Class 8 Exam  >  Class 8 Notes  >  Mathematics (Maths) Class 8  >  Sample Question Paper- 4

Sample Question Paper- 4 | Mathematics (Maths) Class 8 PDF Download

Class - VIII
Mathematics
Time - 3 hrs
M.M. - 80 Marks

General Instructions :

1. All questions are compulsory.
2. The question paper consist of 30 questions divided into four sections A, B, C and D. Section A comprises of 6 questions of 1 mark each, Section B comprises of 6 questions of 2 marks each, Section C comprises of 10 questions of 3 marks each and Section D comprises of 8 questions of 4 marks each.
3. There is no overall choice. 4. Use of calculator is not allowed.

SECTION ‘A’ (1 mark each)

Q.1. Write the first five square numbers.
Ans. 1, 4, 9, 16, 25

Q.2. Factorise : 12x + 36
Ans. 12x + 36
12x = 2 × 2 × 3 × x
36 = 2 × 2 × 3 × 3
The common factors of the three terms are 2, 2 and 3.
Therefore,
12x + 36 = (2 × 2 × 3 × x) + (2 × 2 × 3 × 3)
= 2 × 2 × 3 (x + 5)
= 12(x + 3)

Q.3. Is 500 a perfect cube ?
Ans. 500 = 5 × 5 × 5 × 2 × 2
∵ In the above prime factorisation 2 × 2 remain after grouping the prime factors in triples.
∴ 500 is not a perfect cube.

Q.4. Factorise :
Sample Question Paper- 4 | Mathematics (Maths) Class 8 

Ans.
Sample Question Paper- 4 | Mathematics (Maths) Class 8
Sample Question Paper- 4 | Mathematics (Maths) Class 8

Q.5. Express 3–5 × 3–4 as a power of 3 with positive exponent.

Ans. 3–5 × 3–4 = 3–9 = Sample Question Paper- 4 | Mathematics (Maths) Class 8

Q.6. If the division N/2 leaves a remainder of 1, what might be the one’s digit of N ?
Ans. N is odd; so its one’s digit is odd. Therefore, the one’s digit must be 1, 3, 5, 7 or 9.

SECTION ‘B’ (2 marks each) 

Q.7. Find the volume of the following cuboids figure.
(a)
Sample Question Paper- 4 | Mathematics (Maths) Class 8
(b)
Sample Question Paper- 4 | Mathematics (Maths) Class 8

Ans. (a) l = 8 cm, b = 3 cm, h = 2 cm
The volume of cuboid = l × b × h
= 8 × 3 × 2
The volume of cuboid = 48 cm3

(b) Height = 3 cm = 0.03 m
Area of rectangle part = 24 m2
The volume of cuboid = Area of rectangle part × Height
= 24 m× 0.03 m
The volume of cuboid = 0.72 m3

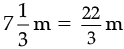
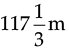
Q.8. If Sample Question Paper- 4 | Mathematics (Maths) Class 8 long rope is cut into equal pieces measuring Sample Question Paper- 4 | Mathematics (Maths) Class 8each. How many such small pieces are there ?

Ans. Given, Length of rope = Sample Question Paper- 4 | Mathematics (Maths) Class 8
Length of each small piece = Sample Question Paper- 4 | Mathematics (Maths) Class 8
Number of such small pieces = Sample Question Paper- 4 | Mathematics (Maths) Class 8
= 16

Q.9. Factorise :
(a) 12x + 36
(b) 22y – 33z

Ans. 
(a) We have, 12x = 3 × 2 × 2 × x
= (2 × 2 × 3) × x
36 = 2 × 2 × 3 × 3
= (2 × 2 × 3) × 3
∴ 12x + 36 = [(2 × 2 × 3) × x] + [(2 × 2 × 3) × 3]

= 2 × 2 × 3 [x + 3]
= 12 (x + 3)

(b) We have 22y = 2 × 11 × y
332 = 3 × 11 × 2
22y + 33z = 2 × 11 × y + 3 × 11 × 2
= 11 (2y + 3z)

Q.10. Find the value of x, 10000x = (9982)2 – (18)2
Ans. R.H.S
= (9982)2 – (18)2
= (9982 + 18) (9982 – 18) [Since, a2 – b2 = (a + b) (a – b)]
= (10000) × (9964)
L.H.S = (10000) × x
Comparing  L.H.S. and R.H.S, we get
10000x = 10000 × 9964
or x Sample Question Paper- 4 | Mathematics (Maths) Class 8

11. A machinery worth Rs. 10,500 depreciated by 5%. Find its value after one year.
Ans. P = Rs. 10,500
Reduction = 5% of Rs. 10,500 per year
Sample Question Paper- 4 | Mathematics (Maths) Class 8
Reduction = Rs. 525
Value after 1 year = 10,500 – 525
Cost value after 1 year = Rs. 9975

Q.12. The length and breadth of a rectangle are 3x2 – 2 and 2x + 5 respectively. Find its area.
Ans. Here, length = 3x2 – 2
breadth = 2x + 5
∴ Area = (length) × (breadth)
= (3x2 – 2) × (2x + 5)
= 3x2 (2x + 5) + (– 2) (2x + 5)
= 6x3 + 15x2 – 4x – 10
Thus, the required area of the rectangle is 6x3 – 15x2 – 4x – 10 sq. units.

SECTION ‘C’ (3 marks each) 

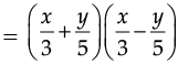
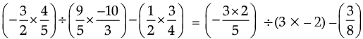
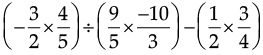
Q.13. Simplify :
Sample Question Paper- 4 | Mathematics (Maths) Class 8

Ans. Sample Question Paper- 4 | Mathematics (Maths) Class 8
Sample Question Paper- 4 | Mathematics (Maths) Class 8

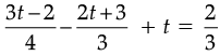
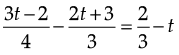
Q.14. Simplify and solve the following :
Sample Question Paper- 4 | Mathematics (Maths) Class 8

Ans. Sample Question Paper- 4 | Mathematics (Maths) Class 8
or, Sample Question Paper- 4 | Mathematics (Maths) Class 8
or, Sample Question Paper- 4 | Mathematics (Maths) Class 8
or, 9t – 6 – 8t – 12 + 12t = Sample Question Paper- 4 | Mathematics (Maths) Class 8
or, 13t – 18 = 8
or, 13t = 8 + 18
or, 13t = 26
or, Sample Question Paper- 4 | Mathematics (Maths) Class 8
To check
Sample Question Paper- 4 | Mathematics (Maths) Class 8
or, Sample Question Paper- 4 | Mathematics (Maths) Class 8
or, Sample Question Paper- 4 | Mathematics (Maths) Class 8
or, Sample Question Paper- 4 | Mathematics (Maths) Class 8
or, Sample Question Paper- 4 | Mathematics (Maths) Class 8
or, Sample Question Paper- 4 | Mathematics (Maths) Class 8
or, LHS = RHS

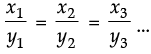
Q.15. There is a narrow rectangular plot, reserved for a school, in Mahuli village. The length and breadth of the plot are in the ratio 11 : 4. At the rate Rs. 100 per metre it will cost the village panchayat Rs. 75000 to fence the plot. What are the dimensions of the plot ?
Ans. Let the length and breadth of the plot be 11 x and 4x, respectively.
∴ Perimeter of the plot = Sample Question Paper- 4 | Mathematics (Maths) Class 8
Sample Question Paper- 4 | Mathematics (Maths) Class 8
We know that perimeter of rectangle = 2 (l + b)
∴ According to question,
2 (11x + 4x) = 750
or, 15x = Sample Question Paper- 4 | Mathematics (Maths) Class 8
or, 15x = 375
or, x = Sample Question Paper- 4 | Mathematics (Maths) Class 8
or, x = 25
Hence, length of plot = 11 × 25 = 275 m
and breadth of the plot 4 × 25 =100 m.

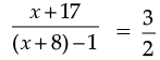
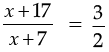
Q.16. The denominator of a rational number is greater then its numerator by 8. If the numerator is increased by 17 and the denominator is decreased by 1, the number obtained is  3/2. Find the rational number.
Ans. Let the numerator of rational number be x
and denominator = x + 8
Therefore rational number = Sample Question Paper- 4 | Mathematics (Maths) Class 8
According to question,
Sample Question Paper- 4 | Mathematics (Maths) Class 8
or, Sample Question Paper- 4 | Mathematics (Maths) Class 8
or, 2 (x + 17) = 3 (x + 7)
or, 2x + 34 = 3x + 21
or, 2x – 3x = 21 – 34    [Transposing 3x to LHS and 34 to RHS]
or, – x = – 13
or, x = 13
Hence, the required rational number
Sample Question Paper- 4 | Mathematics (Maths) Class 8

Q.17. A grandfather is ten times older than his granddaughter. He is also 54 years older than her. Find their present age.
Ans. Let the present age of granddaughter be x.
and the present age of grandfather = 10 x
According to question,
10x = x + 54
or, 10x – x = 54
or, 9x = 54
or, Sample Question Paper- 4 | Mathematics (Maths) Class 8
Hence, granddaughter ’s age = 6 years
and grandfather ’s age = 6 × 10 = 60 years.

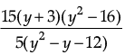
Q.18. Divide : 15 (y + 3) (y2 – 16) by 5 (y2 – y – 12)
Ans. Factorising 15 (y +3) (y2 – 16),
We get, 5 × 3 × (y + 3) (y – 4) (y + 4)
On factorising, 5 (y2 – y – 12), we get 5 (y2 – 4y + 3y – 12)
= 5 [y (y – 4) + 3 (y – 4)]
= 5 (y – 4) (y + 3)
Therefore, on dividing the first expression by the second expression, we get Sample Question Paper- 4 | Mathematics (Maths) Class 8
Sample Question Paper- 4 | Mathematics (Maths) Class 8
= 3 (y + 4)

Q.19. The perimeters of two squares are 40 and 96 metres respectively. Find the perimeter of another square equal in area to the sum of the first two squares.
Ans. Let the sides of two squares are a and b respectively.
4a = 40 and 4b = 96
∴ a = 10 m and b = 24 m
Given,
The perimeter of another square = Sum of area of two squares.
= Area of Ist square + Area of IInd square
= a2 + b2
= (10)2 + (24)2
= 100 + 576
= 676 m2
Hence, the perimeter of another square = 676 m.

Q.20. Prove that if x number is doubled then its cube is 8 times cube of the given number.
Ans. Let y be the double of x
i.e. y = 2x
By using on both sides
y3 = (2x)3
⇒ y3 = 23 × x3 = 2 × 2 × 2 × x3
⇒ y= 8x3

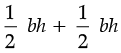
Q.21. We know that parallelogram is also quadrilateral. Let us also split such a quadrilateral into two triangles, find their areas and hence that of the parallelogram. Does this agree with the formula that you know already ?
Ans. AD = BC = b
CO = AO’ = h
ABCD is parallelogram divided into 2 triangles i.e., ∆ABC + ∆ACD
Sample Question Paper- 4 | Mathematics (Maths) Class 8
The area of parallelogram ABCD also divided into two parts = Area of ∆ABC + Area of ∆ACD
Area of ∆ABC = 1/2 × BC × AO’    {Base BC = b, height = h}
= 1/2 × b × h = Sample Question Paper- 4 | Mathematics (Maths) Class 8     ...(i)
Area of ∆ACD =  1/2 × AD × OC {Base AD = b,  height = h}
= 1/2 × b × h    ...(ii)
On adding eq. (i) & (ii) we get,
Area of ∆ABC + Area of ∆ACD = Sample Question Paper- 4 | Mathematics (Maths) Class 8
Area of ∆ABC + Area of ∆ACD = bh    ...(iii)
We know that,
Area of parallelogram ABCD = b × h ...(iv)
Area of parallelogram ABCD = Area of ∆ABC + Area of ∆ACD
bh = bh
L.H.S. = R.H.S.

Q.22. Water is pouring into a cuboidal reservoir at the rate of 60 litres per minute. If the volume of reservoir is 108 m3, find the number of hours it will take to fill the reservoir.
Sample Question Paper- 4 | Mathematics (Maths) Class 8 

Ans. Given, Volume of reservoir = 108 m3
Volume of water = 108 × 1000 L
= 108000 L
60 litres water filled reservoir in 1 minute
108000 litres water filled reservoir in = Sample Question Paper- 4 | Mathematics (Maths) Class 8
= 1800 minutes
Sample Question Paper- 4 | Mathematics (Maths) Class 8
= 30 hrs
Hence, 108000 L water filled reservoir in 30 hrs.

SECTION ‘D’ (4 marks each) 

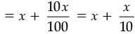
Q.23. A mixture of paint  is prepared by mixing 1 part of red pigments with 8 parts of base. In the following table, find the parts of base that is needed to be added.
Sample Question Paper- 4 | Mathematics (Maths) Class 8

Ans. As the part of red pigment increases, part of base also increases in the same ratio. It is a case of direct proportion, we make use of the relation of the type Sample Question Paper- 4 | Mathematics (Maths) Class 8
(a) Here, x= 1, y1 = 8 and x= 4
Therefore, Sample Question Paper- 4 | Mathematics (Maths) Class 8
Sample Question Paper- 4 | Mathematics (Maths) Class 8
⇒ y2 = 4 × 8 = 32

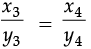
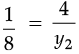
(b) Here, x2 = 4, y2 = 32 and x3 = 7
Sample Question Paper- 4 | Mathematics (Maths) Class 8
Sample Question Paper- 4 | Mathematics (Maths) Class 8
Sample Question Paper- 4 | Mathematics (Maths) Class 8

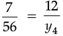
(c) Here, x= 7, y3 = 56 and x4 = 12, y4 = ?
Sample Question Paper- 4 | Mathematics (Maths) Class 8
Sample Question Paper- 4 | Mathematics (Maths) Class 8
⇒ y4 = Sample Question Paper- 4 | Mathematics (Maths) Class 8
⇒ y= 96

(d) Here, x4 =12, y4 = 96 and x5 = 20, y5 = ?
Sample Question Paper- 4 | Mathematics (Maths) Class 8
Sample Question Paper- 4 | Mathematics (Maths) Class 8
⇒ y5 = 160
The table is
Sample Question Paper- 4 | Mathematics (Maths) Class 8

Q.24. It is given that l varies directly as m.
(a) Write an equation which relates l and m.
(b) Find the constant of proportion (k), when l is 6 then m is 18.
(c) Find l, when m is 33.
(d) Find m when l is 18.

Ans. Given l ∝ m
(a) l = km, where k is a constant
(b) l = 6, m = 18
l = km
6 = k  × 18
Sample Question Paper- 4 | Mathematics (Maths) Class 8
Sample Question Paper- 4 | Mathematics (Maths) Class 8
(c) m = 33, l = ?
∵ l = km
Sample Question Paper- 4 | Mathematics (Maths) Class 8    Sample Question Paper- 4 | Mathematics (Maths) Class 8
∴ l = 11
(d) l = 8, m = ?
l = km
Sample Question Paper- 4 | Mathematics (Maths) Class 8
m = 24

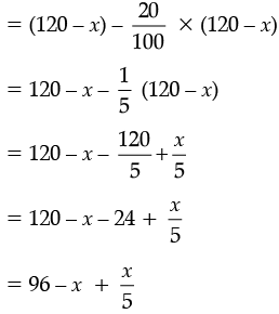
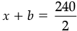
Q.25. The perimeter of a rectangle is 240 cm. If its length is increased by 10% and its breadth is decreased by 20% we get the same perimeter. Find the length and breadth of the rectangle.
Ans. Let the length of rectangle be x
The breadth of a rectangle be b.
Perimeter of a rectangle = 2 (x + b)
2 (x + b) = Perimeter
2 (x + b) = 240
Sample Question Paper- 4 | Mathematics (Maths) Class 8
x + b = 120
or, b = 120 – x
New length = x + 10% of x
Sample Question Paper- 4 | Mathematics (Maths) Class 8
Sample Question Paper- 4 | Mathematics (Maths) Class 8
New breadth = (120 – x) – 20% of (120 – x)
Sample Question Paper- 4 | Mathematics (Maths) Class 8
Sample Question Paper- 4 | Mathematics (Maths) Class 8
According to condition,
or, Sample Question Paper- 4 | Mathematics (Maths) Class 8
or, Sample Question Paper- 4 | Mathematics (Maths) Class 8
Sample Question Paper- 4 | Mathematics (Maths) Class 8
Sample Question Paper- 4 | Mathematics (Maths) Class 8
3x + 960 = 1200
3x = 1200 – 960
3x = 240
Sample Question Paper- 4 | Mathematics (Maths) Class 8
Hence,
length = x = 80 cm
breadth = 120 – x = 120 – 80 = 40 cm

Q.26. Find the area of polygon MNOPQR, if MP = 9 cm, MD = 7 cm, MC = 6 cm, MB = 4 cm, MA = 2 cm.
Sample Question Paper- 4 | Mathematics (Maths) Class 8
NA, OC, QD and RB are perpendiculars to diagonal MP.

Ans. It is clear from figure that polygon MNOPQR is divided into six parts, out of which four are triangles and two are trapeziums.
Area of polygon MNOPQR = Area of ∆MAN + Area of trapezium ACON + Area of ∆OCP + Area of ∆PDQ + Area of trapezium DBRQ + Area of ∆RBM  ...(i)
Now, area of ∆MAN = Sample Question Paper- 4 | Mathematics (Maths) Class 8× MA × AN = Sample Question Paper- 4 | Mathematics (Maths) Class 8 × 2 × 2.5 = 2.5 cm2
Area of trapezium ACON = Sample Question Paper- 4 | Mathematics (Maths) Class 8(AN + OC) × AC
= Sample Question Paper- 4 | Mathematics (Maths) Class 8(AN + OC) × (MC – MA)    [∵ AC = MC – MA]
=Sample Question Paper- 4 | Mathematics (Maths) Class 8 (2.5 + 3) × (6 – 2) =Sample Question Paper- 4 | Mathematics (Maths) Class 8× 5.5 × 4
= 5.5 × 2 = 11 cm2
Area of ∆OCP = Sample Question Paper- 4 | Mathematics (Maths) Class 8× CP × OC
=Sample Question Paper- 4 | Mathematics (Maths) Class 8 (MP – MC) × OC
=Sample Question Paper- 4 | Mathematics (Maths) Class 8  (9 – 6) × 3 = Sample Question Paper- 4 | Mathematics (Maths) Class 8 × 3 × 3   [∵ CP = MP – MC]
= Sample Question Paper- 4 | Mathematics (Maths) Class 8= 4.5 cm2
Area of ∆PDQ = Sample Question Paper- 4 | Mathematics (Maths) Class 8× PD × DQ
= Sample Question Paper- 4 | Mathematics (Maths) Class 8× (MP – MD) × DQ [∵ PD = MP – MD]
= Sample Question Paper- 4 | Mathematics (Maths) Class 8× (9 – 7) × 2 = 2 cm2
Area of trapezium DBRQ = Sample Question Paper- 4 | Mathematics (Maths) Class 8× (DQ + BR) × BD
= Sample Question Paper- 4 | Mathematics (Maths) Class 8 × (DQ + BR) × (MD – MB)    [∵ BD = MD – MB]
= Sample Question Paper- 4 | Mathematics (Maths) Class 8× (2 + 2.5) × (7 – 4)
= Sample Question Paper- 4 | Mathematics (Maths) Class 8× 4.5 × 3 = Sample Question Paper- 4 | Mathematics (Maths) Class 8= 6.75 cm2
Area of ∆RBM = Sample Question Paper- 4 | Mathematics (Maths) Class 8× MB × BR

= Sample Question Paper- 4 | Mathematics (Maths) Class 8 × 4 × 2.5 = 5 cm2
On putting all these values in Eq. (i), we get
Area of polygon MNOPQR = (2.5 + 11 + 4.5 + 2 + 6.75 + 5) cm2
= 31.75 cm2
Hence, area of polygon MNOPQR is 31.75 cm2.

Q.27. The cost of a notebook is Rs. 10. Draw a graph after making a table showing cost of 2, 3, 4 ... notebooks. Use it to find
(a) the cost of 7 notebooks.
(b) the number of notebooks that can be purchased for Rs. 50.

Ans. Let x : number of notebooks
y : cost of a notebook
Sample Question Paper- 4 | Mathematics (Maths) Class 8
Sample Question Paper- 4 | Mathematics (Maths) Class 8 
(a) The cost of 7 notebooks is equal to the coordinate of the point (7, 70), i.e. cost of 7 notebooks = Rs. 70

(b) The number of notebooks that can be purchased for Rs. 50 is equal to the abscissa of the point (5, 50).
Hence, 5 notebooks can be purchased for Rs. 50.

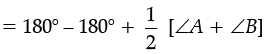
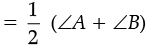
Q.28. In a quadrilateral ABCD, DO and CO are the bisectors of ∠D and ∠C respectively.
Prove that ∠COD = Sample Question Paper- 4 | Mathematics (Maths) Class 8

Ans. In ∆COD, we have
∠COD + ∠1 + ∠2 = 180°
⇒ ∠COD = 180° – [∠1 + ∠2]
Sample Question Paper- 4 | Mathematics (Maths) Class 8
Sample Question Paper- 4 | Mathematics (Maths) Class 8
⇒ ∠COD = 180° Sample Question Paper- 4 | Mathematics (Maths) Class 8
But ∠A + ∠B + ∠C + ∠D = 360°
⇒ ∠C + ∠D = 360° – (∠A + ∠B)
⇒ ∠COD = 180° - Sample Question Paper- 4 | Mathematics (Maths) Class 8
Sample Question Paper- 4 | Mathematics (Maths) Class 8
Sample Question Paper- 4 | Mathematics (Maths) Class 8
Sample Question Paper- 4 | Mathematics (Maths) Class 8
Thus, Sample Question Paper- 4 | Mathematics (Maths) Class 8

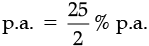
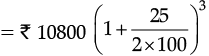
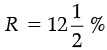
Q.29. Calculate the amount and compound interest on Rs. 10,800 for 3 years at Sample Question Paper- 4 | Mathematics (Maths) Class 8 per annum compounded annually.
Ans. Here, P = Rs. 10800, T =3 years,Sample Question Paper- 4 | Mathematics (Maths) Class 8
Sample Question Paper- 4 | Mathematics (Maths) Class 8
We have,
Sample Question Paper- 4 | Mathematics (Maths) Class 8
Sample Question Paper- 4 | Mathematics (Maths) Class 8
[∵ Interest compounded annually, ∴ n = 3]
Sample Question Paper- 4 | Mathematics (Maths) Class 8
∴ Amount = Rs. 15377.34
= Rs. 15377.34
Now, Compound Interest = Rs. 15377.34 – Rs. 10800
= Rs. 4577.34

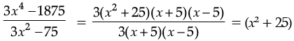
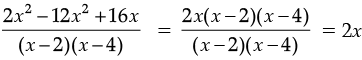
Q.30. Factorise and divide the following :
(a) (2x3 – 12x2 + 16x) / (x – 2) (x – 4)
(b) (3x4 – 1875) / (3x2 – 75)

Ans. (a) (2x3 – 12x+ 16x) ÷ (x – 2) (x – 4)
∵ 2x– 12x2 + 16x = 2x (x2 – 6x + 8)
= 2x (x2 – 4x – 2x + 8)
= 2x [x (x – 4) – 2 (x – 4)]
= 2x [(x – 4) (x – 2)]
= 2x (x – 2) (x – 4)
Sample Question Paper- 4 | Mathematics (Maths) Class 8
(b) (3x– 1875) ÷ (3x2 – 75)
∵ 3x– 1875 = 3 (x4 – 625)
= 3 [(x2)2 – (25)2]
= 3 [(x2 + 25) (x2 – 25)]
= 3 [(x2 + 25) (x2 – 52)]
= 3 [(x2 + 25) (x + 5) (x – 5)]
and 3x2 – 75 = 3 (x2 – 25)
= 3 [(x)– (5)2]
= 3 (x + 5) (x – 5)
Sample Question Paper- 4 | Mathematics (Maths) Class 8

The document Sample Question Paper- 4 | Mathematics (Maths) Class 8 is a part of the Class 8 Course Mathematics (Maths) Class 8.
All you need of Class 8 at this link: Class 8
81 videos|423 docs|31 tests

FAQs on Sample Question Paper- 4 - Mathematics (Maths) Class 8

1. What is the exam format for Class 8 Sample Question Paper (2020-21)?
Ans. The exam format for the Class 8 Sample Question Paper (2020-21) is based on the prescribed syllabus for Class 8. It includes multiple-choice questions, short answer questions, and long answer questions to assess the students' understanding of the topics covered.
2. How can I access the Class 8 Sample Question Paper (2020-21)?
Ans. The Class 8 Sample Question Paper (2020-21) can be accessed online through the official website of the educational board or school. It may also be provided by the school to the students in printed format for practice purposes.
3. What topics are covered in the Class 8 Sample Question Paper (2020-21)?
Ans. The Class 8 Sample Question Paper (2020-21) covers a wide range of topics from various subjects such as Mathematics, Science, Social Science, English, and Hindi. It includes questions based on the concepts and chapters taught in Class 8.
4. Are the questions in the Class 8 Sample Question Paper (2020-21) similar to the actual exam?
Ans. The questions in the Class 8 Sample Question Paper (2020-21) are designed to give students an idea of the type and format of questions that they can expect in the actual exam. While some questions may be similar, it is important to note that the actual exam may have variations in terms of difficulty level and content.
5. How can I use the Class 8 Sample Question Paper (2020-21) to prepare for the exam?
Ans. The Class 8 Sample Question Paper (2020-21) can be used as a valuable resource for exam preparation. Students can solve the questions in a timed manner to improve their speed and accuracy. They can also analyze their performance, identify weak areas, and work on them. Additionally, referring to the solutions provided for each question can help in understanding the correct approach to solve them.
Related Searches

Summary

,

Previous Year Questions with Solutions

,

Free

,

mock tests for examination

,

Viva Questions

,

Sample Question Paper- 4 | Mathematics (Maths) Class 8

,

shortcuts and tricks

,

past year papers

,

Sample Question Paper- 4 | Mathematics (Maths) Class 8

,

Objective type Questions

,

Extra Questions

,

video lectures

,

Sample Paper

,

MCQs

,

ppt

,

Semester Notes

,

practice quizzes

,

study material

,

Exam

,

Important questions

,

Sample Question Paper- 4 | Mathematics (Maths) Class 8

,

pdf

;