Mechanical Engineering Exam  >  Mechanical Engineering Notes  >  Thermodynamics  >  GATE Past Year Questions: Internal Combustion Engine

GATE Past Year Questions: Internal Combustion Engine | Thermodynamics - Mechanical Engineering PDF Download

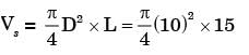
Q1: A furnace can supply heat steadily at 1200 K at a rate of 24000 kJ/min. The maximum amount of power (in kW) that can by using the heat supplied by the furnace in an environment at 300 K is  [GATE ME 2024]
(a) 300
(b) 150
(c) 18000
(d) 0
Ans:
(a)
GATE Past Year Questions: Internal Combustion Engine | Thermodynamics - Mechanical EngineeringGATE Past Year Questions: Internal Combustion Engine | Thermodynamics - Mechanical Engineering
GATE Past Year Questions: Internal Combustion Engine | Thermodynamics - Mechanical Engineering
on GATE Past Year Questions: Internal Combustion Engine | Thermodynamics - Mechanical Engineering
= 300 kW

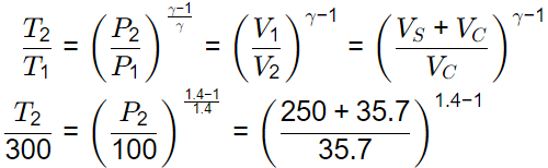
Q1: An engine running on an air standard Otto cycle has a displacement volume 250 cm3 and a clearance volume 35.7 cm3. The pressure and temperature at the beginning of the compression process are 100 kPa and 300 K, respectively. Heat transfer during constant-volume heat addition process is 800 kJ/kg. The specific heat at constant volume is 0.718 kJ/kg.K and the ratio of specific heats at constant pressure and constant volume is 1.4. Assume the specific heats to remain constant during the cycle. The maximum pressure in the cycle is ______ kPa (round off to the nearest integer). [GATE ME 2022 SET-1]
Ans: 
4780 to 4825
GATE Past Year Questions: Internal Combustion Engine | Thermodynamics - Mechanical EngineeringVS = 250 cm3
VC = 35.7 cm3
T1 = 300 K
P1 = 100 kPa
QS = 800 kJ/kg
Cv = 0.718 kJ/kgK
γ = 1.4
P3 = ___ kPa
GATE Past Year Questions: Internal Combustion Engine | Thermodynamics - Mechanical Engineering
T2 = 689.31 K
P2 = 1838.82 kPa
QS = cv x (T3 - T2)
800 = 0.718 (T3 - 689.31)
T3 = 1803.516 K
For Process 2-3 (Volume is constant)
GATE Past Year Questions: Internal Combustion Engine | Thermodynamics - Mechanical Engineering

P3 = 4811 kPa

Q1: For an air-standard Diesel cycle,  [GATE ME 2020 SET-2]
(a) heat addition is at constant volume and heat rejection is at constant pressure
(b) heat addition is at constant pressure and heat rejection is at constant pressure
(c) heat addition is at constant pressure and heat rejection is at constant volume
(d) heat addition is at constant volume and heat rejection is at constant volume
Ans: (c)
Heat addition is at constant pressure and heat rejection is at constant volume.

Q2: The indicated power developed by an engine with compression ratio of 8, is calculated using an air-standard Otto cycle {constant properties). The rate of heat addition is 10 kW. The ratio of specific heats at constant pressure and constant volume is 1.4. The mechanical efficiency of the engine is 80 percent.
The brake power output of the engine is ________ kW (round off to one decimal place).  [GATE ME 2020 SET-1]
Ans:
4.4 to 4.6
GATE Past Year Questions: Internal Combustion Engine | Thermodynamics - Mechanical Engineering
W/Q1 = 0.5647
W = GATE Past Year Questions: Internal Combustion Engine | Thermodynamics - Mechanical Engineering
BP = ηm x W = 0.8 x 5.647
= 4.5175 kW

Question for GATE Past Year Questions: Internal Combustion Engine
Try yourself: In air standard Ottocycle the terminal pressures at the end of compression, heat release and expansion are respectively P2, P3 and P4. If the corresponding values are P2, P3, and P4, taking into account the effect of variable specific heat and dissociation of the working fluid, then

'[1989 : 2 Marks]

View Solution

Question for GATE Past Year Questions: Internal Combustion Engine
Try yourself:An air standard diesel cycle consists of

[1990]

View Solution

Question for GATE Past Year Questions: Internal Combustion Engine
Try yourself:With increasing temperature of intake air, CI engine efficiency

[1998]

View Solution

Question for GATE Past Year Questions: Internal Combustion Engine
Try yourself:An IC engine has a bore and stroke of 2 units each. The area to calculate heat loss can be taken as

[1998]

View Solution

Question for GATE Past Year Questions: Internal Combustion Engine
Try yourself:An air breathing air craft is flying at an altitude where the air density is half the value at ground level. With reference to the ground level, the air- fuel ratio at this altitude will be
View Solution

Question for GATE Past Year Questions: Internal Combustion Engine
Try yourself:In a spark ignition engine working on the ideal Otto cycle, the compression ratio is 5.5. The work output per cycle (i.e., area of the P – V diagram) is equal to 23.625 × 105 × VcJ, where VC is the clearance volume in m3. The indicated mean effective pressure is

[2001]

View Solution

Question for GATE Past Year Questions: Internal Combustion Engine
Try yourself:An ideal air standard Otto cycle has a compression ratio of 8.5. If the ratio of the specific heats of air (g) is 1.4, what is the thermal efficiency (in percentage) of the Otto cycle?

[2002]

View Solution

Question for GATE Past Year Questions: Internal Combustion Engine
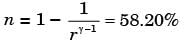
Try yourself:For an engine operating on air standard Otto cycle, the clearance volume is 10% of the swept volume. The specific heat ratio of air is 1.4.The air standard cycle efficiency is

[2003]

View Solution

Question for GATE Past Year Questions: Internal Combustion Engine
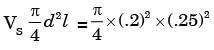
Try yourself:An engine working on air standard Otto cycle has a cylinder diameter of 10 cm and stroke length of 15 cm. The ratio of specific heats for air is 1.4. If the clearance volume is 196.3 cc and the heat supplied per kg of air per cycle is 1800 kJ/kg, the work output per cycle per kg of air is

[2004]

View Solution

Question for GATE Past Year Questions: Internal Combustion Engine
Try yourself:The stroke and bore of a four stroke spark ignition engine are 250 mm and 200 mm respectively. The clearance volume is 0.001 m3.If the specific heat ratio g = 1.4, the air-standard cycle efficiency of the engine is

[2007]

View Solution

Question for GATE Past Year Questions: Internal Combustion Engine
Try yourself:Which one of the following is NOT a necessary assumption for the air-standard Otto cycle?

[2008]

View Solution

Question for GATE Past Year Questions: Internal Combustion Engine
Try yourself:In an air-standard Otto cycle, the compression ratio is 10. The condition at the beginning of the compression process is 100 kPa and 27°C.Heat added at constant volume is 1500 kJ/kg, while 700 kJ/kg of heat is rejected during the other constant volume process in the cycle.Specific gas constant for air = 0.287 kJ/kgK.The mean effective pressure (in kPa) of the cycle is

[2009]

View Solution

Question for GATE Past Year Questions: Internal Combustion Engine
Try yourself:The crank radius of a single-cylinder IC engine is 60 mm and the diameter of the cylinder is 80 mm. The swept volume of the cylinder in cm3 is

[2011]

View Solution

Question for GATE Past Year Questions: Internal Combustion Engine
Try yourself:For the same values of peak pressure, peak temperature and heat rejection, the correct order of efficiencies for Otto, Duel and Diesel cycles is

[2015]

View Solution

Question for GATE Past Year Questions: Internal Combustion Engine
Try yourself:The power output from a spark ignition engine is varied by

[1990]

View Solution

Question for GATE Past Year Questions: Internal Combustion Engine
Try yourself:For determining the ignition quality of compression ignition engine fuels, the reference fuels used are

[1991]

View Solution

Question for GATE Past Year Questions: Internal Combustion Engine
Try yourself:If air fuel ratio of the mixture in petrol engine is more than 15:1

[1991]

View Solution

Question for GATE Past Year Questions: Internal Combustion Engine
Try yourself:Alcohols are unsuitable at diesel engine fuels because

[1992]

View Solution

Question for GATE Past Year Questions: Internal Combustion Engine
Try yourself:Knocking tendency in a Sl engine reduces with increasing

[1993]

View Solution

Question for GATE Past Year Questions: Internal Combustion Engine
Try yourself:In order to burn 1 kilogram of CH4 completely, the minimum number of kilograms of oxygen needed is (take atomic weights of H, C and O as 1, 12 and 16 respectively)

[1995]

View Solution

Question for GATE Past Year Questions: Internal Combustion Engine
Try yourself:The silencer of an internal combustion engine

[1999]

View Solution

Question for GATE Past Year Questions: Internal Combustion Engine
Try yourself:A diesel engine is usually more efficient than a spark ignition engine because

[2003]

View Solution

Question for GATE Past Year Questions: Internal Combustion Engine
Try yourself:At the time of starting, idling and low speed operation, the carburettor supplies a mixture which can be termed as

[2004]

View Solution

Question for GATE Past Year Questions: Internal Combustion Engine
Try yourself:BHP of a diesel engine can be increased by

[1991]

View Solution

Question for GATE Past Year Questions: Internal Combustion Engine
Try yourself:Brake thermal efficiency of the three basic types of reciprocating engines commonly used in road vehicles are given in the increasing order as

[1992]

View Solution

The document GATE Past Year Questions: Internal Combustion Engine | Thermodynamics - Mechanical Engineering is a part of the Mechanical Engineering Course Thermodynamics.
All you need of Mechanical Engineering at this link: Mechanical Engineering
29 videos|152 docs|36 tests

FAQs on GATE Past Year Questions: Internal Combustion Engine - Thermodynamics - Mechanical Engineering

1. What are the basic principles of internal combustion engines?
Ans.Internal combustion engines operate on the principle of converting fuel into mechanical energy through combustion. The process involves the intake of air and fuel, compression of the mixture, ignition, and the expansion of gases that drive the engine's piston to produce work.
2. What are the different types of internal combustion engines commonly used?
Ans.Common types of internal combustion engines include spark ignition (SI) engines, such as gasoline engines, and compression ignition (CI) engines, such as diesel engines. Each type has distinct fuel requirements, ignition methods, and operational characteristics.
3. How does the efficiency of an internal combustion engine get measured?
Ans.The efficiency of an internal combustion engine is typically measured using thermal efficiency, which is the ratio of the work output to the heat input from fuel. Additionally, brake specific fuel consumption (BSFC) is used to measure the fuel efficiency relative to the power output.
4. What are the major factors affecting the performance of internal combustion engines?
Ans.Factors affecting engine performance include fuel quality, air-fuel mixture ratio, engine design (such as displacement and compression ratio), operating conditions (like temperature and pressure), and maintenance practices. Each factor can influence power output, efficiency, and emissions.
5. What are the common emissions produced by internal combustion engines and their environmental impact?
Ans.Internal combustion engines produce emissions such as carbon monoxide (CO), nitrogen oxides (NOx), hydrocarbons (HC), and particulate matter (PM). These pollutants can contribute to air quality degradation, respiratory problems, and climate change, prompting regulations and advancements in cleaner technologies.
Related Searches

Extra Questions

,

GATE Past Year Questions: Internal Combustion Engine | Thermodynamics - Mechanical Engineering

,

Important questions

,

Summary

,

Semester Notes

,

shortcuts and tricks

,

video lectures

,

GATE Past Year Questions: Internal Combustion Engine | Thermodynamics - Mechanical Engineering

,

Previous Year Questions with Solutions

,

Free

,

Exam

,

Objective type Questions

,

MCQs

,

Sample Paper

,

practice quizzes

,

study material

,

mock tests for examination

,

pdf

,

GATE Past Year Questions: Internal Combustion Engine | Thermodynamics - Mechanical Engineering

,

ppt

,

past year papers

,

Viva Questions

;