Question for GATE Past Year Questions: Forecasting
Try yourself:An electric car manufacturer underestimated the January sales of car by 20 units, while the actual sales was 120 units. If the manufacturer uses exponential smoothing method with a smoothing constant of α = 0.2, then the sales forecast for the month of February of the same year is ______ units (in integer).
[2022]
Correct Answer : 103
Explanation
First, we need to find the forecast for January:
FJan = DJan - 20 (since January sales were underestimated by 20 units)
Given that the actual sales for January (DJan) were 120 units:
FJan = 120 - 20 = 100
Next, we can calculate the forecast for February using the exponential smoothing formula:
FFeb = FJan + α (DJan - FJan)
Substituting the known values:
FFeb = 100 + 0.2 (120 - 100)
Simplifying the equation:
FFeb = 100 + 0.2 × 20
FFeb = 100 + 4 = 104
Hence, the sales forecast for February is 104 units.
Check
View Solution
Question for GATE Past Year Questions: Forecasting
Try yourself:The table presents the demand of a product .By simple three-months moving aver age method, the demand-forecast of the product for the month of September is
Explanation
Three month moving average.
Forecast of the product for th e month of September is given by,
Report a problem
View Solution
Question for GATE Past Year Questions: Forecasting
Try yourself:The time series forecasting method that gives equal weightage to each of the most recent observation is
[2018]
Explanation
(a) Simple moving average method gi ves equal weight to each of the most recent observation
(b) Weighted moving average method gi ves more weight to the recent values.
(c) Triple exponential smoothing is a rul e of thumb technique for smoothing time series data using the exponential window function.
(d) Kalman filter is also used for time ser ies data using adaptive models.
Report a problem
View Solution
Question for GATE Past Year Questions: Forecasting
Try yourself:The demand for a two-wheeler was 900 units and 1030 units in April 2015 and May 2015, respectively.
The forecast for the month of April 2015 was 850 units. Considering a smoothing constant of 0.6, the forecast for the month of June 2015 is
[2016]
Explanation
Calculation of Forecast for June 2015 Using Exponential Smoothing
To calculate the forecast for June 2015 using Exponential Smoothing, we use the formula:
Forecast for next period = (α × Actual demand for current period) + (1 - α) × Forecast for current period
Given Data:
Smoothing constant (α) = 0.6
Actual demand for April 2015 = 900 units
Actual demand for May 2015 = 1030 units
Forecast for April 2015 = 850 units
Step 1: Forecast for May 2015
Using the forecast formula:
Forecast for May = (0.6 × 900) + (0.4 × 850) Forecast for May = 540 + 340 Forecast for May = 880 units
Step 2: Forecast for June 2015
Now, using the forecast for May and the actual demand for May:
Forecast for June = (0.6 × 1030) + (0.4 × 880) Forecast for June = 618 + 352 Forecast for June = 970 units
Final Answer:
The forecast for June 2015 is 970 units.
Correct option: (d) 970 units.
Report a problem
View Solution
Question for GATE Past Year Questions: Forecasting
Try yourself:Sales data of a product is given in the following table:
Regarding forecast for the month of June, which one of the following statements is TRUE?
[2015]
View Solution
Question for GATE Past Year Questions: Forecasting
Try yourself:In exponential smoothening method, which one of the following is true?
[2014]
Explanation
high value of ‘ means more weightage for immediate forecast.
Less value of ‘ means relatively less weightage for immediate forecast, or almost equal weightage for all previous forecast.
Hence high value of forecast is only chosen when nature of demand is not reliable rather unstable.
Report a problem
View Solution
Question for GATE Past Year Questions: Forecasting
Try yourself:In simple exponential smoothing forecasting, to give higher weightage to recent demand information, the smoothing constant must be close to
[2013]
Explanation
We know that
Conclusion:
It is showing the limit of responsiveness
Report a problem
View Solution
Question for GATE Past Year Questions: Forecasting
Try yourself:The demand and forecast for February are 12000 and 10275, respectively. Using single exponential smoothening method (smoothening coefficient = 0.25), forecast for the month of March is
[2010]
Explanation
Report a problem
View Solution
Question for GATE Past Year Questions: Forecasting
Try yourself:Which of the following forecasting methods takes a fraction of forecast error into account for the next period forecast?
[2009]
View Solution
Question for GATE Past Year Questions: Forecasting
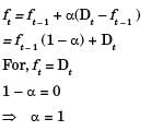
Try yourself:A moving average system is used for forecasting weekly demand. F1(t) and F2(t) are sequences of forecasts with parameters m1 and m2, respectively, where m1 and m2 (m1 > m2) denote the numbers of weeks over which the moving averages are taken. The actual demand shows a step increase
[2008]
Explanation
Gi ven that , at certain the demand increased from d1 to d2 The weightage of the latest demand should be thereface f2(t) become M2 > M2.
Report a problem
View Solution
Question for GATE Past Year Questions: Forecasting
Try yourself:In an MRP system, component demand is
[2006]
View Solution
Question for GATE Past Year Questions: Forecasting
Try yourself:The sales of a product during the last four years were 860, 880,870 and 890 units. The forecast for the fourth year was 876 units. If the forecast for the fifth year, using simple exponential smoothing, is equal to the forecast using a three period moving average the value of the exponential smoothing constant is
[2005]
Explanation
F 4 = 876 units
F5 = F3
Report a problem
View Solution
Question for GATE Past Year Questions: Forecasting
Try yourself:For a product, the forecast and the actual sales for December 2002 were 25 and 20 respectively.
If the exponential smoothing constant (a) is taken as 0.2, the forecast sales for January 2003 would be
[2004]
Explanation
Report a problem
View Solution
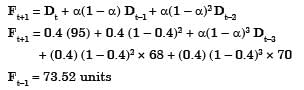
Question for GATE Past Year Questions: Forecasting
Try yourself:The sale of cycles in a shop in four consecutive months are given as 70, 68, 82, 95.
Exponentially smoothing average method with a smoothing factor of 0.4 is used in forecasting.
The expected number of sales in the next month is
[2003]
Explanation
Report a problem
View Solution
Question for GATE Past Year Questions: Forecasting
Try yourself:A regression model is used to express a variable V as a function of another variable X, this implies that
[2002]
Explanation
A regression model expresses a variable (typically denoted as Y) as a function of another variable (X), allowing us to use a given value of X to estimate a corresponding value of Y. However, this does not imply a causal relationship, exact determination, or the absence of causality; it only indicates a statistical relationship for estimation purposes.
Report a problem
View Solution
Question for GATE Past Year Questions: Forecasting
Try yourself:When using a simple moving average to forecast demand, one would
[2001]
View Solution
Question for GATE Past Year Questions: Forecasting
Try yourself:In a time series forecasting model, the demand for five time periods was 10,13,15,18 and 22. A linear regression fit resulted in an equation F = 6.9 + 2.9 where F is the forecast for period f.
The sum of absolute deviations for the five data is
Question for GATE Past Year Questions: Forecasting
Try yourself:The most commonly used criteria for measuring forecast error is
[1997]
View Solution
Question for GATE Past Year Questions: Forecasting
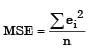
Try yourself: In a forecasting model, at the end of period 13, the forecasted value for period 14 is 75. Actual value in the periods 14 to 16 are constant at 100.
If the assumed simple exponential smoothing parameter is 0.5, then the MSE at the end of period 16 is
Question for GATE Past Year Questions: Forecasting
Try yourself:Which of the following is a technique for forecasting?
[1989]
View Solution
Question for GATE Past Year Questions: Forecasting
Try yourself:Which one of the following forecasting techniques is not suited for making forecasts for planning Production schedules in the short range?
FAQs on GATE Past Year Questions: Forecasting - Industrial Engineering - Mechanical Engineering
1. What are the key topics covered in the GATE Mechanical Engineering syllabus for forecasting?
Ans. The GATE Mechanical Engineering syllabus for forecasting typically includes topics such as time series analysis, trend analysis, seasonal variations, moving averages, exponential smoothing, and regression analysis. Understanding these concepts is crucial for effective forecasting in mechanical engineering applications.
2. How can I prepare effectively for the forecasting section of the GATE Mechanical Engineering exam?
Ans. To prepare effectively for the forecasting section, students should focus on understanding the underlying statistical concepts, practice solving previous years' GATE questions related to forecasting, and utilize study materials such as textbooks and online resources that cover both theory and practical applications.
3. What types of forecasting questions are commonly asked in the GATE Mechanical Engineering exam?
Ans. Common types of forecasting questions in the GATE Mechanical Engineering exam include numerical problems requiring the application of time series forecasting methods, questions on calculating moving averages, and scenarios where candidates must analyze data trends and make predictions based on given datasets.
4. Are there any specific books recommended for GATE preparation in forecasting for Mechanical Engineering?
Ans. Yes, some recommended books for GATE preparation in forecasting for Mechanical Engineering include "Statistics for Engineers and Scientists" by William Navidi, "Forecasting: Methods and Applications" by Spyros Makridakis, and various GATE preparation guides that focus on the engineering mathematics and statistics sections.
5. How important is the forecasting section in the GATE Mechanical Engineering exam scoring?
Ans. The forecasting section is important in the GATE Mechanical Engineering exam as it contributes to the overall score. While it may not be the largest section, having a good grasp of forecasting concepts can help candidates solve several questions correctly, potentially improving their rank and chances of admission to postgraduate programs.