Electronics and Communication Engineering (ECE) Exam  >  Electronics and Communication Engineering (ECE) Notes  >  Analog Circuits  >  Simple Diode & Wave shaping Circuits: Clipping & Clamping

Simple Diode & Wave shaping Circuits: Clipping & Clamping | Analog Circuits - Electronics and Communication Engineering (ECE) PDF Download

Clipping Circuit

The circuit with which the applied waveform is shaped by removing or clipping a portion of that wave is known as a clipping circuit. It is also known as a limiter. Clippers find extensive application in radar, digital and other electronic systems. Although several clipping circuits have been developed to change the wave shape, we shall confine our attention to diode clippers. These clippers can remove signal voltages above or below a specified level.
The important diode clippers are:

1. Positive Clipper

A positive clipper is that which removes the positive half-cycles of the input voltage.
Fig.1 shows the circuit of a positive clipper using a diode.
Simple Diode & Wave shaping Circuits: Clipping & Clamping | Analog Circuits - Electronics and Communication Engineering (ECE)

Circuit Action
During the positive half cycle of the input voltage, the diode is forward biased and conducts heavily. Therefore, the voltage across the diode, which behaves as a short, is zero. And hence, voltage across the load RL is zero.
Fig.2(i)Fig.2(i)

During the negative half cycle of the input voltage, the diode is reverse biased and behaves as an open. In this condition, the circuit behaves as a voltage divider with an output given by:
Output voltage = Simple Diode & Wave shaping Circuits: Clipping & Clamping | Analog Circuits - Electronics and Communication Engineering (ECE)
Generally, RL is much greater than R. So,
Output Voltage = -Vmax 
Fig.2(ii)Fig.2(ii)

Input-Output Waveform
Fig.3 shows the input-output waveforms of a positive clipper. As shown, the output voltage has all the positive half cycles removed or clipped off.
Simple Diode & Wave shaping Circuits: Clipping & Clamping | Analog Circuits - Electronics and Communication Engineering (ECE)

Negative Clipper
If it is desired to remove the negative half cycle of the input, the only  thing to be done is to reverse the polarities of the diode in the circuit shown in fig 1. Such a clipper is known as negative clipper.

Biased Clipper

Sometimes, it is desired to remove a small portion of positive or negative half cycle of the signal voltage. For this purpose, biased clipper is used.
Fig.4 shows the circuit diagram of a biased clipper.
Simple Diode & Wave shaping Circuits: Clipping & Clamping | Analog Circuits - Electronics and Communication Engineering (ECE)

It consists of a diode D with a battery of Vdc volts.
With the polarities of the battery shown in Fig.4, a portion of each positive half cycle will be clipped off. However, the negative half cycles, will appear as such across the load, Such a clipper is called biased positive clipper.

Circuit Action 
During the positive half-cycle, so long as the input voltage  is greater than +Vdc, the diode will conduct heavily.
Fig.5(i)Fig.5(i)

When the input voltage is greater than +V, the diode is forward biased and behaves as a short and the output voltage equals to +Vdc. The output will stay at +Vdc, so long as the input voltage is greater than +Vdc.
During the period the input voltage is less than +Vdc, the diode is reverse biased and behaves as an open. Therefore, most of the input voltage appears across the output.
Fig.5(ii)Fig.5(ii)

In this way the biased positive clipper removes input voltage, above +Vdc. During the negative half cycle of the input voltage, the diode remains reverse biased. Therefore, almost entire negative half cycle appears across the load. i.e.
Fig.5(iii)Fig.5(iii)

Input-Output Waveform
Fig.6 shows the input-output waveforms of a positive biased clipper. As shown, the biased positive clipper removes input voltage above +Vdc.
Fig.6Fig.6

Biased Negative Clipper
If it is desired to clip a portion of negative half cycle of input voltage, the only thing to be done is to reverse the polarities of diode or battery. Such a circuit is known as biased negative clipper.

3. Combination Clipper

It is a combination of biased positive and negative clippers. With a combination clipper, a portion of both positive and negative half cycles of input voltage, can be removed or clipped off. The circuit diagram of a combination clipper is shown in fig.7.
Fig.7Fig.7

Circuit Action
During the positive half cycle, so long as the positive input voltage is greater than +V1, diode D1 conducts heavily, so acts as a short while diode Dremains reverse biased, so acts as an open as shown in fig.8(i).
Fig.8(i)Fig.8(i)

Therefore, a voltage +V1 appears across the load.
This output stays at +V1 so long as the input voltage exceeds + V1.
On the other hand, during the negative half cycle, the diode D2 will conduct heavily, and acts as a short, whereas, due to reverse bias diode D1 acts as an open and the output stays at – V2 so long as the input voltage is greater than – V2. This situation is illustrated in fig.8 (ii).
Fig.8(ii)Fig.8(ii)

Note that, + V1 and – V2 are less than, +Vmax and  –Vmax respectively.
Between +V1 and –V2, neither diode is on, so both the diodes D1 and D2 act as open, therefore, in this condition, most of the input voltage appears across the load as shown in fig.8(iii).
Fig.8(iii)Fig.8(iii)

Input-Output Waveform

Fig.9 shows the input-output waveforms of a combination clipper.
Fig.9Fig.9

Application of Clippers

Clippers are used to perform one of the following two functions:

1. Changing the shape of waveform

Clippers can alter the shape of a waveform. For example, a clipper can be used to convert a sine wave into rectangular wave, square wave etc. They can limit either positive or negative alteration or both alterations of an a.c. voltage.

2. Circuit Transient Protection

  • A transient is a sudden current or voltage rise that has an extremely short duration.
  • It can cause considerable damage to many types of circuits e.g. , a digital circuit.
  • In such cases, a clipper diode can be used to prevent the transient from reaching that circuit.

Clamping Circuit

A circuit that places either the positive or negative peak of a signal at a desired d.c. level is known as a clamping circuit.
Fig.10Fig.10

  • A clamping circuit or a camper essentially adds a d.c. component to the signal.
  • Fig.10 shows the key idea behind clamping.
  • The input signal is a sine wave having peak to peak value of 10 V.
  • The clamper adds the d.c. component and pushes the signal upward so that the negative peaks falls on the zero level.
  • It may be noted that the shape of the original signal has not changed; only there is a vertical shift in the signal. Such a clamper is known as positive clamper.
  • The negative clamper dos the reverse i.e. it pushes the signal downwards so that the positive peaks falls on the zero level.

The following points may be noted carefully:

  • The clamping circuit does not change the peak-to-peak or r.m.s. value of the waveform.
  • A clamping circuit changes the peak value and average value of a waveform.

In the above circuit, it is easy to see that input waveform has a peak value of 5 V and average value over a cycle is zero. The clamped output varies between 10 V and 0 V. Therefore, the peak value of camped output is 10 V. And
Simple Diode & Wave shaping Circuits: Clipping & Clamping | Analog Circuits - Electronics and Communication Engineering (ECE)

Positive Clamper

Fig.11 shows the circuit diagram of a positive clamper.
Fig.11Fig.11

  • The input signal is assumed to be a square wave with time period T.
  • The clamped output is obtained across RL.
  • The circuit design incorporates two main features. Firstly, the value of C and RL are so selected that time constant τ = C RL is very large.
  • This means that voltage across the capacitor will not discharge significantly during the interval the diode is non-conducting.
  • Secondly, RL C time constant is deliberately made much greater than the time period T of the incoming signal.

Operation

During the negative half cycle of the input signal, the diode is forward biased. Therefore, the diode behaves as a short as shown in fig.12.
Fig.12Fig.12

The charging time constant ( = CRf, where Rf = forward resistance of the diode) is very small so that the capacitor will charge to V volts very quickly.

It is easy to see that during this interval, the output voltage is directly across the short circuit.

Therefore, Vout = 0.

When the input switches to positive half cycle, the diode is reverse biased and behaves as an open as shown in fig 13.
Fig.13Fig.13

Since the discharging time constant  (= CRL) is  much greater than the time period of the input signal, the capacitor remains almost fully charged to V volts during the off time of the diode.
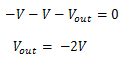
Now applying Kirchhoff’s voltage law to the input loop:
Simple Diode & Wave shaping Circuits: Clipping & Clamping | Analog Circuits - Electronics and Communication Engineering (ECE)
The resulting waveform is shown in fig.14.
Fig.14Fig.14

It is clear from the fig.14 that it is a positively clamped output. That is the input signal is pushed upward by V volts so that negative peaks fall on the zero level.

Negative Clamper

Fig.15 shows the circuit of a negative clamper.
Fig.15Fig.15
The clamped output is taken across RL. The only change from the positive clamper is that the connections of diode are reversed.

Operation

During the positive half cycle of the input signal, the diode is forward biased. Therefore, the diode behaves as a short as shown in fig.16.
Fig.16Fig.16

  • The charging time constant ( = CRf) is very small so that the capacitor will charge to V volts very quickly.
  • It can be seen that during this interval, the output voltage is directly across the short circuit.
  • Therefore, Vout = 0.
  • When the input switches to negative half cycle, the diode is reverse biased and behaves as an open as shown in fig.17.

Fig.17 Fig.17 

Since the discharging time constant (= CRL) is much greater than time period of the input signal, the capacitor almost remains fully charged  to V volts during the off time of the diode. Now applying Kirchhoff’s law to the input loop:
Simple Diode & Wave shaping Circuits: Clipping & Clamping | Analog Circuits - Electronics and Communication Engineering (ECE)
The resulting waveform is shown in fig.18. It can be noted that total swing of the output signal is equal to the total swing of the input signal.
Fig.18Fig.18

The document Simple Diode & Wave shaping Circuits: Clipping & Clamping | Analog Circuits - Electronics and Communication Engineering (ECE) is a part of the Electronics and Communication Engineering (ECE) Course Analog Circuits.
All you need of Electronics and Communication Engineering (ECE) at this link: Electronics and Communication Engineering (ECE)
3 videos|75 docs|64 tests

FAQs on Simple Diode & Wave shaping Circuits: Clipping & Clamping - Analog Circuits - Electronics and Communication Engineering (ECE)

1. What is a clipping circuit and how does it work?
A clipping circuit is an electronic circuit that limits or clips the amplitude of a signal to a specific level. It is used to remove unwanted portions of a waveform. A diode is commonly used in a clipping circuit to achieve this. When the input signal goes beyond the desired level, the diode becomes forward-biased and conducts, effectively "clipping" the waveform by limiting its amplitude.
2. What are the applications of clipping circuits?
Clipping circuits find various applications in electronic systems. Some common applications include audio signal processing, voltage regulation, signal waveform shaping, and protection circuitry. They are commonly used in audio amplifiers to prevent distortion by limiting the output signal's amplitude. Clipping circuits are also used in communication systems to prevent signal distortion and maintain signal integrity.
3. What is a clamping circuit and how does it differ from a clipping circuit?
A clamping circuit is an electronic circuit that shifts the DC level of an input signal to a desired level. Unlike a clipping circuit, a clamping circuit does not limit the amplitude of the signal but instead modifies its DC level. This is achieved by using a diode and a capacitor in the circuit. The diode conducts during the positive or negative cycles of the input signal, causing the capacitor to charge or discharge and shift the DC level accordingly.
4. What are some common applications of clamping circuits?
Clamping circuits are widely used in electronic systems for various applications. Some common applications include video signal processing, DC restoration, biasing circuits, and synchronization circuits. In video signal processing, clamping circuits are used to set the black level and ensure accurate color reproduction. They are also used in analog-to-digital converters to remove DC offset and restore the signal to its original form.
5. Can clipping and clamping circuits be combined in a single circuit?
Yes, clipping and clamping circuits can be combined in a single circuit to achieve specific signal processing requirements. This combination is often used in audio systems where both amplitude limitation and DC level shifting are required. By carefully designing the circuit, it is possible to achieve the desired clipping and clamping effects simultaneously. This allows for more complex signal processing and waveform shaping capabilities.
Related Searches

practice quizzes

,

Simple Diode & Wave shaping Circuits: Clipping & Clamping | Analog Circuits - Electronics and Communication Engineering (ECE)

,

Simple Diode & Wave shaping Circuits: Clipping & Clamping | Analog Circuits - Electronics and Communication Engineering (ECE)

,

video lectures

,

pdf

,

past year papers

,

Objective type Questions

,

mock tests for examination

,

ppt

,

Viva Questions

,

shortcuts and tricks

,

Semester Notes

,

Sample Paper

,

Previous Year Questions with Solutions

,

Free

,

Important questions

,

study material

,

Simple Diode & Wave shaping Circuits: Clipping & Clamping | Analog Circuits - Electronics and Communication Engineering (ECE)

,

Summary

,

MCQs

,

Exam

,

Extra Questions

;