Class 8 Exam  >  Class 8 Notes  >  Mathematics (Maths) Class 8  >  RD Sharma Solutions: Exercise 2.1 - Powers

Exercise 2.1 - Powers RD Sharma Solutions | Mathematics (Maths) Class 8 PDF Download

Q.1. Express each of the following as a rational number of the form Exercise 2.1 - Powers RD Sharma Solutions | Mathematics (Maths) Class 8, where p and q are integers and q ≠ 0.

(i) 2−3

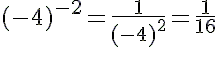
(ii) (−4)−2

(iii)Exercise 2.1 - Powers RD Sharma Solutions | Mathematics (Maths) Class 8

(iv)Exercise 2.1 - Powers RD Sharma Solutions | Mathematics (Maths) Class 8

(v)Exercise 2.1 - Powers RD Sharma Solutions | Mathematics (Maths) Class 8

Ans: We know that a−n = 1/an. Therefore,

(i)

Exercise 2.1 - Powers RD Sharma Solutions | Mathematics (Maths) Class 8

(ii)

Exercise 2.1 - Powers RD Sharma Solutions | Mathematics (Maths) Class 8

(iii)

Exercise 2.1 - Powers RD Sharma Solutions | Mathematics (Maths) Class 8

(iv)

Exercise 2.1 - Powers RD Sharma Solutions | Mathematics (Maths) Class 8

(v)

Exercise 2.1 - Powers RD Sharma Solutions | Mathematics (Maths) Class 8

Q.2. Find the value of each of the following:

(i) 3−1 + 4−1

(ii) (30 + 4−1) × 22

(iii) (3−1 + 4−1 + 5−1)0

(iv) {(13)−1−(14)−1}−1

Ans: 

(i) We know from the property of powers that for every natural number a, a−1 = 1/a. Then:

Exercise 2.1 - Powers RD Sharma Solutions | Mathematics (Maths) Class 8---> (a−1 = 1/a)

Exercise 2.1 - Powers RD Sharma Solutions | Mathematics (Maths) Class 8

Exercise 2.1 - Powers RD Sharma Solutions | Mathematics (Maths) Class 8

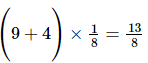
(ii) We know from the property of powers that for every natural number a, a−1 = 1/a.

Moreover, a0 is 1 for every natural number a not equal to 0. Then:

(30+4−1)×22

= Exercise 2.1 - Powers RD Sharma Solutions | Mathematics (Maths) Class 8

= Exercise 2.1 - Powers RD Sharma Solutions | Mathematics (Maths) Class 8
= 5

(iii) Exercise 2.1 - Powers RD Sharma Solutions | Mathematics (Maths) Class 8

Since any non-zero number raised to the power of 0 is 1. Exercise 2.1 - Powers RD Sharma Solutions | Mathematics (Maths) Class 8Exercise 2.1 - Powers RD Sharma Solutions | Mathematics (Maths) Class 8

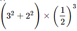
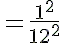
Q.3. Find the value of each of the following:

(i)Exercise 2.1 - Powers RD Sharma Solutions | Mathematics (Maths) Class 8

(ii)Exercise 2.1 - Powers RD Sharma Solutions | Mathematics (Maths) Class 8

(iii) (2−1 × 4−1) ÷ 2−2

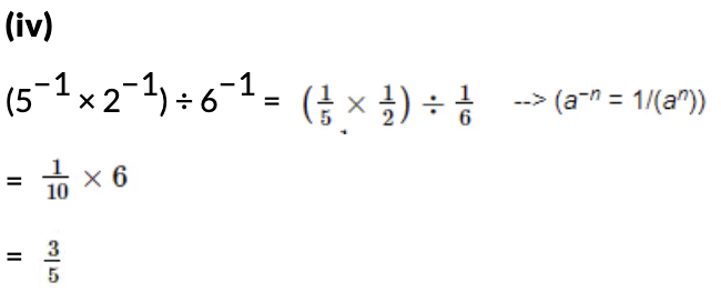
(iv) (5−1 × 2−1) ÷ 6−1

Ans: 

(i)

Exercise 2.1 - Powers RD Sharma Solutions | Mathematics (Maths) Class 8= Exercise 2.1 - Powers RD Sharma Solutions | Mathematics (Maths) Class 8 ---> (a−1 = 1/a)

= 2 + 3 + 4

= 9

(ii)

Exercise 2.1 - Powers RD Sharma Solutions | Mathematics (Maths) Class 8Exercise 2.1 - Powers RD Sharma Solutions | Mathematics (Maths) Class 8

= Exercise 2.1 - Powers RD Sharma Solutions | Mathematics (Maths) Class 8

= 4 + 9 +16

= 29

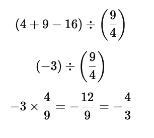
(iii) 

(2−1 × 4−1) ÷ 2−2 = Exercise 2.1 - Powers RD Sharma Solutions | Mathematics (Maths) Class 8Exercise 2.1 - Powers RD Sharma Solutions | Mathematics (Maths) Class 8

Exercise 2.1 - Powers RD Sharma Solutions | Mathematics (Maths) Class 8

= 1/2

(iv) 

(5−1 × 2−1) ÷ 6−1 = Exercise 2.1 - Powers RD Sharma Solutions | Mathematics (Maths) Class 8Exercise 2.1 - Powers RD Sharma Solutions | Mathematics (Maths) Class 8

= Exercise 2.1 - Powers RD Sharma Solutions | Mathematics (Maths) Class 8

= Exercise 2.1 - Powers RD Sharma Solutions | Mathematics (Maths) Class 8

Q.4. Simplify:

(i) (4−1 × 3−1)2

(ii) (5−1 ÷ 6−1)3

(iii) (2−1 + 3−1)−1

(iv) (3−1 × 4−1)−1 × 5−1

Ans: 

(i) (4−1 × 3−1)2 

= Exercise 2.1 - Powers RD Sharma Solutions | Mathematics (Maths) Class 8Exercise 2.1 - Powers RD Sharma Solutions | Mathematics (Maths) Class 8

= Exercise 2.1 - Powers RD Sharma Solutions | Mathematics (Maths) Class 8

= Exercise 2.1 - Powers RD Sharma Solutions | Mathematics (Maths) Class 8Exercise 2.1 - Powers RD Sharma Solutions | Mathematics (Maths) Class 8Exercise 2.1 - Powers RD Sharma Solutions | Mathematics (Maths) Class 8

(ii) 

(5−1 ÷ 6−1)3 

= Exercise 2.1 - Powers RD Sharma Solutions | Mathematics (Maths) Class 8Exercise 2.1 - Powers RD Sharma Solutions | Mathematics (Maths) Class 8

Exercise 2.1 - Powers RD Sharma Solutions | Mathematics (Maths) Class 8

= Exercise 2.1 - Powers RD Sharma Solutions | Mathematics (Maths) Class 8

= Exercise 2.1 - Powers RD Sharma Solutions | Mathematics (Maths) Class 8Exercise 2.1 - Powers RD Sharma Solutions | Mathematics (Maths) Class 8

= Exercise 2.1 - Powers RD Sharma Solutions | Mathematics (Maths) Class 8

(iii) 

(2−1 + 3−1)−1 

= Exercise 2.1 - Powers RD Sharma Solutions | Mathematics (Maths) Class 8Exercise 2.1 - Powers RD Sharma Solutions | Mathematics (Maths) Class 8

= Exercise 2.1 - Powers RD Sharma Solutions | Mathematics (Maths) Class 8

= Exercise 2.1 - Powers RD Sharma Solutions | Mathematics (Maths) Class 8Exercise 2.1 - Powers RD Sharma Solutions | Mathematics (Maths) Class 8

= Exercise 2.1 - Powers RD Sharma Solutions | Mathematics (Maths) Class 8

(iv) 

(3−1 × 4−1)−1 × 5−1

= Exercise 2.1 - Powers RD Sharma Solutions | Mathematics (Maths) Class 8Exercise 2.1 - Powers RD Sharma Solutions | Mathematics (Maths) Class 8

= Exercise 2.1 - Powers RD Sharma Solutions | Mathematics (Maths) Class 8

=Exercise 2.1 - Powers RD Sharma Solutions | Mathematics (Maths) Class 8Exercise 2.1 - Powers RD Sharma Solutions | Mathematics (Maths) Class 8

Q.5. Simplify:

(i)Exercise 2.1 - Powers RD Sharma Solutions | Mathematics (Maths) Class 8

(ii)Exercise 2.1 - Powers RD Sharma Solutions | Mathematics (Maths) Class 8

(iii)Exercise 2.1 - Powers RD Sharma Solutions | Mathematics (Maths) Class 8

(iv)Exercise 2.1 - Powers RD Sharma Solutions | Mathematics (Maths) Class 8

Ans:  

(i) 

Exercise 2.1 - Powers RD Sharma Solutions | Mathematics (Maths) Class 8= Exercise 2.1 - Powers RD Sharma Solutions | Mathematics (Maths) Class 8

(ii)

Exercise 2.1 - Powers RD Sharma Solutions | Mathematics (Maths) Class 8Exercise 2.1 - Powers RD Sharma Solutions | Mathematics (Maths) Class 8

= Exercise 2.1 - Powers RD Sharma Solutions | Mathematics (Maths) Class 8

= Exercise 2.1 - Powers RD Sharma Solutions | Mathematics (Maths) Class 8Exercise 2.1 - Powers RD Sharma Solutions | Mathematics (Maths) Class 8

= Exercise 2.1 - Powers RD Sharma Solutions | Mathematics (Maths) Class 8

(iii)Exercise 2.1 - Powers RD Sharma Solutions | Mathematics (Maths) Class 8

= Exercise 2.1 - Powers RD Sharma Solutions | Mathematics (Maths) Class 8

= (27−8)÷64

=19 × 1/64

 =19/64

(iv)Exercise 2.1 - Powers RD Sharma Solutions | Mathematics (Maths) Class 8Exercise 2.1 - Powers RD Sharma Solutions | Mathematics (Maths) Class 8

Q.6. By what number should 5−1 be multiplied so that the product may be equal to (−7)−1?

Ans: Using the property a−1 = 1/a for every natural number a, we have 5−1 = 1/5 and (−7)−1 = −1/7. We have to find a number x such that

Exercise 2.1 - Powers RD Sharma Solutions | Mathematics (Maths) Class 8

Multiplying both sides by 5, we get:

Exercise 2.1 - Powers RD Sharma Solutions | Mathematics (Maths) Class 8

Hence, the required number is −5/7.

Q.7. By what number should (1/2)−1 be multiplied so that the product may be equal to (−4/7)−1?

Ans: Using the property a−1 = 1/a for every natural number a, we have (1/2)−1 = 2 and (−4/7)−1 = −7/4. We have to find a number x such that

Exercise 2.1 - Powers RD Sharma Solutions | Mathematics (Maths) Class 8

Dividing both sides by 2, we get:

Exercise 2.1 - Powers RD Sharma Solutions | Mathematics (Maths) Class 8

Hence, the required number is −7/8.

Q.8. By what number should (−15)−1 be divided so that the quotient may be equal to (−5)−1?

Ans: Using the property a−1 = 1/a for every natural number a, we have (−15)−1 = −1/15 and (−5)−1 = −1/5. We have to find a number x such that

Exercise 2.1 - Powers RD Sharma Solutions | Mathematics (Maths) Class 8

or Exercise 2.1 - Powers RD Sharma Solutions | Mathematics (Maths) Class 8

or Exercise 2.1 - Powers RD Sharma Solutions | Mathematics (Maths) Class 8

Hence, (−15)−1 should be divided by 1/3 to obtain (−5)−1.

The document Exercise 2.1 - Powers RD Sharma Solutions | Mathematics (Maths) Class 8 is a part of the Class 8 Course Mathematics (Maths) Class 8.
All you need of Class 8 at this link: Class 8
81 videos|423 docs|31 tests

FAQs on Exercise 2.1 - Powers RD Sharma Solutions - Mathematics (Maths) Class 8

1. What are powers in mathematics?
Ans. Powers in mathematics refer to the operation of raising a number (the base) to an exponent (the power). The exponent indicates how many times the base is multiplied by itself. For example, in \(2^3\), 2 is the base, and 3 is the exponent, which means \(2 \times 2 \times 2 = 8\).
2. How do you calculate the power of a number?
Ans. To calculate the power of a number, you multiply the base by itself as many times as indicated by the exponent. For instance, to calculate \(3^4\), you would compute \(3 \times 3 \times 3 \times 3\), which equals 81.
3. What is the difference between a positive and a negative exponent?
Ans. A positive exponent indicates how many times to multiply the base, while a negative exponent represents the reciprocal of the base raised to the absolute value of the exponent. For example, \(2^{-3} = \frac{1}{2^3} = \frac{1}{8}\).
4. Can you explain the laws of exponents?
Ans. The laws of exponents include several rules, such as: 1. \(a^m \times a^n = a^{m+n}\) (when multiplying, add the exponents) 2. \(a^m \div a^n = a^{m-n}\) (when dividing, subtract the exponents) 3. \((a^m)^n = a^{m \times n}\) (when raising a power to another power, multiply the exponents).
5. How can powers be applied in real-life situations?
Ans. Powers are used in various real-life applications, such as calculating areas and volumes, in scientific notation to express large numbers, and in finance to determine compound interest where the interest is calculated on the accumulated amount over time.
Related Searches

Exercise 2.1 - Powers RD Sharma Solutions | Mathematics (Maths) Class 8

,

Summary

,

past year papers

,

Important questions

,

pdf

,

Exercise 2.1 - Powers RD Sharma Solutions | Mathematics (Maths) Class 8

,

Extra Questions

,

Semester Notes

,

mock tests for examination

,

Exam

,

Previous Year Questions with Solutions

,

Viva Questions

,

Exercise 2.1 - Powers RD Sharma Solutions | Mathematics (Maths) Class 8

,

video lectures

,

Objective type Questions

,

MCQs

,

shortcuts and tricks

,

study material

,

ppt

,

practice quizzes

,

Free

,

Sample Paper

;