JEE Exam  >  JEE Notes  >  Mathematics (Maths) for JEE Main & Advanced  >  NCERT Exemplar: Continuity and Differentiability- 2

NCERT Exemplar: Continuity and Differentiability- 2 | Mathematics (Maths) for JEE Main & Advanced PDF Download

Verify the Rolle’s theorem for each of the functions in Exercises 65 to 69.
Q.65. f (x) = x (x – 1)2 in [0, 1].
Ans.
Given that: f(x) = x(x – 1)2 in [0, 1]
(i) f(x) = x(x – 1)2, being an algebraic polynomial, is continuous in [0, 1].
(ii) f ′(x) = x.2 (x - 1) + (x - 1)2.1
= 2x2 - 2x + x2 + 1 - 2x
= 3x2 - 4x + 1 which exists in (0, 1)
(iii) f(x) = x(x – 1)2 
f(0) = 0(0 – 1)2 = 0; f(1) = 1(1 – 1)2 = 0
⇒ f(0) = f(1) = 0
As the above conditions are satisfied, then there must exist at least one point c ∈ (0, 1) such that f ′(c) = 0
∴ f ′(c) = 3c2 - 4c + 1 = 0 ⇒ 3c2 - 3c - c + 1 = 0
⇒ 3c(c - 1) - 1(c - 1) = 0 ⇒ (c - 1)(3c - 1) = 0
⇒ c – 1 = 0 ⇒ c = 1
3c – 1 = 0 ⇒ 3c = 1NCERT Exemplar: Continuity and Differentiability- 2 | Mathematics (Maths) for JEE Main & Advanced
Hence, Rolle’s Theorem is verified.

Q.66. f (x) = sin4x + cos4x inNCERT Exemplar: Continuity and Differentiability- 2 | Mathematics (Maths) for JEE Main & Advanced
Ans.
Given that: f (x) = sin4x + cos4x inNCERT Exemplar: Continuity and Differentiability- 2 | Mathematics (Maths) for JEE Main & Advanced
(i) f(x) = sin4 x + cos4 x, being sine and cosine functions, f(x) is
continuous function inNCERT Exemplar: Continuity and Differentiability- 2 | Mathematics (Maths) for JEE Main & Advanced
(ii) f ′(x) = 4 sin3 x.cos x + 4 cos3 x (- sin x)
= 4 sin3 x.cos x - 4 cos3 x.sin x
= 4 sin x cos x (sin2 x – cos2 x)
= – 4 sin x cos x (cos2 x – sin2 x)
= – 2.2 sin x cos x.cos 2xNCERT Exemplar: Continuity and Differentiability- 2 | Mathematics (Maths) for JEE Main & Advanced
= – 2 sin 2x.cos 2x
= – sin 4x which exists inNCERT Exemplar: Continuity and Differentiability- 2 | Mathematics (Maths) for JEE Main & Advanced
So, f (x) is differentiable inNCERT Exemplar: Continuity and Differentiability- 2 | Mathematics (Maths) for JEE Main & Advanced

Q.67. f (x) = log (x2 + 2) – log3 in [–1, 1].
Ans.
Given that: f(x) = log (x2 + 2) – log 3 in [– 1, 1]
(i) f(x) = log (x2 + 2) – log 3, being a logarithm function, is continuous in [– 1, 1].
(ii) f ′(x) =NCERT Exemplar: Continuity and Differentiability- 2 | Mathematics (Maths) for JEE Main & Advancedwhich exists in (– 1, 1)
So, f (x) is differentiable in (– 1, 1).
(iii) f(– 1) = log (1 + 2) – log 3 ⇒ log 3 - log 3 = 0
f(1) = log (1 + 2) - log 3 ⇒ log 3 - log 3 = 0
∴ f(- 1) = f(1) = 0
As the above conditions are satisfied, then there must exist atleast one point c ∈ (- 1, 1) such that f ′(c) = 0.
NCERT Exemplar: Continuity and Differentiability- 2 | Mathematics (Maths) for JEE Main & Advanced
Hence, Rolle’s Theorem is verified.

Q.68. f (x) = x (x + 3)e–x/2 in [–3, 0].
Ans.
Given that: f(x) = x(x + 3) e– x/2 in [– 3, 0]
(i) Algebraic functions and exponential functions are continuous in their domains.
∴ f(x) is continuous in [– 3, 0]
(ii) f ′(x) =NCERT Exemplar: Continuity and Differentiability- 2 | Mathematics (Maths) for JEE Main & Advanced
NCERT Exemplar: Continuity and Differentiability- 2 | Mathematics (Maths) for JEE Main & Advanced
NCERT Exemplar: Continuity and Differentiability- 2 | Mathematics (Maths) for JEE Main & Advanced
So, f (x) is differentiable in (– 3, 0).
(iii) f(– 3) = (– 3) (– 3 + 3) e– 3/2 = 0
f(0) = (0) (0 + 3) e– 0/2 = 0
∴ f(– 3) = f(0) = 0
As the above conditions are satisfied, then there must exist
atleast one point c ∈ (- 3, 0) such that
f ′(c) = 0⇒NCERT Exemplar: Continuity and Differentiability- 2 | Mathematics (Maths) for JEE Main & Advanced
NCERT Exemplar: Continuity and Differentiability- 2 | Mathematics (Maths) for JEE Main & Advanced
Which gives c = 3, c = – 2 ∈ (- 3, 0).
Hence, Rolle’s Theorem is verified.

Q.69. f (x) =NCERT Exemplar: Continuity and Differentiability- 2 | Mathematics (Maths) for JEE Main & Advancedin [– 2, 2].
Ans.
Given that: f (x) =NCERT Exemplar: Continuity and Differentiability- 2 | Mathematics (Maths) for JEE Main & Advancedin [– 2, 2].
(i) Since algebraic polynomials are continuous,
∴ f(x) is continuous in [– 2, 2]
(ii) f ′(x) =NCERT Exemplar: Continuity and Differentiability- 2 | Mathematics (Maths) for JEE Main & Advancedwhich exists in (– 2, 2)
So, f  ′(x) is differentiable in (- 2, 2).
(iii)NCERT Exemplar: Continuity and Differentiability- 2 | Mathematics (Maths) for JEE Main & Advanced
NCERT Exemplar: Continuity and Differentiability- 2 | Mathematics (Maths) for JEE Main & Advanced
So f (– 2) = f (2) = 0
As the above conditions are satisfied, then there must exist
atleast one point c ∈ (- 2, 2) such that
f ′(c) = 0⇒NCERT Exemplar: Continuity and Differentiability- 2 | Mathematics (Maths) for JEE Main & Advanced
Hence, Rolle’s Theorem is verified.

Q.70. Discuss the applicability of Rolle’s theorem on the function given by
NCERT Exemplar: Continuity and Differentiability- 2 | Mathematics (Maths) for JEE Main & Advanced
Ans.
(i) f(x) being an algebraic polynomial, is continuous everywhere.
(ii) f(x) must be differentiable at x = 1
NCERT Exemplar: Continuity and Differentiability- 2 | Mathematics (Maths) for JEE Main & Advanced
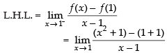
NCERT Exemplar: Continuity and Differentiability- 2 | Mathematics (Maths) for JEE Main & Advanced
and R.H.L. =NCERT Exemplar: Continuity and Differentiability- 2 | Mathematics (Maths) for JEE Main & Advanced
NCERT Exemplar: Continuity and Differentiability- 2 | Mathematics (Maths) for JEE Main & Advanced
∴ L.H.L. ≠ R.H.L.
So, f(x) is not differentiable at x = 1.
Hence, Rolle’s Theorem is not applicable in [0, 2].

Q.71. Find the points on the curve y = (cosx – 1) in [0, 2π], where the tangent is parallel to x-axis.
Ans.
Given that: y = cos x – 1 on [0, 2π]
We have to find a point c on the given curve y = cos x – 1 on [0, 2π] such that the tangent at c ∈ [0, 2π] is parallel to x-axis i.e., f ′(c) = 0 where f ′(c) is the slope of the tangent.
So, we have to verify the Rolle’s Theorem.
(i) y = cos x – 1 is the combination of cosine and constant functions.
So, it is continuous on [0, 2π].
(ii)NCERT Exemplar: Continuity and Differentiability- 2 | Mathematics (Maths) for JEE Main & Advanced= – sin x which exists in (0, 2π).
So, it is differentiable on (0, 2π).
(iii) Let f(x) = cos x – 1
f(0) = cos 0 – 1 = 1 – 1 = 0; f(2π) = cos 2π – 1 = 1 – 1 = 0
∴ f(0) = f(2π) = 0
As the above conditions are satisfied, then there lies a point
c ∈ (0, 2π) such that f ′(c) = 0.
∴ - sin c = 0 ⇒ sin c = 0
∴ c = nπ, n ∈ I
⇒ c = π ∈ (0, 2π)
Hence, c = π is the point on the curve in (0, 2π) at which the tangent is parallel to x-axis.

Q.72. Using Rolle’s theorem, find the point on the curve y = x (x – 4), x ∈ [0, 4], where the tangent is parallel to x-axis.
Ans.
Given that: y = x(x – 4), x ∈ [0, 4]
Let f(x) = x(x - 4), x ∈ [0, 4]
(i) f(x) being an algebraic polynomial, is continuous function everywhere.
So, f(x) = x(x – 4) is continuous in [0, 4].
(ii) f ′(x) = 2x - 4 which exists in (0, 4).
So, f (x) is differentiable.
(iii) f(0) = 0(0 – 4)
= 0 f(4) = 4(4 – 4) = 0
So f(0) = f(4) = 0
As the above conditions are satisfied, then there must exist at least one point c ∈ (0, 4) such that f ′(c) = 0
∴ 2c - 4 = 0 ⇒ c = 2 ∈ (0, 4)
Hence, c  = 2 is the point in (0, 4) on the given curve at which the tangent is parallel to the x-axis.

Verify mean value theorem for each of the functions given Exercises 73 to 76.
Q.73.  f (x) =NCERT Exemplar: Continuity and Differentiability- 2 | Mathematics (Maths) for JEE Main & Advanced
Ans.
Given that: f (x) =NCERT Exemplar: Continuity and Differentiability- 2 | Mathematics (Maths) for JEE Main & Advanced
(i) f(x) is an algebraic function, so it is continuous in [1, 4].
(ii) f ′(x) =NCERT Exemplar: Continuity and Differentiability- 2 | Mathematics (Maths) for JEE Main & Advanced
So, f (x) is differentiable.
As the above conditions are satisfied then there must exist a point
c ∈ (1, 4) such that
NCERT Exemplar: Continuity and Differentiability- 2 | Mathematics (Maths) for JEE Main & Advanced
NCERT Exemplar: Continuity and Differentiability- 2 | Mathematics (Maths) for JEE Main & Advanced
NCERT Exemplar: Continuity and Differentiability- 2 | Mathematics (Maths) for JEE Main & Advanced
NCERT Exemplar: Continuity and Differentiability- 2 | Mathematics (Maths) for JEE Main & Advanced
Hence, Mean Value Theorem is verified.

Q.74. f (x) = x3 – 2x2 – x + 3 in [0, 1].
Ans.
Given that: f(x) = x3 – 2x2 – x + 3 in [0, 1]
(i) Being an algebraic polynomial, f(x) is continuous in [0, 1]
(ii) f ′(x) = 3x2 - 4x - 1 which exists in (0, 1).
So, f (x) is differentiable.
As the above conditions are satisfied, then there must exist atleast one point c ∈ (0, 1) such that
NCERT Exemplar: Continuity and Differentiability- 2 | Mathematics (Maths) for JEE Main & Advanced
NCERT Exemplar: Continuity and Differentiability- 2 | Mathematics (Maths) for JEE Main & Advanced
NCERT Exemplar: Continuity and Differentiability- 2 | Mathematics (Maths) for JEE Main & Advanced
⇒ 3c– 4c – 1 = 1 – 3  ⇒ 3c2 - 4c - 1 = -2
⇒ 3c2 - 4c + 1 = 0  ⇒ 3c2 - 3c - c + 1 = 0
⇒ 3c (c - 1) -1 (c - 1) = 0  ⇒ (c - 1) (3c - 1) = 0
⇒ c – 1 = 0 ∴ c = 1
3c – 1 = 0NCERT Exemplar: Continuity and Differentiability- 2 | Mathematics (Maths) for JEE Main & Advanced
Hence, Mean Value Theorem is verified.

Q.75. f (x) = sinx – sin2x in [0, π].
Ans.
Given that: f(x) = sin x – sin 2x in [0, π]
(i) Since trigonometric functions are always continuous on their domain.
So, f (x) is continuous on [0, π].
(ii) f ′(x) = cos x - 2 cos 2x which exists in (0, π)
So, f (x) is differentiable on (0, π).
Since the above conditions are satisfied, then there must exist atleast one point c ∈ (0, π) such that
NCERT Exemplar: Continuity and Differentiability- 2 | Mathematics (Maths) for JEE Main & Advanced
cos c – 2 cos 2c =NCERT Exemplar: Continuity and Differentiability- 2 | Mathematics (Maths) for JEE Main & Advanced
⇒ cos c – 2(2 cos2 c – 1) = 0 ⇒ cos c - 4 cos2 c + 2 = 0
⇒ 4 cos2 c - cos c - 2 = 0
NCERT Exemplar: Continuity and Differentiability- 2 | Mathematics (Maths) for JEE Main & Advanced
Hence, Mean Value Theorem is verified.

Q.76. f (x) =NCERT Exemplar: Continuity and Differentiability- 2 | Mathematics (Maths) for JEE Main & Advancedin [1, 5].
Ans.
Given that: f (x) =NCERT Exemplar: Continuity and Differentiability- 2 | Mathematics (Maths) for JEE Main & Advancedin [1, 5].
(i) f(x) is continuous if 25 – x2 ≥ 0 ⇒ - x2 ≥ - 25
⇒ x2 ≤ 25 ⇒ x ≤ ± 5 ≤ - 5 ≤ x ≤ 5
So, f (x) is continuous on [1, 5].
(ii) f ′(x)NCERT Exemplar: Continuity and Differentiability- 2 | Mathematics (Maths) for JEE Main & Advancedwhich exists in (1, 5).
So, f (x) is differentiable in [1, 5].
Since the above conditions are satisfied then there must exist atleast one point c ∈ (1, 5) such that
NCERT Exemplar: Continuity and Differentiability- 2 | Mathematics (Maths) for JEE Main & Advanced
NCERT Exemplar: Continuity and Differentiability- 2 | Mathematics (Maths) for JEE Main & Advanced
NCERT Exemplar: Continuity and Differentiability- 2 | Mathematics (Maths) for JEE Main & Advanced
Squaring both sides
NCERT Exemplar: Continuity and Differentiability- 2 | Mathematics (Maths) for JEE Main & Advanced

⇒ 2c2 = 75 – 3c2 ⇒ 5c2 = 75  ⇒ c2 = 15
∴ c = ± √15 ∈ (1, 5)
Hence, Mean Value Theorem is verified.

Q.77. Find a point on the curve y = (x – 3)2, where the tangent is parallel to the chord joining the points (3, 0) and (4, 1).
Ans.
Given that: y = (x – 3)2 
Let f(x) = (x – 3)2 
(i) Being an algebraic polynomial, f(x) is continuous at x1 = 3 and x2 = 4 i.e. in [3, 4].
(ii) f ′(x) = 2(x - 3) which exists in (3, 4).
Hence, by mean value theorem, there must exist a point c on the curve at which the tangent is parallel to the chord joining the points (3, 0) and (4, 1).
NCERT Exemplar: Continuity and Differentiability- 2 | Mathematics (Maths) for JEE Main & Advanced
NCERT Exemplar: Continuity and Differentiability- 2 | Mathematics (Maths) for JEE Main & Advanced
NCERT Exemplar: Continuity and Differentiability- 2 | Mathematics (Maths) for JEE Main & Advanced
IfNCERT Exemplar: Continuity and Differentiability- 2 | Mathematics (Maths) for JEE Main & Advanced
Hence,NCERT Exemplar: Continuity and Differentiability- 2 | Mathematics (Maths) for JEE Main & Advancedis the point on the curve at which the tangent is
parallel to the chord joining the points (3, 0) and (4, 1)

Q.78. Using mean value theorem, prove that there is a point on the curve y = 2x2 – 5x + 3 between the points A(1, 0) and B (2, 1), where tangent is parallel to the chord AB. Also, find that point.
Ans.
Given that: y = 2x2 – 5x + 3
Let f(x) = 2x2 – 5x + 3
(i) Being an algebraic polynomial, f(x) is continuous in [1, 2].
(ii) f ′(x) = 4x - 5 which exists in (1, 2).
As per the Mean Value Theorem, there must exist a point
c ∈ (1, 2) on the curve at which the tangent is parallel to the chord joining the
points A(1, 0) and B(2, 1).
SoNCERT Exemplar: Continuity and Differentiability- 2 | Mathematics (Maths) for JEE Main & Advanced
NCERT Exemplar: Continuity and Differentiability- 2 | Mathematics (Maths) for JEE Main & Advanced
NCERT Exemplar: Continuity and Differentiability- 2 | Mathematics (Maths) for JEE Main & Advanced⇒ 4c = 1 + 5 ⇒ 4c = 6
NCERT Exemplar: Continuity and Differentiability- 2 | Mathematics (Maths) for JEE Main & Advanced
NCERT Exemplar: Continuity and Differentiability- 2 | Mathematics (Maths) for JEE Main & Advanced
NCERT Exemplar: Continuity and Differentiability- 2 | Mathematics (Maths) for JEE Main & Advanced
Hence,NCERT Exemplar: Continuity and Differentiability- 2 | Mathematics (Maths) for JEE Main & Advancedis the point on the curve at which the tangent is
parallel to the chord joining the points A(1, 0) and B(2, 1).

Long Answer (L.A.)
Q.79. Find the values of p and q so that
NCERT Exemplar: Continuity and Differentiability- 2 | Mathematics (Maths) for JEE Main & Advanced
Ans.
Given that:
NCERT Exemplar: Continuity and Differentiability- 2 | Mathematics (Maths) for JEE Main & Advanced
L.H.L.NCERT Exemplar: Continuity and Differentiability- 2 | Mathematics (Maths) for JEE Main & Advanced
NCERT Exemplar: Continuity and Differentiability- 2 | Mathematics (Maths) for JEE Main & Advanced
NCERT Exemplar: Continuity and Differentiability- 2 | Mathematics (Maths) for JEE Main & Advanced
NCERT Exemplar: Continuity and Differentiability- 2 | Mathematics (Maths) for JEE Main & Advanced
R.H.L.NCERT Exemplar: Continuity and Differentiability- 2 | Mathematics (Maths) for JEE Main & Advanced
NCERT Exemplar: Continuity and Differentiability- 2 | Mathematics (Maths) for JEE Main & Advanced
For existing the limit
q – 2 – p = 0 ⇒ q – p = 2 ...(i)
NCERT Exemplar: Continuity and Differentiability- 2 | Mathematics (Maths) for JEE Main & Advanced
If L.H.L. f ′(1) = R.H.L. f ′(1) then q = 5.
Now putting the value of q in eqn. (i)
5 – p = 2 ⇒ p = 3.
Hence, value of p is 3 and that of q is 5.

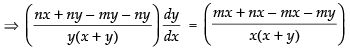
Q.80. If xm.yn = (x + y)m+n, prove that
(i)NCERT Exemplar: Continuity and Differentiability- 2 | Mathematics (Maths) for JEE Main & Advancedand
(ii)NCERT Exemplar: Continuity and Differentiability- 2 | Mathematics (Maths) for JEE Main & Advanced
Ans.
(i) Given that: xm.yn = (x + y)m + n
Taking log on both sides
log xm.yn = log (x + y)m + n [∵ log xy = log x + log y]
⇒ log xm + log yn = (m + n) log (x + y)
⇒ m log x + n log y = (m + n) log (x + y)
Differentiating both sides w.r.t. x
NCERT Exemplar: Continuity and Differentiability- 2 | Mathematics (Maths) for JEE Main & Advanced
NCERT Exemplar: Continuity and Differentiability- 2 | Mathematics (Maths) for JEE Main & Advanced
NCERT Exemplar: Continuity and Differentiability- 2 | Mathematics (Maths) for JEE Main & Advanced
NCERT Exemplar: Continuity and Differentiability- 2 | Mathematics (Maths) for JEE Main & Advanced
NCERT Exemplar: Continuity and Differentiability- 2 | Mathematics (Maths) for JEE Main & Advanced
NCERT Exemplar: Continuity and Differentiability- 2 | Mathematics (Maths) for JEE Main & Advanced
NCERT Exemplar: Continuity and Differentiability- 2 | Mathematics (Maths) for JEE Main & Advanced
NCERT Exemplar: Continuity and Differentiability- 2 | Mathematics (Maths) for JEE Main & Advanced
NCERT Exemplar: Continuity and Differentiability- 2 | Mathematics (Maths) for JEE Main & Advanced
NCERT Exemplar: Continuity and Differentiability- 2 | Mathematics (Maths) for JEE Main & AdvancedHence proved.

(ii) Given that:NCERT Exemplar: Continuity and Differentiability- 2 | Mathematics (Maths) for JEE Main & Advanced
 Differentiating both sides w.r.t. x
NCERT Exemplar: Continuity and Differentiability- 2 | Mathematics (Maths) for JEE Main & Advanced
NCERT Exemplar: Continuity and Differentiability- 2 | Mathematics (Maths) for JEE Main & AdvancedNCERT Exemplar: Continuity and Differentiability- 2 | Mathematics (Maths) for JEE Main & Advanced
NCERT Exemplar: Continuity and Differentiability- 2 | Mathematics (Maths) for JEE Main & Advanced
Hence,NCERT Exemplar: Continuity and Differentiability- 2 | Mathematics (Maths) for JEE Main & AdvancedHence, proved.

Q.81. If x = sint and y = sin pt, prove that
NCERT Exemplar: Continuity and Differentiability- 2 | Mathematics (Maths) for JEE Main & Advanced
Ans.
Given that: x = sin t and y = sin pt
Differentiating both the parametric functions w.r.t.t
NCERT Exemplar: Continuity and Differentiability- 2 | Mathematics (Maths) for JEE Main & Advanced
NCERT Exemplar: Continuity and Differentiability- 2 | Mathematics (Maths) for JEE Main & Advanced
Again differentiating w.r.t. x,
NCERT Exemplar: Continuity and Differentiability- 2 | Mathematics (Maths) for JEE Main & Advanced
NCERT Exemplar: Continuity and Differentiability- 2 | Mathematics (Maths) for JEE Main & Advanced
NCERT Exemplar: Continuity and Differentiability- 2 | Mathematics (Maths) for JEE Main & Advanced
Now we have to prove that
NCERT Exemplar: Continuity and Differentiability- 2 | Mathematics (Maths) for JEE Main & Advanced
NCERT Exemplar: Continuity and Differentiability- 2 | Mathematics (Maths) for JEE Main & Advanced
Hence, proved.

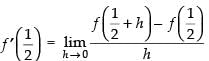
Q.82. FindNCERT Exemplar: Continuity and Differentiability- 2 | Mathematics (Maths) for JEE Main & Advanced if y = xtanx +
NCERT Exemplar: Continuity and Differentiability- 2 | Mathematics (Maths) for JEE Main & Advanced
Ans.
Given that: y =NCERT Exemplar: Continuity and Differentiability- 2 | Mathematics (Maths) for JEE Main & Advanced
Let u = xtanx and v = NCERT Exemplar: Continuity and Differentiability- 2 | Mathematics (Maths) for JEE Main & Advanced
∴ y = u + v
Differentiating both sides w.r.t. x
NCERT Exemplar: Continuity and Differentiability- 2 | Mathematics (Maths) for JEE Main & Advanced...(i)

Now taking u = xtan x 
Taking log on both sides log u = log (xtan x)
log u = tan x . log x
Differentiating both sides w.r.t. x
NCERT Exemplar: Continuity and Differentiability- 2 | Mathematics (Maths) for JEE Main & Advanced
NCERT Exemplar: Continuity and Differentiability- 2 | Mathematics (Maths) for JEE Main & Advanced
NCERT Exemplar: Continuity and Differentiability- 2 | Mathematics (Maths) for JEE Main & Advanced
NCERT Exemplar: Continuity and Differentiability- 2 | Mathematics (Maths) for JEE Main & Advanced
TakingNCERT Exemplar: Continuity and Differentiability- 2 | Mathematics (Maths) for JEE Main & Advanced
Differentiating both sides w.r.t. x
NCERT Exemplar: Continuity and Differentiability- 2 | Mathematics (Maths) for JEE Main & Advanced
Putting the values ofNCERT Exemplar: Continuity and Differentiability- 2 | Mathematics (Maths) for JEE Main & Advancedin eqn. (i)
NCERT Exemplar: Continuity and Differentiability- 2 | Mathematics (Maths) for JEE Main & Advanced

Objective Type Questions
Q.83. If f (x) = 2x and g (x) =NCERT Exemplar: Continuity and Differentiability- 2 | Mathematics (Maths) for JEE Main & Advancedthen which of the following can
be a discontinuous function

(a) f(x) + g(x) 
(b) f(x) – g(x) 
(c) f(x).g(x) 
(d)NCERT Exemplar: Continuity and Differentiability- 2 | Mathematics (Maths) for JEE Main & Advanced
Ans. (d)
Solution.
We know that the algebraic polynomials are continuous functions everywhere.
∴ f(x) + g(x) is continuous [∵ Sum, difference and product
f(x) - g(x) is continuous of two continuous functions is
f(x) . g(x) is continuous also continuous]
NCERT Exemplar: Continuity and Differentiability- 2 | Mathematics (Maths) for JEE Main & Advanced is only continuous if g(x) ≠ 0
NCERT Exemplar: Continuity and Differentiability- 2 | Mathematics (Maths) for JEE Main & Advanced
Here,NCERT Exemplar: Continuity and Differentiability- 2 | Mathematics (Maths) for JEE Main & Advancedwhich is discontinuous at x = 0.
Hence, the correct option is (d).

Q.84. The function f (x) =NCERT Exemplar: Continuity and Differentiability- 2 | Mathematics (Maths) for JEE Main & Advancedis
(a) discontinuous at only one point 
(b) discontinuous at exactly two points 
(c) discontinuous at exactly three points 
(d) none of these
Ans. (c)
Solution.
Given that: f(x) =NCERT Exemplar: Continuity and Differentiability- 2 | Mathematics (Maths) for JEE Main & Advanced
For discontinuous function  4x – x3 = 0
⇒ x(4 – x2) = 0
⇒ x(2 – x)(2 + x) = 0
⇒ x = 0, x = – 2, x = 2
Hence, the given function is discontinuous exactly at three points.
Hence, the correct option is (c).

Q.85. The set of points where the function f given by f(x) = NCERT Exemplar: Continuity and Differentiability- 2 | Mathematics (Maths) for JEE Main & Advanced sinx is differentiable is
(a) R 
(b)NCERT Exemplar: Continuity and Differentiability- 2 | Mathematics (Maths) for JEE Main & Advanced
(C) (0, ∞) 
(D) none of these
Ans. (b)
Solution.

Given that: f(x) =NCERT Exemplar: Continuity and Differentiability- 2 | Mathematics (Maths) for JEE Main & Advancedsinx
Clearly, f(x) is not differentiable at x =NCERT Exemplar: Continuity and Differentiability- 2 | Mathematics (Maths) for JEE Main & Advanced
R.H.L. =NCERT Exemplar: Continuity and Differentiability- 2 | Mathematics (Maths) for JEE Main & Advanced
NCERT Exemplar: Continuity and Differentiability- 2 | Mathematics (Maths) for JEE Main & Advanced
Also L.H.L. =NCERT Exemplar: Continuity and Differentiability- 2 | Mathematics (Maths) for JEE Main & Advanced
NCERT Exemplar: Continuity and Differentiability- 2 | Mathematics (Maths) for JEE Main & Advanced
∴ R.H.L. =NCERT Exemplar: Continuity and Differentiability- 2 | Mathematics (Maths) for JEE Main & Advanced
So, the given function f(x) is not differentiable at x =NCERT Exemplar: Continuity and Differentiability- 2 | Mathematics (Maths) for JEE Main & Advanced
∴ f(x) is differentiable in R -NCERT Exemplar: Continuity and Differentiability- 2 | Mathematics (Maths) for JEE Main & Advanced
Hence, the correct option is (b).

Q.86. The function f (x) = cot x is discontinuous on the set
(a) {x = nπ; n ∈ Z} 
(b) {x = 2nπ; n ∈ Z}
(c)NCERT Exemplar: Continuity and Differentiability- 2 | Mathematics (Maths) for JEE Main & Advanced
(d)NCERT Exemplar: Continuity and Differentiability- 2 | Mathematics (Maths) for JEE Main & Advanced
Ans. (a)
Solution.

Given that: f(x) = cot x
NCERT Exemplar: Continuity and Differentiability- 2 | Mathematics (Maths) for JEE Main & Advanced
We know that sin x = 0 if f(x) is discontinuous.
∴ If sin x = 0
∴ x = nπ, n ∈ nπ.
So, the given function f(x) is discontinuous on the set {x = nπ; n ∈ Z}.
Hence, the correct option is (a).

Q.87. The function f (x) =NCERT Exemplar: Continuity and Differentiability- 2 | Mathematics (Maths) for JEE Main & Advancedis
(a) continuous everywhere but not differentiable at x = 0 
(b) continuous and differentiable everywhere. 
(c) Not continuous at x = 0 
(d) None of these
Ans. (a)
Solution.

Given that: f(x) =NCERT Exemplar: Continuity and Differentiability- 2 | Mathematics (Maths) for JEE Main & Advanced 
We know that modulus function is continuous but not differentiable in its domain.
Let g(x) = NCERT Exemplar: Continuity and Differentiability- 2 | Mathematics (Maths) for JEE Main & Advanced and t(x) = ex
∴ f(x) = got(x) = g[t(x)] =NCERT Exemplar: Continuity and Differentiability- 2 | Mathematics (Maths) for JEE Main & Advanced 
Since g (x) and t(x) both are continuous at x = 0 but f(x) is not differentiable at x = 0.
Hence, the correct option is (a).

Q.88. If f (x) = x2 sinNCERT Exemplar: Continuity and Differentiability- 2 | Mathematics (Maths) for JEE Main & Advanced where x ≠ 0, then the value of the function f at x = 0, so that the function is continuous at x = 0, is
(a) 0 
(b) – 1 
(c) 1 
(d) none of these
Ans. (a)
Solution.

Given that: f(x) = x2 sinNCERT Exemplar: Continuity and Differentiability- 2 | Mathematics (Maths) for JEE Main & Advancedwhere x ≠ 0.
So, the value of the function f at x = 0, so that f(x) is continuous is 0.
Hence, the correct option is (a).

Q.89. IfNCERT Exemplar: Continuity and Differentiability- 2 | Mathematics (Maths) for JEE Main & Advanced , is continuous at x =NCERT Exemplar: Continuity and Differentiability- 2 | Mathematics (Maths) for JEE Main & Advancedthen
(a) m = 1, n = 0 
(b)NCERT Exemplar: Continuity and Differentiability- 2 | Mathematics (Maths) for JEE Main & Advanced
(c)NCERT Exemplar: Continuity and Differentiability- 2 | Mathematics (Maths) for JEE Main & Advanced
(d) m = n=NCERT Exemplar: Continuity and Differentiability- 2 | Mathematics (Maths) for JEE Main & Advanced
Ans. (c)
Solution.

Given that: f(x) =NCERT Exemplar: Continuity and Differentiability- 2 | Mathematics (Maths) for JEE Main & Advanced is continuous at x =NCERT Exemplar: Continuity and Differentiability- 2 | Mathematics (Maths) for JEE Main & Advanced
L.H.L. =NCERT Exemplar: Continuity and Differentiability- 2 | Mathematics (Maths) for JEE Main & Advanced=NCERT Exemplar: Continuity and Differentiability- 2 | Mathematics (Maths) for JEE Main & Advanced
R.H.L. =NCERT Exemplar: Continuity and Differentiability- 2 | Mathematics (Maths) for JEE Main & AdvancedNCERT Exemplar: Continuity and Differentiability- 2 | Mathematics (Maths) for JEE Main & Advanced
NCERT Exemplar: Continuity and Differentiability- 2 | Mathematics (Maths) for JEE Main & Advanced
When f(x) is continuous at x =NCERT Exemplar: Continuity and Differentiability- 2 | Mathematics (Maths) for JEE Main & Advanced
∴ L.H.L. = R.H.L.
NCERT Exemplar: Continuity and Differentiability- 2 | Mathematics (Maths) for JEE Main & Advanced
Hence, the correct option is (c).

Q.90. Let f (x) = |sin x|. Then
(a) f  is everywhere differentiable
(b) f  is everywhere continuous but not differentiable at x = nπ, n ∈ Z.
(c) f  is everywhere continuous but not differentiable at x = (2n + 1)

NCERT Exemplar: Continuity and Differentiability- 2 | Mathematics (Maths) for JEE Main & Advanced n ∈ Z.
(d) none of these
Ans. (b)
Solution.

Given that: f(x) =|sin x|
Let g(x) = sin x and t(x) =NCERT Exemplar: Continuity and Differentiability- 2 | Mathematics (Maths) for JEE Main & Advanced
∴ f(x) = tog(x) = t[g(x)] = t(sin x) =|sin x|
where g(x) and  t(x) both are continuous.
∴ f(x) = got(x) is continuous but t(x) is not differentiable at x = 0.
So, f(x) is not continuous at sin x = 0 ⇒ x = nπ, n ∈ Z.
Hence, the correct option is (b).

Q.91. If y = logNCERT Exemplar: Continuity and Differentiability- 2 | Mathematics (Maths) for JEE Main & AdvancedthenNCERT Exemplar: Continuity and Differentiability- 2 | Mathematics (Maths) for JEE Main & Advancedis equal to
(a)NCERT Exemplar: Continuity and Differentiability- 2 | Mathematics (Maths) for JEE Main & Advanced
(b)NCERT Exemplar: Continuity and Differentiability- 2 | Mathematics (Maths) for JEE Main & Advanced
(c)NCERT Exemplar: Continuity and Differentiability- 2 | Mathematics (Maths) for JEE Main & Advanced
(d)NCERT Exemplar: Continuity and Differentiability- 2 | Mathematics (Maths) for JEE Main & Advanced
Ans. (b)
Solution.

Given that: y =NCERT Exemplar: Continuity and Differentiability- 2 | Mathematics (Maths) for JEE Main & Advanced
⇒ y = log (1 – x2) – log (1 + x2)NCERT Exemplar: Continuity and Differentiability- 2 | Mathematics (Maths) for JEE Main & Advanced
Differentiating both sides w.r.t. x
NCERT Exemplar: Continuity and Differentiability- 2 | Mathematics (Maths) for JEE Main & Advanced
Hence, the correct option is (b).

Q.92. If y =NCERT Exemplar: Continuity and Differentiability- 2 | Mathematics (Maths) for JEE Main & AdvancedthenNCERT Exemplar: Continuity and Differentiability- 2 | Mathematics (Maths) for JEE Main & Advancedis equal to
(a)NCERT Exemplar: Continuity and Differentiability- 2 | Mathematics (Maths) for JEE Main & Advanced
(b)NCERT Exemplar: Continuity and Differentiability- 2 | Mathematics (Maths) for JEE Main & Advanced
(c)NCERT Exemplar: Continuity and Differentiability- 2 | Mathematics (Maths) for JEE Main & Advanced
(d)NCERT Exemplar: Continuity and Differentiability- 2 | Mathematics (Maths) for JEE Main & Advanced
Ans. (a)
Solution.

Given that: y =NCERT Exemplar: Continuity and Differentiability- 2 | Mathematics (Maths) for JEE Main & Advanced
Differentiating both sides w.r.t. x
NCERT Exemplar: Continuity and Differentiability- 2 | Mathematics (Maths) for JEE Main & Advanced
NCERT Exemplar: Continuity and Differentiability- 2 | Mathematics (Maths) for JEE Main & Advanced
NCERT Exemplar: Continuity and Differentiability- 2 | Mathematics (Maths) for JEE Main & Advanced
NCERT Exemplar: Continuity and Differentiability- 2 | Mathematics (Maths) for JEE Main & Advanced
NCERT Exemplar: Continuity and Differentiability- 2 | Mathematics (Maths) for JEE Main & Advanced
NCERT Exemplar: Continuity and Differentiability- 2 | Mathematics (Maths) for JEE Main & Advanced
NCERT Exemplar: Continuity and Differentiability- 2 | Mathematics (Maths) for JEE Main & Advanced
Hence, the correct option is (a).

Q.93. The derivative of cos–1 (2x2 – 1) w.r.t. cos–1x is
(a) 2 
(b)NCERT Exemplar: Continuity and Differentiability- 2 | Mathematics (Maths) for JEE Main & Advanced
(c)NCERT Exemplar: Continuity and Differentiability- 2 | Mathematics (Maths) for JEE Main & Advanced
(d) 1 – x2
Ans. (a)
Solution.

Let y = cos– 1(2x2 – 1) and t = cos– 1 x
Differentiating both the functions w.r.t. x
NCERT Exemplar: Continuity and Differentiability- 2 | Mathematics (Maths) for JEE Main & Advanced
NCERT Exemplar: Continuity and Differentiability- 2 | Mathematics (Maths) for JEE Main & Advanced
NCERT Exemplar: Continuity and Differentiability- 2 | Mathematics (Maths) for JEE Main & Advanced
NCERT Exemplar: Continuity and Differentiability- 2 | Mathematics (Maths) for JEE Main & Advanced
NowNCERT Exemplar: Continuity and Differentiability- 2 | Mathematics (Maths) for JEE Main & Advanced
Hence, the correct option is (a).

Q.94. If x = t2, y = t3, thenNCERT Exemplar: Continuity and Differentiability- 2 | Mathematics (Maths) for JEE Main & Advanced is
(a) 3/2
(b) 3/4t
(c) 3/2t
(d)2/3t
Ans. (b)
Solution.

Given that x = t2 and y = t
Differentiating both the parametric functions w.r.t. t
NCERT Exemplar: Continuity and Differentiability- 2 | Mathematics (Maths) for JEE Main & Advanced
NCERT Exemplar: Continuity and Differentiability- 2 | Mathematics (Maths) for JEE Main & Advanced
Now differentiating again w.r.t. x
NCERT Exemplar: Continuity and Differentiability- 2 | Mathematics (Maths) for JEE Main & Advanced
Hence, the correct option is (b).

Q.95. The value of c in Rolle’s theorem for the function f (x) = x3 – 3x in the interval [0, √3 ] is
(a) 1
(b) – 1
(c) 3/2

(d) 1/3
Ans. (a)
Solution.

Given that: f(x) = x3 – 3x in [0 , √3 ]
We know that if f(x) = x3 – 3x satisfies the conditions of Rolle’s
Theorem in [0 , √3 ] , then
f ′(c) = 0
⇒ 3c2 - 3 = 0  ⇒ 3c2  = 3 ⇒ c2 = 1
∴ c = ± 1 ⇒ 1 ∈ (0, √3 )
Hence, the correct option is (a).

Q.96. For the function f (x) = x +NCERT Exemplar: Continuity and Differentiability- 2 | Mathematics (Maths) for JEE Main & Advanced, x ∈ [1, 3], the value of c for mean value theorem is
(a) 1 
(b) √3 
(c) 2 
(d) none of these
Ans. (b)
Solution.

Given that: f (x) = x +NCERT Exemplar: Continuity and Differentiability- 2 | Mathematics (Maths) for JEE Main & Advanced, x ∈ [1, 3]
We know that if f(x) = x +NCERT Exemplar: Continuity and Differentiability- 2 | Mathematics (Maths) for JEE Main & Advanced, x ∈ [1, 3] satisfies all the
conditions of mean value theorem then
NCERT Exemplar: Continuity and Differentiability- 2 | Mathematics (Maths) for JEE Main & Advancedwhere a = 1 and b = 3
NCERT Exemplar: Continuity and Differentiability- 2 | Mathematics (Maths) for JEE Main & Advanced
NCERT Exemplar: Continuity and Differentiability- 2 | Mathematics (Maths) for JEE Main & Advanced
Here c = √3 ∈ (1, 3).
Hence, the correct option is (b).

Fill in the blanks
Q.97. An example of a function which is continuous everywhere but fails to be differentiable exactly at  two points is _________.
Ans.
NCERT Exemplar: Continuity and Differentiability- 2 | Mathematics (Maths) for JEE Main & Advancedis the function which is continuous everywhere
but fails to be differentiable at x = 0 and x = 1.
We can have more such examples.

Q.98. Derivative of x2 w.r.t. x3 is _________.
Ans.
Let y  = x2 and t = x3 
Differentiating both the parametric functions w.r.t. x⇒
NCERT Exemplar: Continuity and Differentiability- 2 | Mathematics (Maths) for JEE Main & Advanced
NCERT Exemplar: Continuity and Differentiability- 2 | Mathematics (Maths) for JEE Main & Advanced
So, the derivative of x2 w.r.t. x3 isNCERT Exemplar: Continuity and Differentiability- 2 | Mathematics (Maths) for JEE Main & Advanced

Q.99. If f (x) = |cosx|, then f ′NCERT Exemplar: Continuity and Differentiability- 2 | Mathematics (Maths) for JEE Main & Advanced= _______ .
Ans.
Given that: f (x) = |cosx|
⇒ f(x) = cos x ifNCERT Exemplar: Continuity and Differentiability- 2 | Mathematics (Maths) for JEE Main & Advanced
Differentiating both sides w.r.t. x, we get f ′(x) = - sin x
atNCERT Exemplar: Continuity and Differentiability- 2 | Mathematics (Maths) for JEE Main & Advanced

Q.100. If f (x) = |cosx – sinx | , then f ′NCERT Exemplar: Continuity and Differentiability- 2 | Mathematics (Maths) for JEE Main & Advanced= _______.
Ans.
Given that: f (x) = |cosx – sinx |
We know that sin x > cos x ifNCERT Exemplar: Continuity and Differentiability- 2 | Mathematics (Maths) for JEE Main & Advanced
⇒ cos x – sin x < 0
∴ f(x) = – (cos x – sin x)
f ′(x) = - (- sin x - cos x) ⇒ f ′(x) = (sin x + cos x)
NCERT Exemplar: Continuity and Differentiability- 2 | Mathematics (Maths) for JEE Main & Advanced

Q.101. For the curve √x + √y = 1 ,NCERT Exemplar: Continuity and Differentiability- 2 | Mathematics (Maths) for JEE Main & Advancedis ________.
Ans.
Given that: √x + √y = 1
Differentiating both sides w.r.t. x
NCERT Exemplar: Continuity and Differentiability- 2 | Mathematics (Maths) for JEE Main & Advanced
NCERT Exemplar: Continuity and Differentiability- 2 | Mathematics (Maths) for JEE Main & Advanced
NCERT Exemplar: Continuity and Differentiability- 2 | Mathematics (Maths) for JEE Main & Advanced
NCERT Exemplar: Continuity and Differentiability- 2 | Mathematics (Maths) for JEE Main & Advanced

State True or False for the statements
Q.102. Rolle’s theorem is applicable for the function f (x) = |x – 1| in [0, 2].
Ans.
False. Given that f(x) =|x – 1| in [0, 2].
We know that modulus function is not differentiable. So, it is false.

Q.103. If f is continuous on its domain D, then | f | is also continuous on D.
Ans.
True. We know that modulus function is continuous function on its domain.
So, it is true.

Q.104. The composition of two continuous function is a continuous function.
Ans.
True. We know that the sum and difference of two or more functions is always continuous. So, it is true.

Q.105. Trigonometric and inverse - trigonometric functions are differentiable in their respective domain.
Ans.
True.

Q.106. If f  . g  is continuous at x = a, then f and g are separately continuous at x = a.
Ans.
False. Let us take an example: f(x) = sin x and g(x) = cot x
∴ f(x).g(x) = sin x.cot x =NCERT Exemplar: Continuity and Differentiability- 2 | Mathematics (Maths) for JEE Main & Advanced= cos x which is continuous at x = 0
but cot x is not continuous at x = 0.

The document NCERT Exemplar: Continuity and Differentiability- 2 | Mathematics (Maths) for JEE Main & Advanced is a part of the JEE Course Mathematics (Maths) for JEE Main & Advanced.
All you need of JEE at this link: JEE
177 videos|618 docs|160 tests
Related Searches

Important questions

,

Exam

,

MCQs

,

Previous Year Questions with Solutions

,

Objective type Questions

,

Free

,

shortcuts and tricks

,

mock tests for examination

,

NCERT Exemplar: Continuity and Differentiability- 2 | Mathematics (Maths) for JEE Main & Advanced

,

past year papers

,

ppt

,

study material

,

Sample Paper

,

pdf

,

NCERT Exemplar: Continuity and Differentiability- 2 | Mathematics (Maths) for JEE Main & Advanced

,

Semester Notes

,

NCERT Exemplar: Continuity and Differentiability- 2 | Mathematics (Maths) for JEE Main & Advanced

,

video lectures

,

Viva Questions

,

practice quizzes

,

Summary

,

Extra Questions

;