (x) = tan–1(sin x + cos x) inNCERT Exemplar: Application of Derivatives- 1 | Mathematics (Maths) for JEE Main & Advanced
Differentiating both sides w.r.t. x, we get  
NCERT Exemplar: Application of Derivatives- 1 | Mathematics (Maths) for JEE Main & Advanced
NCERT Exemplar: Application of Derivatives- 1 | Mathematics (Maths) for JEE Main & Advanced
For an increasing function f  ′(x) ≥ 0
NCERT Exemplar: Application of Derivatives- 1 | Mathematics (Maths) for JEE Main & Advanced
⇒ cos x – sin x ≥ 0 NCERT Exemplar: Application of Derivatives- 1 | Mathematics (Maths) for JEE Main & Advanced
⇒ cos x ≥ sin x, which is true forNCERT Exemplar: Application of Derivatives- 1 | Mathematics (Maths) for JEE Main & Advanced
Hence, the given function f(x) is an increasing function inNCERT Exemplar: Application of Derivatives- 1 | Mathematics (Maths) for JEE Main & Advanced

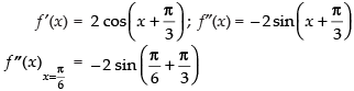
Q.23. At what point, the slope of the curve y = – x3 + 3x2 + 9x – 27 is maximum? Also find the maximum slope.
Ans.
Given that: y = – x3 + 3x2 + 9x – 27
Differentiating both sides w.r.t. x, we getNCERT Exemplar: Application of Derivatives- 1 | Mathematics (Maths) for JEE Main & Advanced= – 3x2 + 6x + 9
Let slope of the curveNCERT Exemplar: Application of Derivatives- 1 | Mathematics (Maths) for JEE Main & Advanced
∴ z = -3x2 + 6x + 9
Differentiating both sides w.r.t. x, we getNCERT Exemplar: Application of Derivatives- 1 | Mathematics (Maths) for JEE Main & Advanced= – 6x + 6
For local maxima and local minima,NCERT Exemplar: Application of Derivatives- 1 | Mathematics (Maths) for JEE Main & Advanced= 0
∴ – 6x + 6 = 0 ⇒ x = 1
NCERT Exemplar: Application of Derivatives- 1 | Mathematics (Maths) for JEE Main & Advanced
Put x = 1 in equation of the curve y = (– 1)3 + 3(1)2 + 9(1) – 27
= – 1 + 3 + 9 – 27 = – 16
Maximum slope = – 3(1)2 + 6(1) + 9 = 12
Hence, (1, – 16) is the point at which the
slope of the given curve is maximum and maximum slope = 12.

Q.24. Prove that f (x) = sinx + √3 cosx has maximum value at x =NCERT Exemplar: Application of Derivatives- 1 | Mathematics (Maths) for JEE Main & Advanced
Ans.
We have: f (x) = sin x + √3 cosx =NCERT Exemplar: Application of Derivatives- 1 | Mathematics (Maths) for JEE Main & Advanced
NCERT Exemplar: Application of Derivatives- 1 | Mathematics (Maths) for JEE Main & Advanced
NCERT Exemplar: Application of Derivatives- 1 | Mathematics (Maths) for JEE Main & Advanced
NCERT Exemplar: Application of Derivatives- 1 | Mathematics (Maths) for JEE Main & Advanced
NCERT Exemplar: Application of Derivatives- 1 | Mathematics (Maths) for JEE Main & Advanced(Maxima)
Maximum value of the function atNCERT Exemplar: Application of Derivatives- 1 | Mathematics (Maths) for JEE Main & Advanced   
NCERT Exemplar: Application of Derivatives- 1 | Mathematics (Maths) for JEE Main & Advanced
Hence, the given function has maximum value atNCERT Exemplar: Application of Derivatives- 1 | Mathematics (Maths) for JEE Main & Advancedand     the maximum value is 2.

Long Answer (L.A.)
Q.25. If the sum of the lengths of the hypotenuse and a side of a right angled triangle is given, show that the area of the triangle is maximum when the angle between them isNCERT Exemplar: Application of Derivatives- 1 | Mathematics (Maths) for JEE Main & Advanced
Ans.
Let ΔABC be the right angled triangle in which ∠B = 90°
Let AC = x, BC = y
NCERT Exemplar: Application of Derivatives- 1 | Mathematics (Maths) for JEE Main & Advanced
∠ACB = θ
Let Z  = x + y (given)
Now area of ΔABC,A =NCERT Exemplar: Application of Derivatives- 1 | Mathematics (Maths) for JEE Main & Advanced
NCERT Exemplar: Application of Derivatives- 1 | Mathematics (Maths) for JEE Main & Advanced
NCERT Exemplar: Application of Derivatives- 1 | Mathematics (Maths) for JEE Main & Advanced
Squaring both sides, we get
NCERT Exemplar: Application of Derivatives- 1 | Mathematics (Maths) for JEE Main & Advanced
Differentiating both sides w.r.t. y we get
NCERT Exemplar: Application of Derivatives- 1 | Mathematics (Maths) for JEE Main & Advanced...(i)
For local maxima and local minima,NCERT Exemplar: Application of Derivatives- 1 | Mathematics (Maths) for JEE Main & Advanced
NCERT Exemplar: Application of Derivatives- 1 | Mathematics (Maths) for JEE Main & Advanced
NCERT Exemplar: Application of Derivatives- 1 | Mathematics (Maths) for JEE Main & Advanced
⇒ yZ ≠ 0 ( ∵ y ≠ 0 and Z ≠ 0)
∴ Z - 3y = 0
NCERT Exemplar: Application of Derivatives- 1 | Mathematics (Maths) for JEE Main & Advanced( ∵ Z = x + y)
⇒ 3y = x + y ⇒ 3y - y = x ⇒ 2y = x
NCERT Exemplar: Application of Derivatives- 1 | Mathematics (Maths) for JEE Main & Advanced
NCERT Exemplar: Application of Derivatives- 1 | Mathematics (Maths) for JEE Main & Advanced
Differentiating eq. (i) w.r.t. y, we haveNCERT Exemplar: Application of Derivatives- 1 | Mathematics (Maths) for JEE Main & Advanced
NCERT Exemplar: Application of Derivatives- 1 | Mathematics (Maths) for JEE Main & Advanced
NCERT Exemplar: Application of Derivatives- 1 | Mathematics (Maths) for JEE Main & Advanced
Hence, the area of the given triangle is maximum when the angle
between its hypotenuse and a side isNCERT Exemplar: Application of Derivatives- 1 | Mathematics (Maths) for JEE Main & Advanced

Q.26. Find the points of local maxima, local minima and the points of inflection of the function f (x) = x5 – 5x4 + 5x3 – 1.  Also find the corresponding local maximum and local minimum values.
Ans.
We have f (x) = x5 – 5x4 + 5x3 – 1
⇒ f  ′(x) = 5x4 - 20x3 + 15x2
For local maxima and local minima, f ′(x) = 0
⇒ 5x4 – 20x3 + 15x2 = 0 ⇒ 5x2(x2 - 4x + 3) = 0
⇒ 5x2(x2 - 3x - x + 3) = 0 ⇒ x2(x - 3) (x - 1) = 0
∴ x = 0, x = 1 and x = 3
Now f ″(x) = 20x3 - 60x2 + 30x
⇒ f ″(x)at x = 0 = 20(0)3 - 60(0)2 + 30(0) = 0 which is neither maxima nor minima.
∴ f (x) has the point of inflection at x = 0
f  ″(x)at x = 1 = 20(1)3 - 60(1)2 + 30(1)
= 20 - 60 + 30 = - 10 < 0 Maxima
f ″(x)at x = 3 = 20(3)3 - 60(3)2 + 30(3)
= 540 - 540 + 90 = 90 > 0 Minima
The maximum value of the function at x = 1
f(x) = (1)5 – 5(1)4 + 5(1)3 – 1 = 1 – 5 + 5 – 1 = 0
The minimum value at x = 3 is
f (x) = (3)5 – 5(3)4 + 5(3)3 – 1
= 243 – 405 + 135 – 1 = 378 – 406 = – 28
Hence, the function has its maxima at x = 1 and the maximum value = 0 and it has minimum value at x = 3 and its minimum value is – 28.
x = 0 is the point of inflection.

Q.27. A telephone company in a town has 500 subscribers on its list and collects fixed charges of ₹ 300/- per subscriber per year. The company proposes to increase the annual subscription and it is believed that for every increase of ₹ 1/- one subscriber will discontinue the service. Find what increase will bring maximum profit?
Ans.
Let us consider that the company increases the annual subscription by ₹ x.
So, x is the number of subscribers who discontinue the services.
∴ Total revenue, R(x) = (500 – x) (300 + x)
= 150000 + 500x – 300x – x2
= – x2 + 200x + 150000
Differentiating both sides w.r.t. x, we get R ′(x) = - 2x + 200
For local maxima and local minima, R ′(x) = 0
2x + 200 = 0 ⇒ x = 100
R ″(x) =  - 2 < 0 Maxima
So, R(x) is maximum at x = 100
Hence, in order to get maximum profit, the company should increase its annual subscription by ₹ 100.

Q.28. If the straight line x cosα + y sinα = p touches the curveNCERT Exemplar: Application of Derivatives- 1 | Mathematics (Maths) for JEE Main & Advanced then prove that a2 cos2α + b2 sin2α = p2.
Ans.
The given curve isNCERT Exemplar: Application of Derivatives- 1 | Mathematics (Maths) for JEE Main & Advanced ...(i)
and the straight line x cos α + y sin α = p ...(ii)
Differentiating eq. (i) w.r.t. x, we get
NCERT Exemplar: Application of Derivatives- 1 | Mathematics (Maths) for JEE Main & Advanced
So the slope of the curve =NCERT Exemplar: Application of Derivatives- 1 | Mathematics (Maths) for JEE Main & Advanced
Now differentiating eq. (ii) w.r.t. x, we have
NCERT Exemplar: Application of Derivatives- 1 | Mathematics (Maths) for JEE Main & Advanced
NCERT Exemplar: Application of Derivatives- 1 | Mathematics (Maths) for JEE Main & Advanced
So, the slope of the straight line = – cot α
If the line is the tangent to the curve, then
NCERT Exemplar: Application of Derivatives- 1 | Mathematics (Maths) for JEE Main & Advanced
Now from eq. (ii) we have x cos α + y sin α = p
NCERT Exemplar: Application of Derivatives- 1 | Mathematics (Maths) for JEE Main & Advanced
⇒ a2 cos2 αy + b2 sin2 αy = b2 sin αp
NCERT Exemplar: Application of Derivatives- 1 | Mathematics (Maths) for JEE Main & Advanced

⇒ a2 cos2 α + b2 sin2 α = p × pNCERT Exemplar: Application of Derivatives- 1 | Mathematics (Maths) for JEE Main & Advanced
Hence, a2 cos2 α + bsin2 α = p2
Alternate method: 
We know that y = mx + c will touch the ellipse
NCERT Exemplar: Application of Derivatives- 1 | Mathematics (Maths) for JEE Main & Advanced
Here equation of straight line is x cos α + y sin α = p and
that of ellipse isNCERT Exemplar: Application of Derivatives- 1 | Mathematics (Maths) for JEE Main & Advanced
x cos α + y sin α = p
⇒ y sin α = – x cos α + p
NCERT Exemplar: Application of Derivatives- 1 | Mathematics (Maths) for JEE Main & Advanced
Comparing with y = mx + c, we get
NCERT Exemplar: Application of Derivatives- 1 | Mathematics (Maths) for JEE Main & Advanced
So, according to the condition, we get c2 = a2m+ b2
NCERT Exemplar: Application of Derivatives- 1 | Mathematics (Maths) for JEE Main & Advanced
NCERT Exemplar: Application of Derivatives- 1 | Mathematics (Maths) for JEE Main & Advanced
Hence, a2 cos2 α + b2 sin2 α = p2
Hence proved.

Q.29. An open box with square base is to be made of a given quantity of card board of area c2. Show that the maximum volume of the box isNCERT Exemplar: Application of Derivatives- 1 | Mathematics (Maths) for JEE Main & Advancedcubic units.
Ans.
Let x  be the length of the side of the square base of the cubical open box and y be its height.
∴ Surface area of the open box
c2 = x2 + 4xyNCERT Exemplar: Application of Derivatives- 1 | Mathematics (Maths) for JEE Main & Advanced ...(i)
Now volume of the box, V = x x x x y
⇒ V = x2y
NCERT Exemplar: Application of Derivatives- 1 | Mathematics (Maths) for JEE Main & Advanced
NCERT Exemplar: Application of Derivatives- 1 | Mathematics (Maths) for JEE Main & Advanced
Differentiating both sides w.r.t. x, we get
NCERT Exemplar: Application of Derivatives- 1 | Mathematics (Maths) for JEE Main & Advanced...(ii)
For local maxima and local minima,NCERT Exemplar: Application of Derivatives- 1 | Mathematics (Maths) for JEE Main & Advanced
NCERT Exemplar: Application of Derivatives- 1 | Mathematics (Maths) for JEE Main & Advanced
NCERT Exemplar: Application of Derivatives- 1 | Mathematics (Maths) for JEE Main & Advanced
NCERT Exemplar: Application of Derivatives- 1 | Mathematics (Maths) for JEE Main & Advanced
Now again differentiating eq. (ii) w.r.t. x, we get
NCERT Exemplar: Application of Derivatives- 1 | Mathematics (Maths) for JEE Main & Advanced
Volume of the cubical box (V) = x2 y
NCERT Exemplar: Application of Derivatives- 1 | Mathematics (Maths) for JEE Main & Advanced
Hence, the maximum volume of the open box isNCERT Exemplar: Application of Derivatives- 1 | Mathematics (Maths) for JEE Main & Advancedcubic units.

Q.30. Find the dimensions of the rectangle of perimeter 36 cm which will sweep out a volume as large as possible, when revolved about one of its sides. Also find the maximum volume.
Ans.
Let x and y be the length and breadth of a given rectangle ABCD as per question, the rectangle be revolved about side AD which will make a cylinder with radius x and height y.
NCERT Exemplar: Application of Derivatives- 1 | Mathematics (Maths) for JEE Main & Advanced
∴ Volume of the cylinder V = πr2h
 ⇒ V = πx2y ...(i)
Now perimeter of rectangle P = 2(x + y) ⇒ 36 = 2(x + y)
⇒ x + y = 18 ⇒ y = 18 – x ...(ii)
Putting the value of y in eq. (i) we get
V = πx2(18 – x)
⇒ V = π(18x2 – x3)
Differentiating both sides w.r.t. x, we get
NCERT Exemplar: Application of Derivatives- 1 | Mathematics (Maths) for JEE Main & Advanced...(iii)
For local maxima and local minimaNCERT Exemplar: Application of Derivatives- 1 | Mathematics (Maths) for JEE Main & Advanced
∴ p(36x – 3x2) = 0 ⇒ 36x – 3x2 = 0
⇒ 3x(12 – x) = 0
⇒ x ≠ 0 ∴ 12 – x = 0 ⇒  x = 12
From eq. (ii) y = 18 – 12 = 6
Differentiating eq. (iii) w.r.t. x, we getNCERT Exemplar: Application of Derivatives- 1 | Mathematics (Maths) for JEE Main & Advanced
at x = 12 NCERT Exemplar: Application of Derivatives- 1 | Mathematics (Maths) for JEE Main & Advanced= π(36 – 6 x 12)
= π(36 - 72) = - 36π < 0 maxima
Now volume of the cylinder so formed = πx2y
= π x (12)2 x 6  = π x 144 x 6 = 864π cm3
Hence, the required dimensions are 12 cm and 6 cm  and the maximum volume is 864π cm3.

Q.31. If the sum of the surface areas of cube and a sphere is constant, what is the ratio of an edge of the cube to the diameter of the sphere, when the sum of their volumes is minimum?
Ans.
Let x  be the edge of the cube and r be the radius of the sphere.
Surface area of cube = 6x2
NCERT Exemplar: Application of Derivatives- 1 | Mathematics (Maths) for JEE Main & Advanced
and surface area of the sphere = 4πr2
∴ 6x2 + 4πr2 = K(constant) ⇒NCERT Exemplar: Application of Derivatives- 1 | Mathematics (Maths) for JEE Main & Advanced...(i)
Volume of the cube = x3 and the volume of sphere =NCERT Exemplar: Application of Derivatives- 1 | Mathematics (Maths) for JEE Main & Advanced
∴ Sum of their volumes (V) = Volume of cube + Volume of sphere
NCERT Exemplar: Application of Derivatives- 1 | Mathematics (Maths) for JEE Main & Advanced
NCERT Exemplar: Application of Derivatives- 1 | Mathematics (Maths) for JEE Main & Advanced
Differentiating both sides w.r.t. x, we get
NCERT Exemplar: Application of Derivatives- 1 | Mathematics (Maths) for JEE Main & Advanced
NCERT Exemplar: Application of Derivatives- 1 | Mathematics (Maths) for JEE Main & Advanced
NCERT Exemplar: Application of Derivatives- 1 | Mathematics (Maths) for JEE Main & Advanced...(ii)
For local maxima and local minima,NCERT Exemplar: Application of Derivatives- 1 | Mathematics (Maths) for JEE Main & Advanced
NCERT Exemplar: Application of Derivatives- 1 | Mathematics (Maths) for JEE Main & Advanced
NCERT Exemplar: Application of Derivatives- 1 | Mathematics (Maths) for JEE Main & Advanced
x ≠ 0 ∴ x -NCERT Exemplar: Application of Derivatives- 1 | Mathematics (Maths) for JEE Main & Advanced
NCERT Exemplar: Application of Derivatives- 1 | Mathematics (Maths) for JEE Main & Advanced
Squaring both sides, we get
NCERT Exemplar: Application of Derivatives- 1 | Mathematics (Maths) for JEE Main & Advanced
NCERT Exemplar: Application of Derivatives- 1 | Mathematics (Maths) for JEE Main & Advanced
NCERT Exemplar: Application of Derivatives- 1 | Mathematics (Maths) for JEE Main & Advanced
Now putting the value of K in eq. (i), we get
6x2 + 4πr2 = x2(p + 6)
⇒ 6x2 + 4πr2 = πx2 + 6x2 ⇒ 4πr2 = πx2 ⇒ 4r2 = x2
∴2r = x
∴ x : 2r = 1 : 1
Now differentiating eq. (ii) w.r.t x, we have
NCERT Exemplar: Application of Derivatives- 1 | Mathematics (Maths) for JEE Main & Advanced

NCERT Exemplar: Application of Derivatives- 1 | Mathematics (Maths) for JEE Main & Advanced
PutNCERT Exemplar: Application of Derivatives- 1 | Mathematics (Maths) for JEE Main & Advanced
NCERT Exemplar: Application of Derivatives- 1 | Mathematics (Maths) for JEE Main & Advanced
So it is minima.
Hence, the required ratio is 1 : 1 when the combined volume is minimum.

Q.32. AB is a diameter of a circle and C is any point on the circle. Show that the area of ∆ ABC is maximum, when it is isosceles.
Ans.
Let AB be the diameter and C be any point on the circle with radius r.
∠ACB = 90° [angle in the semi circle is 90°]
Let AC = x
NCERT Exemplar: Application of Derivatives- 1 | Mathematics (Maths) for JEE Main & Advanced
NCERT Exemplar: Application of Derivatives- 1 | Mathematics (Maths) for JEE Main & Advanced...(i)
Now area ofNCERT Exemplar: Application of Derivatives- 1 | Mathematics (Maths) for JEE Main & Advanced
NCERT Exemplar: Application of Derivatives- 1 | Mathematics (Maths) for JEE Main & Advanced
Squaring both sides, we get
NCERT Exemplar: Application of Derivatives- 1 | Mathematics (Maths) for JEE Main & Advanced
Let A2 = Z
NCERT Exemplar: Application of Derivatives- 1 | Mathematics (Maths) for JEE Main & Advanced
Differentiating both sides w.r.t. x, we get
NCERT Exemplar: Application of Derivatives- 1 | Mathematics (Maths) for JEE Main & Advanced...(ii)
For local maxima and local minimaNCERT Exemplar: Application of Derivatives- 1 | Mathematics (Maths) for JEE Main & Advanced
NCERT Exemplar: Application of Derivatives- 1 | Mathematics (Maths) for JEE Main & Advanced

x ≠ 0 ∴ 2r2 - x2 = 0 

⇒ x2 = 2r2 ⇒ x = √2r = AC
Now from eq. (i) we have
NCERT Exemplar: Application of Derivatives- 1 | Mathematics (Maths) for JEE Main & Advanced
So AC = BC
Hence, ΔABC is an isosceles triangle.
Differentiating eq. (ii) w.r.t. x, we getNCERT Exemplar: Application of Derivatives- 1 | Mathematics (Maths) for JEE Main & Advanced
Put x = √2r
NCERT Exemplar: Application of Derivatives- 1 | Mathematics (Maths) for JEE Main & Advanced
NCERT Exemplar: Application of Derivatives- 1 | Mathematics (Maths) for JEE Main & Advanced
Hence, the area of ΔABC is maximum when it is an isosceles triangle.

Q.33. A metal box with a square base and vertical sides is to contain 1024 cm3. The material for the top and bottom costs Rs 5/cm2 and the material for the sides costs Rs 2.50/cm2 . Find the least cost of the box.
Ans.
Let x  be the side of the square base and y be the length of the vertical sides.
Area of the base and bottom = 2x2 cm2 
∴Cost of the material required = ₹ 5 x 2x2 = ₹ 10x2
Area of the 4 sides = 4xy cm2
∴ Cost of the material for the four sides
= ₹ 2.50 x 4xy = ₹ 10xy
Total cost C = 10x2 + 10xy ...(i)
New volume of the box = x x x x y
⇒ 1024 = x2y
NCERT Exemplar: Application of Derivatives- 1 | Mathematics (Maths) for JEE Main & Advanced
NCERT Exemplar: Application of Derivatives- 1 | Mathematics (Maths) for JEE Main & Advanced...(ii)
Putting the value of y in eq. (i) we get
NCERT Exemplar: Application of Derivatives- 1 | Mathematics (Maths) for JEE Main & Advanced
Differentiating both sides w.r.t. x, we get
NCERT Exemplar: Application of Derivatives- 1 | Mathematics (Maths) for JEE Main & Advanced...(iii)
For local maxima and local minimaNCERT Exemplar: Application of Derivatives- 1 | Mathematics (Maths) for JEE Main & Advanced
NCERT Exemplar: Application of Derivatives- 1 | Mathematics (Maths) for JEE Main & Advanced
⇒ 20x3 – 10240 = 0 ⇒ x= 512 ⇒ x = 8 cm
Now from eq. (ii)
NCERT Exemplar: Application of Derivatives- 1 | Mathematics (Maths) for JEE Main & Advanced
∴ Cost of material used C = 10x2 + 10xy
= 10 x 8 x 8 + 10 x 8 x 16  = 640 + 1280 = 1920
Now differentiating eq. (iii) we get
NCERT Exemplar: Application of Derivatives- 1 | Mathematics (Maths) for JEE Main & Advanced
Put x = 8
NCERT Exemplar: Application of Derivatives- 1 | Mathematics (Maths) for JEE Main & Advanced
Hence, the required cost is ₹1920 which is the minimum.

Q.34. The sum of the surface areas of a rectangular parallelopiped with sides x, 2x andNCERT Exemplar: Application of Derivatives- 1 | Mathematics (Maths) for JEE Main & Advancedand a sphere is given to be constant. Prove that the sum of their volumes is minimum, if x is equal to three times the radius of the sphere. Also find the minimum value of the sum of their volumes.
Ans.
Let ‘r ’ be the radius of the sphere.
∴ Surface area of the sphere = 4πr2
Volume of the sphere =NCERT Exemplar: Application of Derivatives- 1 | Mathematics (Maths) for JEE Main & Advanced
The sides of the parallelopiped are x, 2x andNCERT Exemplar: Application of Derivatives- 1 | Mathematics (Maths) for JEE Main & Advanced
∴ Its surface area =NCERT Exemplar: Application of Derivatives- 1 | Mathematics (Maths) for JEE Main & Advanced
NCERT Exemplar: Application of Derivatives- 1 | Mathematics (Maths) for JEE Main & Advanced
Volume of the parallelopiped =NCERT Exemplar: Application of Derivatives- 1 | Mathematics (Maths) for JEE Main & Advanced
As per the conditions of the question,
Surface area of the parallelopiped + Surface area of the sphere = constant
⇒ 6x2 + 4πr2 = K (constant) ⇒ 4πr2 = K - 6x2
NCERT Exemplar: Application of Derivatives- 1 | Mathematics (Maths) for JEE Main & Advanced...(i)
Now let V = Volume of parallelopiped + Volume of the sphere
NCERT Exemplar: Application of Derivatives- 1 | Mathematics (Maths) for JEE Main & Advanced
NCERT Exemplar: Application of Derivatives- 1 | Mathematics (Maths) for JEE Main & Advanced[from eq. (i)]
NCERT Exemplar: Application of Derivatives- 1 | Mathematics (Maths) for JEE Main & Advanced
NCERT Exemplar: Application of Derivatives- 1 | Mathematics (Maths) for JEE Main & Advanced
NCERT Exemplar: Application of Derivatives- 1 | Mathematics (Maths) for JEE Main & Advanced
Differentiating both sides w.r.t. x, we have
NCERT Exemplar: Application of Derivatives- 1 | Mathematics (Maths) for JEE Main & Advanced
For local maxima and local minima, we haveNCERT Exemplar: Application of Derivatives- 1 | Mathematics (Maths) for JEE Main & Advanced
NCERT Exemplar: Application of Derivatives- 1 | Mathematics (Maths) for JEE Main & Advanced
NCERT Exemplar: Application of Derivatives- 1 | Mathematics (Maths) for JEE Main & Advanced
NCERT Exemplar: Application of Derivatives- 1 | Mathematics (Maths) for JEE Main & Advanced
Here x ≠ 0 andNCERT Exemplar: Application of Derivatives- 1 | Mathematics (Maths) for JEE Main & Advanced
NCERT Exemplar: Application of Derivatives- 1 | Mathematics (Maths) for JEE Main & Advanced
Squaring both sides, we get
4πx2 = 9(K – 6x2)  ⇒ 4πx2 = 9K - 54x2
⇒ 4πx2 + 54x2 = 9K
NCERT Exemplar: Application of Derivatives- 1 | Mathematics (Maths) for JEE Main & Advanced ...(ii)

⇒ 2x2(2π + 27) = 9K
NCERT Exemplar: Application of Derivatives- 1 | Mathematics (Maths) for JEE Main & Advanced
Now from eq. (i) we have
NCERT Exemplar: Application of Derivatives- 1 | Mathematics (Maths) for JEE Main & Advanced
NCERT Exemplar: Application of Derivatives- 1 | Mathematics (Maths) for JEE Main & Advanced
NCERT Exemplar: Application of Derivatives- 1 | Mathematics (Maths) for JEE Main & Advanced
NCERT Exemplar: Application of Derivatives- 1 | Mathematics (Maths) for JEE Main & Advanced
Now we haveNCERT Exemplar: Application of Derivatives- 1 | Mathematics (Maths) for JEE Main & Advanced
Differentiating both sides w.r.t. x, we get
NCERT Exemplar: Application of Derivatives- 1 | Mathematics (Maths) for JEE Main & Advanced
Put NCERT Exemplar: Application of Derivatives- 1 | Mathematics (Maths) for JEE Main & Advanced
NCERT Exemplar: Application of Derivatives- 1 | Mathematics (Maths) for JEE Main & AdvancedNCERT Exemplar: Application of Derivatives- 1 | Mathematics (Maths) for JEE Main & Advanced
NCERT Exemplar: Application of Derivatives- 1 | Mathematics (Maths) for JEE Main & Advanced
NCERT Exemplar: Application of Derivatives- 1 | Mathematics (Maths) for JEE Main & Advanced
[ ∵ 27 - 2π > 0]
NCERT Exemplar: Application of Derivatives- 1 | Mathematics (Maths) for JEE Main & Advancedso, it is minima.

Hence, the sum of volume is minimum forNCERT Exemplar: Application of Derivatives- 1 | Mathematics (Maths) for JEE Main & Advanced
∴ Minimum volume,
NCERT Exemplar: Application of Derivatives- 1 | Mathematics (Maths) for JEE Main & Advanced
NCERT Exemplar: Application of Derivatives- 1 | Mathematics (Maths) for JEE Main & Advanced
Hence, the required minimum volume isNCERT Exemplar: Application of Derivatives- 1 | Mathematics (Maths) for JEE Main & Advancedand x = 3r. 

The document NCERT Exemplar: Application of Derivatives- 1 | Mathematics (Maths) for JEE Main & Advanced is a part of the JEE Course Mathematics (Maths) for JEE Main & Advanced.
All you need of JEE at this link: JEE
172 videos|503 docs|154 tests

FAQs on NCERT Exemplar: Application of Derivatives- 1 - Mathematics (Maths) for JEE Main & Advanced

1. What is the concept of derivatives in mathematics?
Ans. Derivatives in mathematics represent the rate of change of a function at a specific point. It is obtained by finding the limit of the ratio of the change in the function value to the change in the independent variable as the change in the independent variable approaches zero. In simple terms, derivatives measure how a function behaves as its input (independent variable) changes.
2. How are derivatives applied in real-life situations?
Ans. Derivatives have various applications in real-life situations. For example, they are used in physics to calculate the velocity and acceleration of an object, in economics to determine the marginal cost and revenue, in biology to study population growth, and in engineering to analyze the behavior of electrical circuits and control systems. Derivatives are also used in finance to price options and analyze investment portfolios.
3. What are the different rules for finding derivatives?
Ans. There are several rules for finding derivatives, including the power rule, product rule, quotient rule, chain rule, and trigonometric rules. The power rule states that the derivative of x^n is n*x^(n-1), where n is any real number. The product rule is used to find the derivative of a product of two functions, while the quotient rule is used to find the derivative of a quotient of two functions. The chain rule is applied when finding the derivative of composite functions, and the trigonometric rules are used for finding derivatives of trigonometric functions.
4. How can derivatives be used to optimize functions?
Ans. Derivatives play a crucial role in optimization problems. To optimize a function, we find the critical points by setting the derivative equal to zero and then analyze the behavior of the function around those points. If the derivative changes sign from negative to positive at a critical point, it indicates a local minimum, while a change from positive to negative indicates a local maximum. Extrema can also occur at the boundary points of the domain. By using derivatives, we can determine the maximum or minimum values of a function, which is useful in various fields such as engineering, economics, and physics.
5. Can derivatives be used to approximate functions?
Ans. Yes, derivatives can be used to approximate functions. One method is called linear approximation, where we use the tangent line at a specific point to approximate the value of the function near that point. The tangent line is determined by the derivative of the function at that point. By substituting the value of the independent variable into the tangent line equation, we can obtain an approximate value for the function. This technique is often used in calculus to simplify calculations and provide reasonable estimates for complex functions.
Related Searches

practice quizzes

,

ppt

,

NCERT Exemplar: Application of Derivatives- 1 | Mathematics (Maths) for JEE Main & Advanced

,

Objective type Questions

,

Sample Paper

,

NCERT Exemplar: Application of Derivatives- 1 | Mathematics (Maths) for JEE Main & Advanced

,

Free

,

Summary

,

past year papers

,

pdf

,

Exam

,

NCERT Exemplar: Application of Derivatives- 1 | Mathematics (Maths) for JEE Main & Advanced

,

MCQs

,

study material

,

video lectures

,

Viva Questions

,

Previous Year Questions with Solutions

,

mock tests for examination

,

Important questions

,

Semester Notes

,

shortcuts and tricks

,

Extra Questions

;