| Table of contents | |
| Unit Step Response of Second-Order System | |
| Time Domain Characteristics |
The Time Domain Analyzes of the system is to be done on basis of time. The analysis is only be applied when nature of input plus mathematical model of the control system is known. Expressing the main input signals is not an easy task and cannot be determined by simple equations. There are two components of any system’s time response, which are: Transient response & Steady state response.


Let us take an independent voltage source or a battery which is connected across a voltmeter via a switch, s. It is clear from the figure below, whenever the switch s is open, the voltage appears between the voltmeter terminals is zero. If the voltage between the voltmeter terminals is represented as v (t), the situation can be mathematically represented as
Now let us consider at t = 0, the switch is closed and instantly the battery voltage V volt appears across the voltmeter and that situation can be represented as,
Combining the above two equations we get
In the above equations if we put 1 in place of V, we will get a unit step function which can be defined as
Let’s examine the Laplace transform of the unit step function. To find the Laplace transform of any function, multiply it by e-st and integrate from 0 to infinity.
If input is R(s), then
A ramp function is represented by a straight line starting from the origin and inclining upwards. It begins at zero and increases or decreases linearly over time.
Here in this above equation, k is the slope of the line.
Unit Ramp SignalNow let us examine the Laplace transform of ramp function. As we told earlier Laplace transform of any function can be obtained by multiplying this function by e-st and integrating multiplied from 0 to infinity.

Here, the value of function is zero when time t<0 and is quadratic when time t > 0. A parabolic function can be defined as,
Now let us examine the Laplace transform of parabolic function. As we told earlier Laplace transform of any function can be obtained by multiplying this function by e-st and integrating multiplied from 0 to infinity.

Unit Parabolic Signal

Here consider the armature-controlled dc motor driving a load, such as a video tape. The objective is to drive the tape at a constant speed. Note that it is an open-loop system.


Let us now consider the closed-loop system

If r(t) = a then Response would be ; w(t) = ak1ko - ak1koe - t / τo
If a is properly chosen, the tape can reach a desired speed. It will reach the desired speed in 5τo seconds. Here τo=τm. So that we can control the speed of response in the feedback system.
Ramp response of first-order system
Let, k1k0 = 1 for simplicity. Then, T(s) = (1/(τ0s + 1)) = W(s) / R(s). Also, let r(t) = tu(t)
Then, W(s)= 
⇒ w(t) = tu(t) - τ0(1 - e-t/τ0)u(t)
The error signal is, e(t) = r(t) - w(t)
Or, e(t) = τ0(1 - e-t/τ0)u(t)
ess(t) = τo



Natural frequency (ωn): The natural frequency of a second order system is the frequency of oscillation of the system without damping.
Damping ratio (ξ): The damping ratio is defined as the ratio of the damping factor σ, to the natural frequency ωn.
Here,σ is called the damping factor,ωd is called damped or actual frequency. The location of poles for different ξ are plotted in the given figure below. For ξ=0, the two poles ±jωn are purely imaginary. If 0<ξ<1, the two poles are complex conjugate.

Suppose, r(t) = u(t), ⇒ R(s) = 1/s; 
Or
Performing inverse Laplace transform,


Second-Order Systems: General Specification
Second order system exhibits a wide range of responses that must be analyzed and described. To become familiar with the wide range of responses before formalizing our discussion, we take a look at numerical examples of the second order system responses shown in the figure.




Note: In the above specifications of time domain, don't be confused with the number of Poles in G(s), to Specify for which type of Damping is present for a particular case we consider the total number of poles are of transfer function i.e; C(s) / R(s).
Summarization: Here once again we summarize the second order damping functions as;



.
Steady-state error ess: It is found previously that steady-state error for step input is zero. Let us now consider ramp input, r(t) = tu(t).
Effect of Adding a Zero to a System
If we add a zero at s = -z be added to a second order system. Then we have,


Types of Feedback Control System
The open-loop transfer function of a system can be written as
Steady-State Error and Error Constants
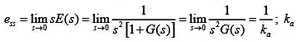
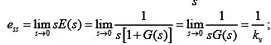
The steady-state performance of a stable control system is generally judged by its steady-state error to step, ramp and parabolic inputs. For a unity feedback system,
It is seen that steady-state error depends upon the input R(s) and the forward transfer function G(s).
kP is called position error constant.
kv is called velocity error constant.
is called acceleration error const.53 videos|116 docs|40 tests |
| 1. What is time domain analysis? | ![]() |
| 2. What is the time-response of a first-order system? | ![]() |
| 3. How is the time-response of a second-order system different from a first-order system? | ![]() |
| 4. What is the unit step response of a second-order system? | ![]() |
| 5. What are the time domain characteristics analyzed in a first-order system? | ![]() |