Q1: A liquid fills a horizontal capillary tube whose one end is dipped in a large pool of the liquid. Experiments show that the distance L travelled by the liquid meniscus inside the capillary in time t is given by
where γ is the surface tension, R is the inner radius of the capillary, and μ μ is the dynamic viscosity of the liquid. If k is a dimensionless constant, then the exponent a a is _____ (rounded off to 1 decimal place). [GATE ME 2024]
Ans: (0.5 to 0.5)
Dimensions - length, L = [ L ]
Surface Tension, γ = [ M T- 2]
Radius, R = [L]
Dynamic viscosity, μ = [M L- 1 T- 1 ]
Time, t = [T]
K is dimensionless
So, a + c = 0 ⇒ c =-a
-2a - c + 1/2 = 0
-a + 1/2 = 0
⇒ a = 1/2
⇒ a = 0.5
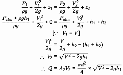
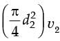
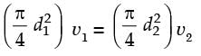
Q1: A tube of uniform diameter D is immersed in a steady flowing inviscid liquid stream of velocity V, as shown in the figure. Gravitational acceleration is represented by g. The volume flow rate through the tube is ______. [GATE ME 2022, SET-2]
(a) π/4 D2V
(b) π/4 D2
(c) π/4 D2
(d) π/4 D2 
Ans: (d) 
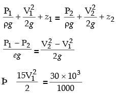
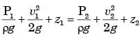
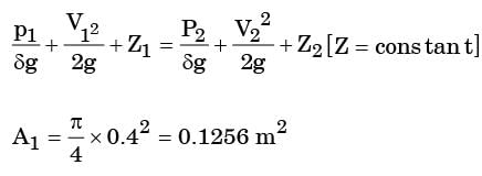
By applying Bernoulli's equation between (1) and (2)
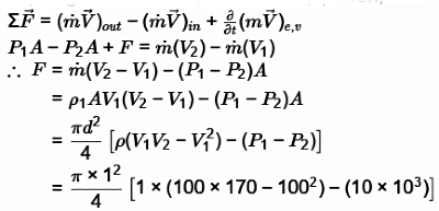
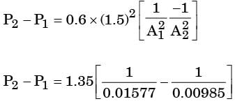
Q2: Consider steady, one-dimensional compressible flow of a gas in a pipe of diameter 1 m. At one location in the pipe, the density and velocity are 1 kg/m3 and 100 m/s, respectively. At a downstream location in the pipe, the velocity is 170 m/s. If the pressure drop between these two locations is 10 kPa, the force exerted by the gas on the pipe between these two locations is ____________ N. [GATE ME 2022 SET-1]
(a) 350π2
(b)750π
(c) 1000π
(d) 3000
Ans: (b)

Applying momentum equation to the pipe flow,
= - 750π N
Negative sign shows that assumed direction of force is opposite of actual direction.
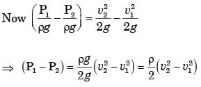
Q1: A cylindrical jet of water (density = 1000 kg/m3) impinges at the center of a flat, circular plate and spreads radially outwards, as shown in the figure. The plate is resting on a linear spring with a spring constant k = 1 k N/m k. The incoming jet diameter is D=1cm.
If the spring shows a steady deflection of 1 cm upon impingement of jet, then the velocity of the incoming jet is _______m/s (round off to one decimal place). [GATE ME 2021, SET-1]
Ans: (11.2 to 11.4)
δ = 1cm
D = 1cm
p = 1000 kg/m3
K = 1kN - m
Force due to jet = Spring force
pAV2 = kx
V = 11.28 m/s ≃ 11.3 m/s
4 Try yourself: A U-tube manometer with a small quantity of mercury is used to measure the static pressure difference between two locations A and B in a conical section through which an incompressible fluid flows. At a particular flow rate, the mercury column appears as shown in the figure. The density of mercury is 13600 kg/ m3 and g - 9.81 m/s2. Which of the following is correct? [2005]
Try yourself: A venturimeter of 20 mm throat diameter is used to measure the velocity of water in a horizontal pipe of 40 mm diameter. If the pressure difference between the pipe and throat sections is found to be 30 kPa then, neglecting frictional losses, the flow velocity is [2005]
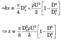
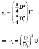
Try yourself: Air flows through a venturi and into atmosphere. Air density is ρa; atmospheric pressure is ρa; throat diameter is Dt; exit diameter is D and exit velocity is U. The throat is connected to a cylinder containing a frictionless piston attached to a spring. The spring constant is k. The bottom surface of the piston is exposed to atmosphere. Due to the flow, the piston moves by distance x. Assuming incompressible frictionless flow, x is [2003]
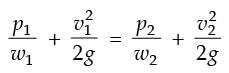
Try yourself: Water flows though a vertical contraction from a pipe of diameter d to another of diameter d/2 (see fig.) The flow velocity at the inlet to the contraction is 2 m/s and pressure 200 kN/m2. If the height of the contraction measures 2m,then pressure at the exit of the contraction will be very nearly [1999]
Try yourself: In a hand operated liquid sprayer (figure shown below) the liquid from the container rises to the top of the tube because of [1990]
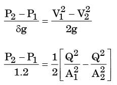
Try yourself: Air flows at the rate of 1.5 m3/s through a horizontal pipe with a gradually reducing crosssection as shown in the figure. The two crosssections of the pipe have diameters of 400 mm and 200 mm. Take the air density as 1.2 kg/m3 and assume inviscid incompressible flow. The change in pressure (p2 – p1) (in kPa) between sections 1 and 2 is [2018, Set-2]
Try yourself: Within a boundary layer for a steady incompressible flow, the Bernoulli equation [2015,Set-2]
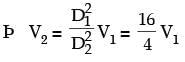
Try yourself: Consider steady flow of water in a situation where two pipe lines (pipe 1 and pipe 2) combine into a single pipe line (pipe 3) as shown in figure. [2009]
The cross-sectional'area of all three pipelines are constant. The following data is given


Assuming the water properties and the velocities to be uniform across the cross-section of the inlets and the outlet, the exit velocity (in m/s) in pipe 3 is
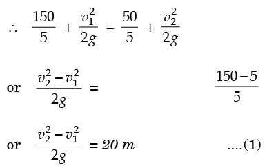
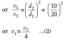
Try yourself: Consider steady, incompressible and irrotational flow through a reducer in a horizontal pipe where the diameter is reduced from 20 cm to 10 cm. The pressure in the 20 cm pipe just upstream of the reducer is 150 kPa. The fluid has a vapour pressure of 50 kPa and a specific weight of 5 kN/m3. Neglecting frictional effects, the maximum discharge (in m3/s) that can pass through the reducer without causing cavitation is [2009]
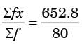
Try yourself: The following data about the flow of liquid was observed in a continuous Chemical process plant: [2004]
Mean flow rate of the liquid is
Try yourself: Navier Stoke's equation represents the conservation of [2000]
| 1. What is fluid dynamics? | ![]() |
| 2. What are the applications of fluid dynamics? | ![]() |
| 3. What are the fundamental principles of fluid dynamics? | ![]() |
| 4. How is fluid dynamics related to Bernoulli's principle? | ![]() |
| 5. What are some common challenges in studying fluid dynamics? | ![]() |