Carrier Transport
Introduction
In semiconductors, electrical current is carried by mobile charge carriers (electrons and holes). The motion of these carriers - and hence the current - is governed primarily by two mechanisms: carrier drift and carrier diffusion. Both mechanisms act on the same particles and are linked by scattering processes; this connection is expressed quantitatively by the Einstein relation.
- Carrier drift: Motion of carriers under an applied electric field. The electric field accelerates carriers; collisions with lattice vibrations (phonons), impurities and defects limit their average velocity to a steady value called the drift velocity. The ratio of drift velocity to applied electric field is the mobility (μ). At very high electric fields the carrier velocity tends to a saturation velocity due to increased scattering. Surface or interface scattering can reduce mobility in thin films or at interfaces.
- Carrier diffusion: Random thermal motion causes carriers to move from regions of higher concentration to lower concentration. Diffusion is driven by concentration gradients produced, for example, by spatially varying doping, injection of carriers, or temperature gradients.
- Total current: The total current density is the sum of drift and diffusion contributions for electrons and holes.
Recombination
Recombination is the process by which electrons and holes annihilate each other, reducing the free-carrier population. Recombination mechanisms determine carrier lifetime and influence device behaviour (diodes, photodetectors, LEDs, solar cells).
Energy Bands in Recombination Processes
- Band-to-Band Recombination (Radiative):A conduction-band electron falls directly into a valence-band hole and releases energy as a photon. This is the principal radiative process in direct-bandgap semiconductors (used in LEDs and lasers).

Band-to-Band Recombination
- R-G (Shockley-Read-Hall) Centre Recombination (Non-radiative):Defects or impurity states in the bandgap (trap levels) capture carriers in a two-step process: an electron (or hole) is captured into the trap, then the opposite carrier is captured and recombination occurs. This is commonly non-radiative and described quantitatively by SRH theory.

R-G Center Recombination
- Recombination via Shallow Levels:Donor and acceptor impurity levels close to band edges can mediate recombination. Such processes can be radiative or partially radiative depending on the material and transition energies.

Recombination via Shallow Levels
- Excitonic Recombination:An electron and hole can bind together to form an exciton (a hydrogen-like bound state) with energy slightly less than the bandgap. Recombination of an exciton emits a photon of energy below the bandgap.

Recombination Involving Excitons
- Auger Recombination (Non-radiative):An electron-hole pair recombines but transfers the released energy to a third carrier (electron or hole), which is excited to a higher energy within its band; that carrier then relaxes by phonon emission. Auger processes become important at high carrier densities (e.g., in heavily injected regions).

Auger Recombination
Typical recombination-rate models (summary):
- Radiative (band-to-band): R_rad = B (np - n_i^2), where B is the radiative recombination coefficient and n_i the intrinsic carrier concentration.
- SRH (trap-mediated): R_SRH = (np - n_i^2) / [τ_p (n + n1) + τ_n (p + p1)] (standard SRH form), where τ_n and τ_p are electron and hole lifetimes associated with the trap, and n1, p1 are trap-related equilibrium concentrations.
- Auger: R_Auger ≈ C_n n^2 p + C_p n p^2, where C_n and C_p are Auger coefficients.
Generation
Generation is the creation of electron-hole pairs. It is the reverse of recombination and occurs by several mechanisms:
- Band-to-band generation:A valence-band electron is excited into the conduction band by absorption of a photon or by thermal excitation (intrinsic generation).

Band-to-Band generation
- Trap-mediated generation:A trap level can promote an electron from the valence band into the trap and then to the conduction band (or similarly for holes), yielding an electron-hole pair.

R-G Centre generation

Photoemission from band gap centers
- Impact ionisation:A high-energy carrier gains sufficient kinetic energy (e.g., from a strong electric field) to create an electron-hole pair via collisions. This process underlies avalanche breakdown in diodes.

Carrier Generation via impact ionization
Carrier Diffusion
Diffusion is the net movement of particles from regions of high concentration to regions of low concentration due to random thermal motion. Key points:
Carrier Drift
Drift is carrier motion under an applied electric field E. The resulting current density depends on carrier concentration, charge and mobility.
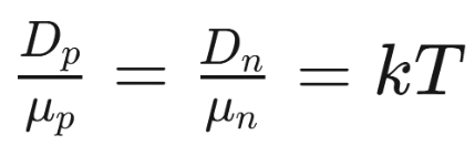
Einstein Relation
The Einstein relation links diffusion coefficients and mobilities in semiconductors:
D_n / μ_n = D_p / μ_p = k_B T / q = V_T
Where:
- k_B is Boltzmann's constant,
- T is absolute temperature (K),
- q is the elementary charge,
- V_T is the thermal voltage: V_T = k_B T / q ≈ 26 mV at 300 K (≈ 27°C).
Mobility and its Dependence
- Mobility (μ):Measure of how quickly carriers move through a semiconductor under an electric field. Typical scattering mechanisms that limit mobility:
- phonon (lattice) scattering - dominant at low doping and high temperature;
- ionised-impurity scattering - becomes significant at higher doping concentrations;
- surface/interface scattering - important in thin layers and MOS structures.
- Both electron and hole mobilities depend on doping. At low doping mobility is nearly constant (phonon-limited). At higher doping, mobility decreases because of increased ionised-impurity scattering. The mobility also depends on dopant type and crystal orientation.
- Empirical (Caughey-Thomas) form: (commonly used approximation)
μ(N) = μ_min + (μ_max - μ_min) / [1 + (N / N_ref)^α]
Where μ_min, μ_max, N_ref and α are empirically determined parameters for a given semiconductor and dopant.
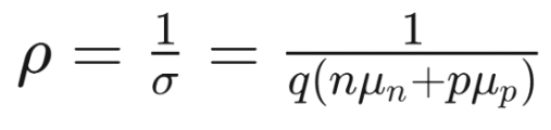
Resistivity and Conductivity
Poisson's Equation
- Poisson's equation relates the electrostatic potential Φ (or φ) to the local charge distribution ρ:
∇· (ε ∇Φ) = - ρ
- In homogeneous, isotropic materials ε can be treated as a scalar (ε = ε_r ε_0). If ε is constant, Poisson's equation reduces to:
ε ∇^2 Φ = - ρ
- The space-charge density ρ includes mobile carriers and fixed charges from dopants and trapped charges:
ρ = q (p - n + C)
where C represents fixed charges, typically:
C = N_D - N_A + ρ_p - ρ_n
with N_D donor concentration, N_A acceptor concentration, and ρ_p, ρ_n trapped charge densities.
- For semiconductor device simulation Poisson's equation is often written as:
∇· (ε ∇Φ) = - q (p - n + N_D^+ - N_A^- + ρ_trap)
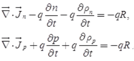
Continuity Equations
The continuity equations express conservation of charge for electrons and holes, accounting for currents and net generation/recombination.
Notes and Practical Remarks
- In steady state and in the absence of generation/recombination, ∂n/∂t = ∂p/∂t = 0 and ∇·J_n + ∇·J_p = 0.
- The drift-diffusion model is valid when carrier kinetic effects (hot carriers, ballistic transport) can be neglected. At very high fields or in very short devices, more advanced models (hydrodynamic, Monte Carlo) may be required.
- Carrier lifetimes, diffusion lengths and mobilities are key parameters for designing and understanding devices such as PN junction diodes, bipolar transistors, MOSFETs, LEDs and solar cells.
- All image placeholders (

Band-to-Band Recombination
...
) are preserved for figures illustrating band diagrams, recombination paths, diffusion/drift schematics, and derivation steps.