Class 8 Exam  >  Class 8 Notes  >  Rs Aggarwal Solutions: Exercise 1F - Rational Numbers

Rs Aggarwal Solutions: Exercise 1F - Rational Numbers - Class 8 PDF Download

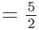
Q.1. Find a rational number between Rs Aggarwal Solutions: Exercise 1F - Rational Numbers - Class 8
Ans. Required number =Rs Aggarwal Solutions: Exercise 1F - Rational Numbers - Class 8
Rs Aggarwal Solutions: Exercise 1F - Rational Numbers - Class 8

Q.2. Find a rational number between 2 and 3.
Ans. Required NumberRs Aggarwal Solutions: Exercise 1F - Rational Numbers - Class 8
Rs Aggarwal Solutions: Exercise 1F - Rational Numbers - Class 8

Q.3. Find a rational number between Rs Aggarwal Solutions: Exercise 1F - Rational Numbers - Class 8
Ans. Required number = Rs Aggarwal Solutions: Exercise 1F - Rational Numbers - Class 8
Rs Aggarwal Solutions: Exercise 1F - Rational Numbers - Class 8

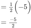
Q.4. Find two rational numbers between −3 and −2.
Ans. Required number = Rs Aggarwal Solutions: Exercise 1F - Rational Numbers - Class 8
Rs Aggarwal Solutions: Exercise 1F - Rational Numbers - Class 8
We know:
Rs Aggarwal Solutions: Exercise 1F - Rational Numbers - Class 8
Rational number between Rs Aggarwal Solutions: Exercise 1F - Rational Numbers - Class 8
Rs Aggarwal Solutions: Exercise 1F - Rational Numbers - Class 8
Thus, the required numbers are Rs Aggarwal Solutions: Exercise 1F - Rational Numbers - Class 8

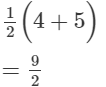
Q.5. Find three rational numbers between 4 and 5.
Ans.
Rational number between 4 and 5:
Rs Aggarwal Solutions: Exercise 1F - Rational Numbers - Class 8
Rational number between 4 and Rs Aggarwal Solutions: Exercise 1F - Rational Numbers - Class 8
Rs Aggarwal Solutions: Exercise 1F - Rational Numbers - Class 8
Rational number between Rs Aggarwal Solutions: Exercise 1F - Rational Numbers - Class 8
Rs Aggarwal Solutions: Exercise 1F - Rational Numbers - Class 8
We know:
Rs Aggarwal Solutions: Exercise 1F - Rational Numbers - Class 8
Thus, the three rational numbers areRs Aggarwal Solutions: Exercise 1F - Rational Numbers - Class 8

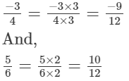
Q.6. Find three rational numbers between Rs Aggarwal Solutions: Exercise 1F - Rational Numbers - Class 8
Ans.
Rational number between Rs Aggarwal Solutions: Exercise 1F - Rational Numbers - Class 8
Rs Aggarwal Solutions: Exercise 1F - Rational Numbers - Class 8
We Know:
Rs Aggarwal Solutions: Exercise 1F - Rational Numbers - Class 8
Rational number betweenRs Aggarwal Solutions: Exercise 1F - Rational Numbers - Class 8
Rs Aggarwal Solutions: Exercise 1F - Rational Numbers - Class 8
Rational number between Rs Aggarwal Solutions: Exercise 1F - Rational Numbers - Class 8
Rs Aggarwal Solutions: Exercise 1F - Rational Numbers - Class 8
We Know:
Rs Aggarwal Solutions: Exercise 1F - Rational Numbers - Class 8
Thus, the three rational numbers areRs Aggarwal Solutions: Exercise 1F - Rational Numbers - Class 8

Q.7. Find 10 rational numbers betweenRs Aggarwal Solutions: Exercise 1F - Rational Numbers - Class 8

Ans.
LCM of 4 and 6 is 12.
Now,
Rs Aggarwal Solutions: Exercise 1F - Rational Numbers - Class 8
Rational numbers lying betweenRs Aggarwal Solutions: Exercise 1F - Rational Numbers - Class 8
Rs Aggarwal Solutions: Exercise 1F - Rational Numbers - Class 8
We can take any 10 out of these.

Q.8. Find 12 rational numbers between −1 and 2.
Ans.
We may write:
Rs Aggarwal Solutions: Exercise 1F - Rational Numbers - Class 8
and
Rs Aggarwal Solutions: Exercise 1F - Rational Numbers - Class 8
Rational numbers between −1 and 2:Rs Aggarwal Solutions: Exercise 1F - Rational Numbers - Class 8
We can take any 12 numbers out of these.

The document Rs Aggarwal Solutions: Exercise 1F - Rational Numbers - Class 8 is a part of Class 8 category.
All you need of Class 8 at this link: Class 8
Download as PDF

Top Courses for Class 8

Related Searches

Summary

,

past year papers

,

Rs Aggarwal Solutions: Exercise 1F - Rational Numbers - Class 8

,

Rs Aggarwal Solutions: Exercise 1F - Rational Numbers - Class 8

,

Extra Questions

,

Rs Aggarwal Solutions: Exercise 1F - Rational Numbers - Class 8

,

ppt

,

shortcuts and tricks

,

Viva Questions

,

Important questions

,

Free

,

Semester Notes

,

practice quizzes

,

Exam

,

study material

,

video lectures

,

Previous Year Questions with Solutions

,

MCQs

,

Sample Paper

,

Objective type Questions

,

pdf

,

mock tests for examination

;